相关产品推荐更多 >
万千商家帮你免费找货
0 人在求购买到急需产品
- 详细信息
- 文献和实验
- 技术资料
- 库存:
99
- 供应商:
北京义翘神州科技股份有限公司
- 检测范围:
78.00
- 检测方法:
Solid Phase Sandwich ELISA
- 应用:
ELISA
- 适应物种:
Human
- 样本:
裂解液
- 规格:
1 Kit (96 Tests)
Human B4GALT1 / GGTB2 ELISA Kit(产品说明)
反应种属:人
试剂盒靶点:B4GALT1
试剂盒应用:ELISA
试剂盒保存:Unopened Kit: Store at 2 - 8℃
Opened/Reconstituted Reagents: Please refer to CoA
试剂盒介绍:For the quantitative determination of Human B4GALT1 / GGTB2 concentration in cell lysate.
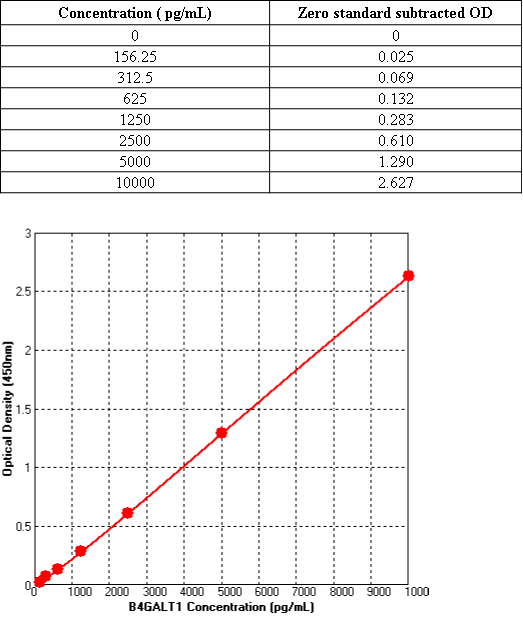
试剂盒线性范围:156.25-10000
试剂盒包被抗体类型:rabbit mAb
试剂盒检测抗体类型:rabbit pAbKIT11220
试剂盒检测灵敏度:78.00
试剂盒天然样本检测量:The concentration of Human B4GALT1 detected in a HELA cell lysate is 96ng/mL.The HELA cell lysate' total protein concentration was about 9.3mg/mL
试剂盒检测原理:Solid Phase Sandwich ELISA
试剂盒组成:1. 96 well microplate coated with Capture Antibody
2. Detection Antibody conjugated to HRP
3. Standards
4. Wash Buffer Concentrate
5. Dilution Buffer Concentrate
6. Color Reagent A
7. Color Reagent B
8. Stop Solution
试剂盒检测样品:裂解液
Human B4GALT1 ELISA Kit: 图片

This standard curve is only for demonstration purposes. A standard curve should be generated for each assay.

This assay recognizes both recombinant and natural Human B4GALT1.
Human B4GALT1 ELISA Kit: 别称
B4GALT1 背景信息
风险提示:丁香通仅作为第三方平台,为商家信息发布提供平台空间。用户咨询产品时请注意保护个人信息及财产安全,合理判断,谨慎选购商品,商家和用户对交易行为负责。对于医疗器械类产品,请先查证核实企业经营资质和医疗器械产品注册证情况。
文献和实验,平均批间变异系数为11.4%;液相芯片与ELISA法检测结果的相关系数R2为0.88~0.99。 国外多家公司已推出了商品化的细胞因子液相芯片检测试剂盒,比如R&D 公司的Flurokine MAP系列、Linco Research公司的LINCOplex 试剂盒、BioSource公司的Antibody Bead Kit、Bio Rad公司的Bio Plex系列等,可用于来自人、小鼠、大鼠的样品,既有一次检测单种细胞因子的试剂盒,也有预先混合多种细胞因子抗体交联微球而一次检测多个指标
技术资料暂无技术资料 索取技术资料








