相关产品推荐更多 >
万千商家帮你免费找货
0 人在求购买到急需产品
- 详细信息
- 文献和实验
- 技术资料
- 库存:
100
- 供应商:
上海羽朵
- 英文名:
A-740003
- 规格:
1g
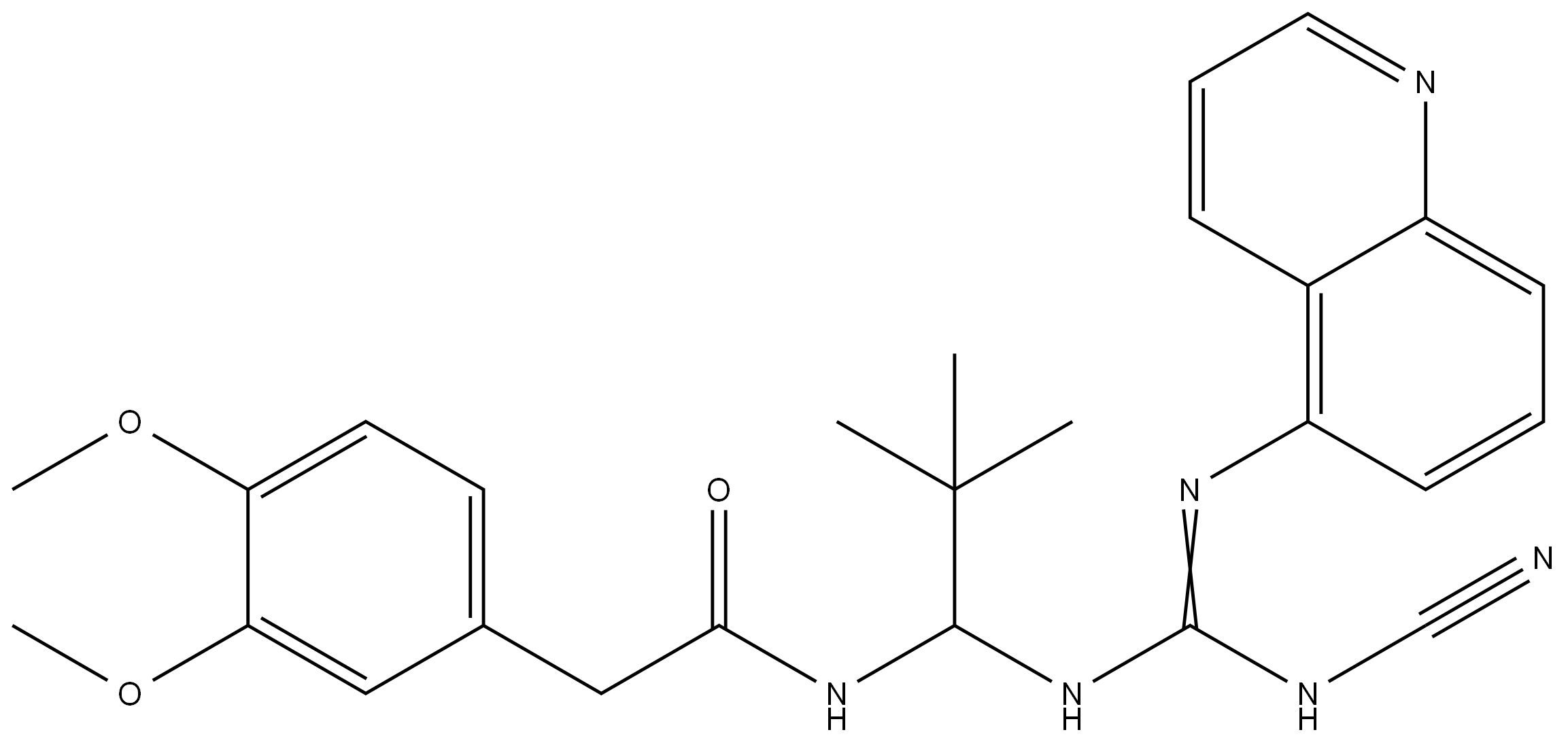
| 中文名称: | N-[1-[[(青基氨基)(5-喹-啉亚氨基)甲基]氨基]-2,2-二甲基丙基]-3,4-二甲氧基-苯乙酰胺 |
| 中文同义词: | 861393-28-4;N-[1-[[(青基氨基)(5-喹-啉亚氨基)甲基]氨基]-2,2-二甲基丙基]-3,4-二甲氧基-苯乙酰胺;CS-451 |
| 英文名称: | A-740003 |
| 英文同义词: | A740003 - CAS 861393-28-4 - Calbiochem;A-740003;N-[1-[[(Cyanoamino)(5-quinolinylimino)methyl]amino]-2,2-dimethylpropyl]-3,4-dimethoxybenzeneacetamide;N-[1-[[(Cyanoamino)(5-quinolinylamino)methylene]amino]-2,2-dimethylpropyl]-3,4-dimethoxybenzeneacetamide;A-740003 N-[1-[[(Cyanoamino)(5-quinolinylimino)methyl]amino]-2,2-dimethylpropyl]-3,4-dimethoxybenzeneacetamide;N-[1-[[(Cyanoamino)(5-quinolinylimino)methyl]amino]-2,2-dimethylpropyl]-3,4-dimethoxybenzeneacetamide A-740003;N-(1-{[(cyanoimino)(5-quinolinylamino) methyl] amino}-2,2-dimethylpropyl)-2-(3,4-dimethoxyphenyl)acetamide;A-740003, >=99% |
| CAS号: | 861393-28-4 |
