相关产品推荐更多 >
万千商家帮你免费找货
0 人在求购买到急需产品
- 详细信息
- 文献和实验
- 技术资料
- 库存:
100
- 供应商:
上海羽朵
- 英文名:
RoMidepsin (FK228, Depsipeptide)
- 规格:
1g
| 中文名称: | 罗米地辛 |
| 中文同义词: | 罗米地辛;FK228 罗米地辛;CS-972;罗米地辛, 一种有效的HDAC1和HDAC2抑制剂 |
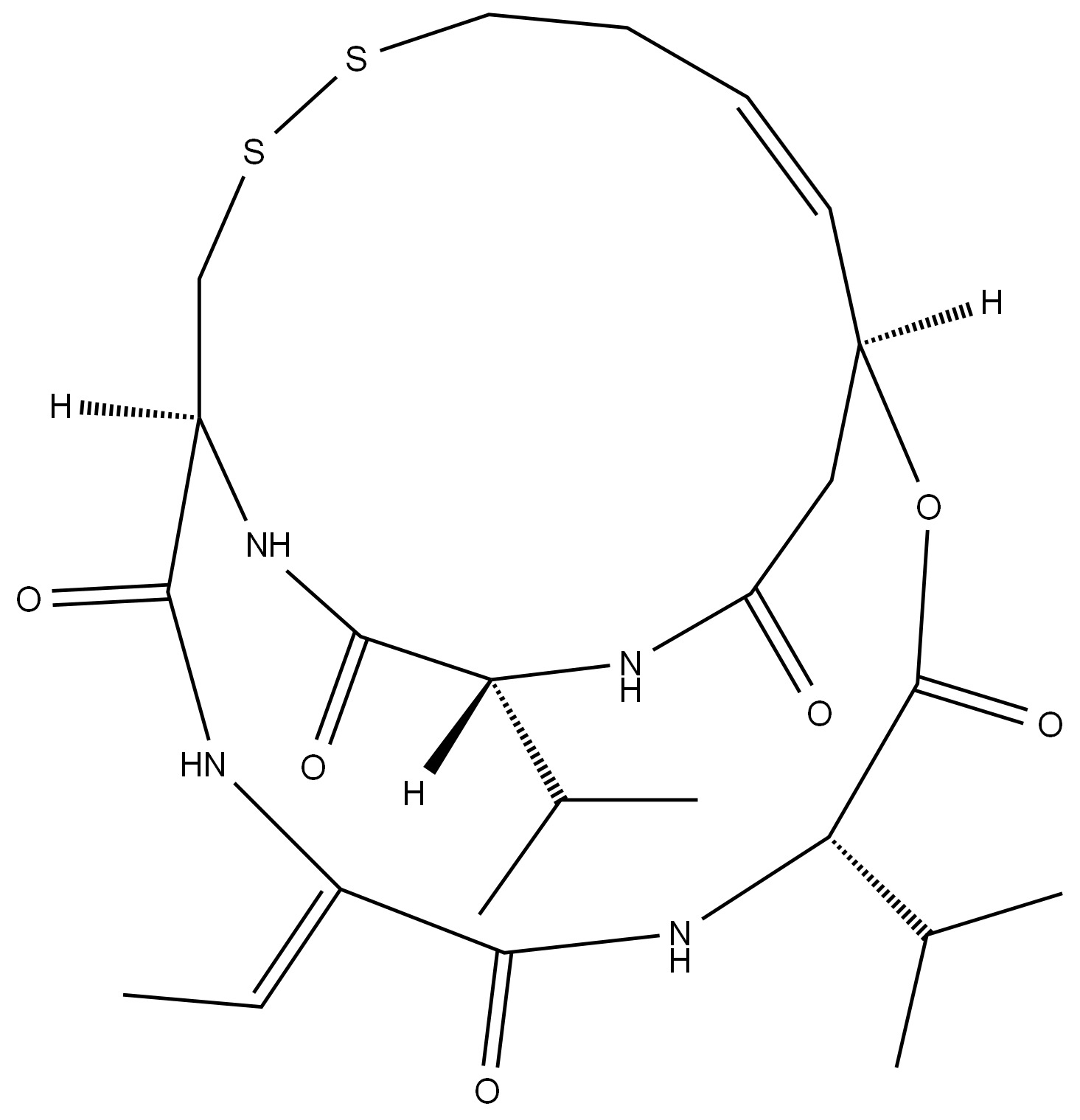
| 英文名称: | (1S,4Z,7S,10S,11E,20R)-4-ethylidene-7,20-dipropan-2-yl-9-oxa-15,16-dit hia-3,6,18,21-tetrazabicyclo[8.7.6]tricos-11-ene-2,5,8,19,22-pentone |
| 英文同义词: | (1S,4Z,7S,10S,11E,20R)-4-ethylidene-7,20-dipropan-2-yl-9-oxa-15,16-dit hia-3,6,18,21-tetrazabicyclo[8.7.6]tricos-11-ene-2,5,8,19,22-pentone;FR 901228;Romidepsin;istodax;RoMidepsin/Depsipeptide(FK-228, NSC-63017);[S-(E)]-N-(3-Hydroxy-7-Mercapto-1-oxo-4- heptenyl)-D-valyl-D-cysteinyl-(Z)-2,3-didehydro-2-aMinobutanoyl-;Cyclo[(2Z)-2-aMino-2-butenoyl-L-valyl-(3S,4E)-3-hydroxy-7-Mercapto-4-heptenoyl-D-valyl-D-cysteinyl] Cyclic (35)-Disulfide;Cyclo[(2Z)-2-aMino-2-butenoyl-L-valyl-(3S,4E)-3-hydroxy-7-Mercapto-4-heptenoyl-D-valyl-D-cysteinyl]-d8 Cyclic (35)-Disulfide |
| CAS号: | 128517-07-7 |
| 分子式: | C24H36N4O6S2 |
| 分子量: | 0 |
| EINECS号: | |
| 相关类别: | 原料药;细胞骨架信号;中药对照品-;小分子抑制剂,天然产物;原料药【仅供科研】;科研原药系列;对照品-;Heterocycles;Inhibitors;Intermediates & Fine Chemicals;Pharmaceuticals;Inhibitor;API |
