万千商家帮你免费找货
0 人在求购买到急需产品
- 详细信息
- 技术资料
- 库存:
49
- 英文名:
Paclitaxel
- CAS号:
33069-62-4
- 保质期:
详见说明书
- 供应商:
上海莼试
- 保存条件:
低温冷藏
- 规格:
可根据客户要求订制
紫杉醇33069-62-4图片标准品和对照品概述:
药品检验用标准品和对照品,根据2005年版《中华人 民共和国药典》中的定义,系指用于鉴别、检查、含量测定 的标准物质。
2005年版《中华人民共和国药典》的凡例规定,标准 品、对照品(不包括色谱用的内标物质)均有药品监 督管理部门指定的单位制备、标定和供应。标准品系指用 于生物检定、抗生素或生化药品中含量或效价测定的标准 物质,按效价单位(或 g)计,以国际标准品进行标定;对照 品除另有规定外,均按干燥品(或无水物)进行计算后使 用。对照品、标准品的建立或变更其原有活性成分的含量, 应与原对照品、标准品或国际标准品进行对比,并经过协作 标定和一定的工作程序进行技术审定。
公司产品仅用于科研实验,不做其他用途!
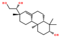
产品名称 紫杉醇33069-62-4图片
英文名称 Paclitaxel
CAS NO. 33069-62-4
分 子 量 853.92
纯 度 ≥98%

分子式: C47H51NO14
性状: 白色结晶粉末
规格: 20mg/50mg/1g,可按客户需求包装!
用途: 用于科研研究、鉴定、药理实验等
熔点: 213-216℃
溶解性: 可溶于甲醇、乙醇、DMSO等有机溶剂;
提取来源: 红豆杉
药理药效: 紫杉醇主要适用于卵巢癌和乳腺癌,对肺癌、大肠癌、黑色素瘤、头颈部癌、淋巴瘤、脑瘤也都有一定疗效
鉴别方法: NMR;Ms
检测方法: 色谱柱采用Hypersil ODS2(250 mm×4.6 mm,5μm)柱,流动相为乙-甲醇-水(27:36.5:36.5),流速:0.8 ml/min,检测波长:277 nm,柱温:30℃(仅供参考)
贮存条件: 低温冷藏,避光,密封,干燥
注意事项: 无
有效期限: 2年
供货能力: 现货,可根据可以客户需求批量定制
紫杉醇33069-62-4图片特色优势:
1.国内对照品行业澳洲茄边碱对照品的专业及标准制定
2.高效稳定的专利纯化技术-高速逆流色谱技术的运用
3.特有的高速逆流色谱对照品中心及中心,保证对照品的质量可控性及批量的稳定性
4.严格的质量控制,通过全面的检测(1HNMR 13CNMR MS HPLC)
5.部分对照品已获得国家质量监督检验检疫总局颁发的标准物质证书
6.完善的库存及供应体系,澳洲茄边碱现货供应
7.高效的销售团队,99%的咨询可即时回复
8.已在瑞士、新加坡、泰国、韩国、比利时、西班牙等十三个国家设立代理商
ISO 9001: 2000质量管理体系认证,产品种类近3000种
标准品或对照品的管理规范:
1.紫杉醇33069-62-4图片规范购入使用台账,严格表明购入时间、批号、来源、数量、使用期限等内容;申购的标准品或对照品的批号要与新颁布标准品或对照品批号相符;
2.严格按照规定条件进行储存,标准品或对照品的状极不稳定,对储存条件和方式非常苛刻;
3.规范管理和使用:
(1)严格按照说明书要求,由于标准品或对照品的不稳定性,若不安产品说明书的要求操作,极易造成较大的误差,从而影响检测结果;
(2)称量精密准确,标准品和对照品的含量测定要求不同,对精密性的要求很高;
(3)对于长期贮存的制备品,应充分考虑各方面的影响因素,规范操作;
(4)同时配制两份对照溶液以控制检验误差,由于现在药品的标准含量测定方法较多采用对照比较法,在测定过程中,仅配制一份对照溶液容易造成因配制对照溶液过程出现偏差;
