相关产品推荐更多 >
万千商家帮你免费找货
0 人在求购买到急需产品
- 详细信息
- 文献和实验
- 技术资料
- 库存:
大量
- 英文名:
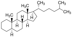
5α-Cholestane
- CAS号:
481-21-0
- 保质期:
2年
- 供应商:
上海泽叶生物科技有限公司
- 保存条件:
2-8℃
- 规格:
20mg
| 分析标准品,HPLC≥98% |
- 英文名:
- 5α-Cholestane
- 别名:
- CAS号:
- 481-21-0
- 分子式:
- C27H48
- 分子量:
- 372.67
- MDL:
- MFCD00066412
- 熔点: 80-82℃
- 储存条件: 2-8℃
- 来源: 合成
- 用途: A standard in cholesterol analysis by GC and HPLC, it is produced endogeneously in humans
- 标准样品是按一定步骤,由被授权单位制造,作为标准的产品。对照品是用于对照的产品,作为对照品,其材质、含量都不是重要的,是其他东西与它相比。标准物质是作为标准的物质,不一定是实物。
对照品和标准品一样是指国家药品标准中用于鉴别、检查、含量测定、杂质和有关物质检查等标准物质,它是国家药品标准不可分割的组成部分。国家药品标准物质是国家药品标准的物质基础,它是用来检查药品质量的一种特殊的专用量具;是测量药品质量的基准;也是作为校正测试仪器与方法的物质标准。在药品检验中,它是确定药品真伪优劣的对照,是控制药品质量必不可少的工具。
对照品或标准品混用,即将对照品或标准品用于不是其标定方法的含量测定,是药品检验中经常出现但未引起重视的一个问题[3]。尽管同一批对照品不同标定方法的含量有很好的相关性,但并不完全相同,有时差别会很大。头孢呋肟酯对照品,HPLC标定为96.9%,供含量测定用;UV为98.8%,供溶出度测定。虽然中国药典凡例明确规定卫生部所发对照品仅用于正文中所规定的分析方法。但由于:
(1)卫生部提供的对照品使用说明书不够详尽,大多无对照品质量要求及标定方法;
(2)对对照品或标准品的正确使用缺乏认识;
(3)日常科研中极难找到相应的对照品;
(4)中国药典正文中也常存在对照品混用的问题,如常将含量测定用的标准品或对照品用于溶出度检查,而含量测定方法与溶出度分析方法又不同,故极易引起混用。
风险提示:丁香通仅作为第三方平台,为商家信息发布提供平台空间。用户咨询产品时请注意保护个人信息及财产安全,合理判断,谨慎选购商品,商家和用户对交易行为负责。对于医疗器械类产品,请先查证核实企业经营资质和医疗器械产品注册证情况。
文献和实验C27 H48 O。又称 5α -胆甾烷 -3β -醇,或二氢胆固醇。是固醇(甾醇)之一。在生物体中随胆固醇少量存在。从胆固醇经胆甾烯酮(胆甾 -4-烯 -3-酮)进行生物合成。化学上是通过胆固醇的接触还原而合成。可被毛地黄皂苷沉淀。
胆汁酸的生物合成 biosynthesis of bileacid
胆汁酸是在脊椎动物的肝脏中由胆固醇合成的。最初,先使母核 7α羟基化,作为中间体有 5β -胆甾烷三醇、二羟基及三羟基 -5β -胆甾烷酸等。在低等脊椎动物中,先经由胆液的通常成分胆汁醇和高级胆汁酸,最后,由于侧链末端部的β -氧化失去丙酸而成为胆酸或去氧鹅胆酸的辅酶 A衍生物。在这里与牛磺酸或甘氨酸反应而生成结合胆汁酸。胆酸、去氧鹅胆酸以外的胆汁酸,是通过肝脏及肠内细菌对这两种酸代谢的结果而产生的次级产物。
环均取椅型配位,整体大致上固定成平面状。包括 D 环上的侧链,甾核上的代换基存在于环面的下侧时称为α配位,上侧时称为β配位。在结构式上α代换基以点线表示,β代换基以实线表示。虽然,天然甾体化合物具有与其起源等有关连的固有的惯用名,但是与结构有关连的命名法基本上是以几个烃而定名的,根据所定各碳原子的编号表示代换基的位置,例如属于昆虫变态激素的脱皮素是以胆甾烷为基干的 2 β, 3 β, 14 α, 22R , 25 -五羟基 -5 β - 胆甾 -7 烯 -6- 酮。甾类化合物还根据构成的碳的数目
技术资料暂无技术资料 索取技术资料