| Mol文件: | 128517-07-7.mol |
![]() |
|
| TAK875 | 1374598-80-7 |
| 5-[3-(乙基磺酰基)苯基]-3,8-二甲基-N-(1-甲基-4-哌定基)-9H-吡啶并[2,3-B]吲哚-7-甲酰胺 | 934541-31-8 |
| [(2R)-1-[(2S)-2-氨基-3-甲基丁酰基]吡-咯烷-2-基]硼酸甲磺酸盐 | 150080-09-4 |
| (8R)-7-乙酰基-5-(4-氨基-苯基)-8,9-二氢-8-甲基-7H-1,3-二氧杂环戊烯并[4,5-H][2,3]苯并二氮杂卓 | 161832-65-1 |
| N-[2-[[4-[2-(6,7-二甲氧基-3,4-二氢-1H-异喹-啉-2-基)乙基]苯基]氨基甲酰基]-4,5-二甲氧基-苯基]喹-啉-3-甲酰胺 | 206873-63-4 |
| TC-DAPK 6 | 315694-89-4 |
| TCS 1102 | 916141-36-1 |
| 4-BENZYL-2-METHYL-1,2,4-THIADIAZOLIDINE-3,5-DIONE | 327036-89-5 |
| 特拉匹韦(VX-950) | 402957-28-2 |
| 替拉替尼 | 332012-40-5 |
| 4-[2-氨基-6-[(1R)-1-[4-氯-2-(3-甲基-1H-吡唑-1-基)苯基]-2,2,2-三氟乙氧基]-4-嘧啶基]-L-苯丙氨酸乙酯 N-苯甲酰甘氨酸盐 | 1137608-69-5 |
风险提示:丁香通仅作为第三方平台,为商家信息发布提供平台空间。用户咨询产品时请注意保护个人信息及财产安全,合理判断,谨慎选购商品,商家和用户对交易行为负责。对于医疗器械类产品,请先查证核实企业经营资质和医疗器械产品注册证情况。
文献和实验相关实验
.tibtech.2012.07.005 7.Lichte P, Pape H, Pufe T, Kobbe P, Fischer H. 2011. Scaffolds for bone healing: Concepts, materials and evidence. Injury. 42(6):569-573. http://dx.doi.org/10.1016/j.injury.2011.03.033 8.Lu L, Zhang Q, Wootton D, Chiou R, Li D, Lu B,
技术资料暂无技术资料 索取技术资料
RoMidepsin (FK228, Depsipeptide) 128517-07-7
询价