(5)自行标定的标准品或对照品,严格规范操作,保证标准的可靠传递,并保证其可溯源性和准确性。
酰磺标准品 CAS: 127-71-9Sulfabenzamide 进口、国产 规格: 200mg
磺醋酰标准品 CAS: 144-80-9Sulfacetamide进口、国产 规格: 300mg
磺醋酰钠标准品 CAS: 6209-17-2Sulfacetamide Sodium进口、国产 规格: 500mg
磺基嘧标准品 CAS: 80-32-0Sulfachlorpyridazine 进口、国产 规格: 200mg
磺嘧标准品 CAS: 68-35-9Sulfadiazine进口、国产 规格: 200mg
磺嗪标准品 CAS: 122-11-2Sulfadimethoxine进口、国产 规格: 200mg
周效磺标准品 CAS: 2447-57-6Sulfadoxine进口、国产 规格: 200mg
磺基嘧标准品 CAS: 7-79-7Sulfamerazine进口、国产 规格: 500mg
进口/原装桔梗皂苷D 规格:
进口/原装桔皮素 规格:
进口/原装开环异落叶松树脂 规格:
进口/原装开环异落叶松树脂葡萄糖苷 规格:
进口/原装柯诺辛 规格:
进口/原装苦鬼臼毒素 规格:
紫杉醇33069-62-4图片小鼠抗c-Myc标签单抗(100 μL) 雷公藤红素
小鼠抗c-Myc标签单抗(1000 μL) 雷公藤红
小鼠抗CBP标签单抗 劳拉:用于系统适用性试验(Y0000576
小鼠抗E2标签单抗 劳拉(L0750500
小鼠抗Flag标签单抗(100 μL) 劳 杂质D(Y0000718
小鼠抗Flag标签单抗(1000 μL) 莨菪 杂质E(Y0000449
小鼠抗GFP标签单抗 (100 μL) 蓝藻叶黄素
小鼠抗GFP标签单抗 (1000 μL) 兰雪醌,白花丹精,矶松素,白花丹醌16920
小鼠抗GST标签单抗(100 μL) 兰索拉唑:用于峰鉴别试验(Y0000774
小鼠抗GST标签单抗(1000 μL) 兰索拉唑(Y000077
小鼠抗HA标签单抗(100 μL) 赖诺普利(L0702000
小鼠抗HA标签单抗(1000 μL) 赖诺普利 水合物:用于性能测试(L0702100
小鼠抗His标签单抗(100 μL) 赖脯胰岛素(Y0000 48
小鼠抗His标签单抗(1000 μL) 来曲唑(Y0000685
小鼠抗HPC4标签蛋白单抗 来米特杂质A(Y0000487
小鼠抗HSV标签单抗 来米特:用于峰鉴别试验(Y0000674
药品检验用标准品和对照品,根据2005年版《中华人 民共和国药典》中的定义,系指用于鉴别、检查、含量测定 的标准物质。
2005年版《中华人民共和国药典》的凡例规定,标准 品、对照品(不包括色谱用的内标物质)均有药品监 督管理部门指定的单位制备、标定和供应。标准品系指用 于生物检定、抗生素或生化药品中含量或效价测定的标准 物质,按效价单位(或 g)计,以国际标准品进行标定;对照 品除另有规定外,均按干燥品(或无水物)进行计算后使 用。对照品、标准品的建立或变更其原有活性成分的含量, 应与原对照品、标准品或国际标准品进行对比,并经过协作 标定和一定的工作程序进行技术审定。
公司产品仅用于科研实验,不做其他用途!
| 产品名称 | 紫杉醇33069-62-4图片 |
| 英文名称 | Paclitaxel |
| 规格 | 可根据客户要求订制 |
英文名称 Paclitaxel
CAS NO. 33069-62-4
分 子 量 853.92
纯 度 ≥98%

分子式: C47H51NO14
性状: 白色结晶粉末
规格: 20mg/50mg/1g,可按客户需求包装!
