相关产品推荐更多 >
万千商家帮你免费找货
0 人在求购买到急需产品
- 详细信息
- 文献和实验
- 技术资料
- 保存条件:
常温避光保存
- 保质期:
2年
- 库存:
大量现货
- 供应商:
上海钦诚生物
- CAS号:
193605-07-1
- 规格:
10mg
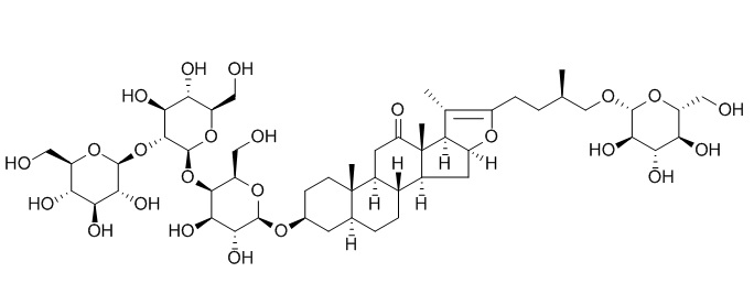
英文名称:Terrestrosin K
英文别名:Furost-20(22)-en-12-one, 3-[(O-β-D-galactopyranosyl-(1→2)-O-β-D-glucopyranosyl-(1→4)-β-D-galactopyranosyl)oxy]-26-(β-D-glucopyranosyloxy)-,(3β,5α,25R)-
分 子 式:C51 H82 O24
分 子 量:1079.18
C A S号: 193605-07-1
纯 度:HPLC≥98%
熔 点:202 °C (decomp)
密度:1.52±0.1 g/cm3 | Condition: Temp: 20 °C Press: 760 Torr
酸度系数pKa:12.79±0.70 | Condition: Most Acidic Temp: 25 °C
储存条件:2-8°C,干燥、避光、密封
规格:20mg 50mg 100mg 500mg 1g 2g等应客户需求包装
风险提示:丁香通仅作为第三方平台,为商家信息发布提供平台空间。用户咨询产品时请注意保护个人信息及财产安全,合理判断,谨慎选购商品,商家和用户对交易行为负责。对于医疗器械类产品,请先查证核实企业经营资质和医疗器械产品注册证情况。
文献和实验促进血液凝固的脂溶性维生素, K是 Koagu-lation的缩写。也称抗出血性维生素。作为具此作用的物质已从天然物中分离出 K1 , K2 ,以及合成出 K3 , K4 ,它们都是萘醌的衍生物。维生素 K1 亦称为叶绿醌, C3 1 H46 O2 ,黄色油状。维生素 K2 亦称为金合欢醌或甲基萘醌 C41 H36 O2 。维生素 K3 就是 2-甲基 1, 4萘醌( menadione),它是人工合成的代表性物质,有特殊臭味,作为维生素作用
Karyotye (核型):一个细胞或种属中整个染色体物质。 Kilobase, kb (千碱基):1000 个DNA 碱基对或1000 个RNA 碱基的缩写。 Kinase (激酶):磷酸化(加上一个磷酸基团) 底物的酶,蛋白质激酶的底物是其它蛋白质的 氨基酸,分为酪氨酸特异性及丝氨酸/苏氨酸特异性激酶两类。 Kinetic complexity (动力学复杂度):DNA 复性动力学检测的DNA 成分的复杂度。 Kinetochore (动粒纤维):染色体的结构
从毒品到抗抑郁药物,中国研究团队 Nature 揭示「K 粉
氯胺酮(Ketamine),化学名为 2-邻氯苯基-2-甲氨基环己酮,其最早是由美国药剂师 CalvinStevens 合成的,起初作为麻醉使用,氯胺酮作为麻醉药使用的特点是麻醉作用快,但作用时间很短,在越南战争中被广泛应用于创伤外科。但在氯胺酮发明 9 年之后,氯胺酮就被滥用,成为了一类毒品。70 mg 的氯胺酮会引发中毒反应,200 mg 就会让人产生幻觉,如果一次性使用过多可能会导致呼吸停止甚至死亡。氯胺酮还有一个大家更熟悉的名字就是「K 粉」,之所以叫这个名字是因为氯胺酮英文的第一
技术资料暂无技术资料 索取技术资料









