相关产品推荐更多 >
万千商家帮你免费找货
0 人在求购买到急需产品
- 详细信息
- 文献和实验
- 技术资料
- 库存:
大量
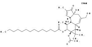
- 英文名:
Phorbol 12-Myristate 13-Acetate
- CAS号:
16561-29-8
- 保质期:
2年
- 供应商:
上海泽叶生物科技有限公司
- 保存条件:
2-8℃
- 规格:
10mg
| 分析标准品,HPLC≥98% |
- 英文名:
- Phorbol 12-Myristate 13-Acetate
- 别名:
- 12-豆蔻酸-13-乙酸佛波醇;12-O-Tetradecanoylphorbol-13-acetate; PHORBOL 12-MYRISTATE 13-ACETATE; Phorbol 12-myristate 13-acetate;
- CAS号:
- 16561-29-8
- 分子式:
- C36H56O8
- 分子量:
- 616.83
- MDL:
- MFCD00036736
- 沸点: 698.1℃ at 760 mmHg
- 储存条件: 2-8℃
- 闪点: 208.1℃
- 外观: 白色至灰白色固体
- 标准样品是按一定步骤,由被授权单位制造,作为标准的产品。对照品是用于对照的产品,作为对照品,其材质、含量都不是重要的,是其他东西与它相比。标准物质是作为标准的物质,不一定是实物。
对照品和标准品一样是指国家药品标准中用于鉴别、检查、含量测定、杂质和有关物质检查等标准物质,它是国家药品标准不可分割的组成部分。国家药品标准物质是国家药品标准的物质基础,它是用来检查药品质量的一种特殊的专用量具;是测量药品质量的基准;也是作为校正测试仪器与方法的物质标准。在药品检验中,它是确定药品真伪优劣的对照,是控制药品质量必不可少的工具。
对照品或标准品混用,即将对照品或标准品用于不是其标定方法的含量测定,是药品检验中经常出现但未引起重视的一个问题[3]。尽管同一批对照品不同标定方法的含量有很好的相关性,但并不完全相同,有时差别会很大。头孢呋肟酯对照品,HPLC标定为96.9%,供含量测定用;UV为98.8%,供溶出度测定。虽然中国药典凡例明确规定卫生部所发对照品仅用于正文中所规定的分析方法。但由于:
(1)卫生部提供的对照品使用说明书不够详尽,大多无对照品质量要求及标定方法;
(2)对对照品或标准品的正确使用缺乏认识;
(3)日常科研中极难找到相应的对照品;
(4)中国药典正文中也常存在对照品混用的问题,如常将含量测定用的标准品或对照品用于溶出度检查,而含量测定方法与溶出度分析方法又不同,故极易引起混用。
风险提示:丁香通仅作为第三方平台,为商家信息发布提供平台空间。用户咨询产品时请注意保护个人信息及财产安全,合理判断,谨慎选购商品,商家和用户对交易行为负责。对于医疗器械类产品,请先查证核实企业经营资质和医疗器械产品注册证情况。
文献和实验。 3、诱导液(TPA):12-邻-十四酰-佛波醇-13-乙酸酯(12-O-tetradecanoyl-phorbol-13-acetate,TPA)溶于丙酮,配成20mg/ml。 二、实验步骤 (一) 、用96孔细胞培养板制备贴壁细胞抗原(正常贴壁细胞) 1、HFF,NIH3T3细胞用含10%血清DMEM完全培养液在75cm2培养瓶中单层培养,使密度达到90%
师从施一公,发表 6 篇Science/3篇 Cell,她被誉为「世界最具潜力女科学家」| 论文盘点
体去除。与主剪接体相比,次要剪接体的组成、组装、功能状态、活化、调控和结构一直是个谜。 在这项研究中,白蕊及其同事在 U12 型内含子(仅占人类基因组 1%)剪接实验中组装了活化的人源次要剪接体,并首次报道了人源次要剪接体高分辨率(2.9 Å)的三维结构,解析了在剪接反应中的关键构象——激活态次要剪接体(次要 Bact 复合物)的结构及对稀有内含子(U12 依赖型内含子)的识别剪接机理。 主要 Bact 复合物的 13 种蛋白质,包括 5 种 NTC 和 NTR 组分,在次要 Bact 复合
,在230℃、醇油物质的量比12∶1及催化剂用量为棉籽油2%的条件下,反应8h后甲酯的收率达到90%以上。曹宏远[6]等采用新型固体酸Zr(SO4)2・4H2O,催化大豆油与甲醇的酯交换反应制备生物 柴油。在醇油物质的量比为6∶1,催化剂用量为(占原料油质量)3%,反应时间6h,反应温度65℃,生物 柴油的收率可达96%。DoraeLopez等[7]研究了阳离子交换树脂(Amerlyst-15)高氟化离子交换树脂NR50,硫酸锆、钨酸锆等固体酸催化剂催化甘油三乙酸酯(作为动植物油脂中所含的大分子甘油
技术资料暂无技术资料 索取技术资料










