万千商家帮你免费找货
0 人在求购买到急需产品
- 详细信息
- 文献和实验
- 技术资料
- 英文名:
Bis-tris
- CAS号:
6976-37-0
- 保质期:
2年
- 供应商:
上海瓦兰生物
- 保存条件:
RT
- 库存:
大量
- 规格:
25g/100g
| 规格: | 25g | 产品价格: | ¥88.0 |
|---|---|---|---|
| 规格: | 100g | 产品价格: | ¥253.0 |
cas:6976-37-0
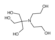
中文名称:双(2-羟乙基)氨基(三羟甲基)甲烷
中文别名:2,2-双二羟甲基苯胺(Bis-tris);2-二(2-羟乙基)氨基-2-羟甲基-1,3-丙二醇;双(2-羟乙基)氨基三(羟甲基)甲烷;双(2-羟乙基)氨基-三(羟甲基)甲烷;2,2-双二羟甲基苯胺;2-双(羟基甲基)-2,2',2''-次氮基三乙醇;2,2-双(羟基甲基)-2,2',2''-次氮基三乙醇;双(2-羟乙基)氨基(三羟甲基);双(2-羟甲基)氨基-三(羟甲基)甲烷;双(2-羟乙基)亚氨基三(羟甲基)甲烷;
英文名称:bis-tris
英文别名:2-[bis(2-hydroxyethyl)amino]-2-(hydroxymethyl)propane-1,3-diol;2,2-Bis(hydroxymethyl)-2,2',2''-nitrilotriethanol;
分子式:C8H19NO5
分子量:209.24000
精确质量:209.12600
PSA:104.39000
LOGP:-3.01130
物化性质
外观与性状:白色/透明结晶粉末
密度:1.346 g/cm3
沸点:466.2ºC at 760 mmHg
熔点:104 °C(lit.)
闪点:288ºC
水溶解性:soluble
储存条件:Store at RT.
安全信息
安全说明:S26-S36-S36/37/39-S22
WGK Germany:3
危险类别码:R21/22; R36/37/38
海关编码:29221980
危险品标志:Xn
风险提示:丁香通仅作为第三方平台,为商家信息发布提供平台空间。用户咨询产品时请注意保护个人信息及财产安全,合理判断,谨慎选购商品,商家和用户对交易行为负责。对于医疗器械类产品,请先查证核实企业经营资质和医疗器械产品注册证情况。
文献和实验How to make DEPC-treated water and Tris Buffer
Add 0.1 ml DEPC to 100 ml of the solution to be treated and shake vigorously to bring the DEPC into solution.Let the solution incubate for 12 hours at 37℃.Autoclave for 15 minutes to remove any trace of DEPC.Notes:How to make DEPC-treated Tris
Role of TRIS in DNA extraction-Molecular Biology
i want to know why exactly tris is used as a buffer when we can use any inorganic salt also to reach pH 8 so what is the function of tris? -------------------------------------------------------------------------------- The pH
一、TBS的配制 0.05 M TBS ( pH7.4 ) 的配制: Tris ( 三羟甲基胺基甲烷 ) 12.1g NaCl 17.5g 加蒸馏水 1500ml 磁性搅拌下滴加浓HCl至pH为7.4,再加蒸馏水至2000ml,即可。 如需含1% Triton X-100,则在滴加HCl前先加入20
技术资料需要更多技术资料 索取更多技术资料