用途: 用于科研研究、鉴定、药理实验等
熔点: 213-216℃
溶解性: 可溶于甲醇、乙醇、DMSO等有机溶剂;
提取来源: 红豆杉
药理药效: 紫杉醇主要适用于卵巢癌和乳腺癌,对肺癌、大肠癌、黑色素瘤、头颈部癌、淋巴瘤、脑瘤也都有一定疗效
鉴别方法: NMR;Ms
检测方法: 色谱柱采用Hypersil ODS2(250 mm×4.6 mm,5μm)柱,流动相为乙-甲醇-水(27:36.5:36.5),流速:0.8 ml/min,检测波长:277 nm,柱温:30℃(仅供参考)
贮存条件: 低温冷藏,避光,密封,干燥
注意事项: 无
有效期限: 2年
供货能力: 现货,可根据可以客户需求批量定制
紫杉醇33069-62-4图片特色优势:
1.国内对照品行业澳洲茄边碱对照品的专业及标准制定
2.高效稳定的专利纯化技术-高速逆流色谱技术的运用
3.特有的高速逆流色谱对照品中心及中心,保证对照品的质量可控性及批量的稳定性
4.严格的质量控制,通过全面的检测(1HNMR 13CNMR MS HPLC)
5.部分对照品已获得国家质量监督检验检疫总局颁发的标准物质证书
6.完善的库存及供应体系,澳洲茄边碱现货供应
7.高效的销售团队,99%的咨询可即时回复
8.已在瑞士、新加坡、泰国、韩国、比利时、西班牙等十三个国家设立代理商
ISO 9001: 2000质量管理体系认证,产品种类近3000种
标准品或对照品的管理规范:
1.紫杉醇33069-62-4图片规范购入使用台账,严格表明购入时间、批号、来源、数量、使用期限等内容;申购的标准品或对照品的批号要与新颁布标准品或对照品批号相符;
2.严格按照规定条件进行储存,标准品或对照品的状极不稳定,对储存条件和方式非常苛刻;
3.规范管理和使用:
(1)严格按照说明书要求,由于标准品或对照品的不稳定性,若不安产品说明书的要求操作,极易造成较大的误差,从而影响检测结果;
(2)称量精密准确,标准品和对照品的含量测定要求不同,对精密性的要求很高;
(3)对于长期贮存的制备品,应充分考虑各方面的影响因素,规范操作;
(4)同时配制两份对照溶液以控制检验误差,由于现在药品的标准含量测定方法较多采用对照比较法,在测定过程中,仅配制一份对照溶液容易造成因配制对照溶液过程出现偏差;
(5)自行标定的标准品或对照品,严格规范操作,保证标准的可靠传递,并保证其可溯源性和准确性。
酰磺标准品 CAS: 127-71-9Sulfabenzamide 进口、国产 规格: 200mg
磺醋酰标准品 CAS: 144-80-9Sulfacetamide进口、国产 规格: 300mg
磺醋酰钠标准品 CAS: 6209-17-2Sulfacetamide Sodium进口、国产 规格: 500mg
磺基嘧标准品 CAS: 80-32-0Sulfachlorpyridazine 进口、国产 规格: 200mg
磺嘧标准品 CAS: 68-35-9Sulfadiazine进口、国产 规格: 200mg
磺嗪标准品 CAS: 122-11-2Sulfadimethoxine进口、国产 规格: 200mg
周效磺标准品 CAS: 2447-57-6Sulfadoxine进口、国产 规格: 200mg
磺基嘧标准品 CAS: 7-79-7Sulfamerazine进口、国产 规格: 500mg
进口/原装桔梗皂苷D 规格:
进口/原装桔皮素 规格:
进口/原装开环异落叶松树脂 规格:
进口/原装开环异落叶松树脂葡萄糖苷 规格:
进口/原装柯诺辛 规格:
进口/原装苦鬼臼毒素 规格:
紫杉醇33069-62-4图片小鼠抗c-Myc标签单抗(100 μL) 雷公藤红素
小鼠抗c-Myc标签单抗(1000 μL) 雷公藤红
小鼠抗CBP标签单抗 劳拉:用于系统适用性试验(Y0000576
小鼠抗E2标签单抗 劳拉(L0750500
小鼠抗Flag标签单抗(100 μL) 劳 杂质D(Y0000718
小鼠抗Flag标签单抗(1000 μL) 莨菪 杂质E(Y0000449
小鼠抗GFP标签单抗 (100 μL) 蓝藻叶黄素
小鼠抗GFP标签单抗 (1000 μL) 兰雪醌,白花丹精,矶松素,白花丹醌16920
小鼠抗GST标签单抗(100 μL) 兰索拉唑:用于峰鉴别试验(Y0000774
小鼠抗GST标签单抗(1000 μL) 兰索拉唑(Y000077
小鼠抗HA标签单抗(100 μL) 赖诺普利(L0702000
小鼠抗HA标签单抗(1000 μL) 赖诺普利 水合物:用于性能测试(L0702100
小鼠抗His标签单抗(100 μL) 赖脯胰岛素(Y0000 48
小鼠抗His标签单抗(1000 μL) 来曲唑(Y0000685
小鼠抗HPC4标签蛋白单抗 来米特杂质A(Y0000487
小鼠抗HSV标签单抗 来米特:用于峰鉴别试验(Y0000674
风险提示:丁香通仅作为第三方平台,为商家信息发布提供平台空间。用户咨询产品时请注意保护个人信息及财产安全,合理判断,谨慎选购商品,商家和用户对交易行为负责。对于医疗器械类产品,请先查证核实企业经营资质和医疗器械产品注册证情况。
技术资料暂无技术资料 索取技术资料
紫杉醇33069-62-4图片
询价