| 分子式: | C26H30N6O3 |
| 分子量: | 474.562 |
| EINECS号: | |
| 相关类别: | |
| Mol文件: | 861393-28-4.mol |
![]() |
|
| 5-(4-氯苯基)-N-(3,5-二甲氧基-苯基)-2-呋喃甲酰胺 | 944261-79-4 |
| 2-[2-氟-4-[(2S)-2-吡-咯烷基]苯基]-1H-苯并咪唑-7-甲酰胺 | 934162-61-5 |
| ABT-199 | 1257044-40-8 |
| ATB 346 | 1226895-20-0 |
| ABT-737 | 852808-04-9 |
| N-[2-[(4-羟基苯基)氨基]-3-吡啶基]-4-甲氧基-苯磺酰胺 | 141430-65-1 |
| N/A | 916170-19-9 |
| ADIPORON | 924416-43-3 |
| N,N-二乙基-4-(5-羟基螺[2H-1-苯并吡喃-2,4'-哌定]-4-基)苯甲酰胺盐酸盐 | 850173-95-4 |
| AG1024 | 65678-07-1 |
| 酪氨酸磷酸化抑制剂AG 490 | 133550-30-8 |
风险提示:丁香通仅作为第三方平台,为商家信息发布提供平台空间。用户咨询产品时请注意保护个人信息及财产安全,合理判断,谨慎选购商品,商家和用户对交易行为负责。对于医疗器械类产品,请先查证核实企业经营资质和医疗器械产品注册证情况。
文献和实验相关实验
28-2 Xo为给药剂量,K为一级消除速度常数。 将28-2式中X值代入28-1式后得: =KeXoe-kt 28-3 两边取对数得: lg =lgKeXo- 28-4 由28-4式可知,原形药物排泄速度的对数对时间作图为一直线,该直线
技术资料暂无技术资料 索取技术资料
A-740003 861393-28-4
询价






![N-[1-[[(氰基氨基)(5-喹啉亚氨基)甲基]氨基]-2,2-二甲基丙基]-3,4-二甲氧基苯乙酰胺](https://img1.dxycdn.com/p/s14/2024/0422/389/2745601657537632871.gif)

