相关产品推荐更多 >
万千商家帮你免费找货
0 人在求购买到急需产品
- 详细信息
- 文献和实验
- 技术资料
- 库存:
278
- 英文名:
Paromomycin
- CAS号:
1263-89-4
- 保质期:
长期
- 供应商:
北京百奥莱博科技有限公司
- 保存条件:
2-8℃
- 规格:
200mg
特别提示:包括巴龙霉素在内,本公司的所有产品仅可用于科研实验,严禁用于临床医疗及其他非科研用途!
产品名称:巴龙霉素
英文名称:Paromomycin
产品货号:BP1585
产品规格:200mg
本品为巴龙霉素标准品,供抗生素微生物效价测定用,使用前不需干燥处理。
CAS号:1263-89-4
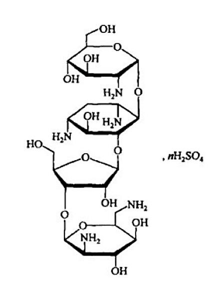
分子式:C23H45N5O14·nH2SO4
结构式:
包装:白色安瓿
规格:约200毫克/支
储存条件:2-8℃保存
除了巴龙霉素,,我公司还供应以下相关产品:
BP0023 磺胺甲恶唑 100mg/支
BP0182 盐酸维拉帕米 50mg
BP0245 维A酸 100mg/支
BP0532 托芬那酸 100mg
BP0664 恩曲他滨 100mg
BP0689 艾普拉唑 10mg
BP0724 右羟丙*嗪 约50毫克/支
BP0740 m-甲*-4,6-二磺酸铵(聚甲*磺醛杂质) 50mg/支
BP0833 N-甲基帕罗西汀 50mg
BP1267 白鲜碱 20mg
BP1572 磷霉素 200mg
BP1796 重组人胰岛素 25mg
BP2049 共聚维酮 200mg/瓶
BP2079 辛酸甲酯 1ml
GH1017 HT-2毒素标准品 1mg/5mg/10mg
风险提示:丁香通仅作为第三方平台,为商家信息发布提供平台空间。用户咨询产品时请注意保护个人信息及财产安全,合理判断,谨慎选购商品,商家和用户对交易行为负责。对于医疗器械类产品,请先查证核实企业经营资质和医疗器械产品注册证情况。
文献和实验指与K 、 Na 、 Ca2 及 Mg2 等离子形成脂溶性复合物,溶入膜中起运输离子作用的分子量为 200— 2000的一些化学物质。例如从放线菌提取的抗生素,于 10-9 M的低浓度下,在线粒体内可与能量偶联而蓄积金属离子。从运输方式看,可分为起运输离子载体作用的载体型和在膜上形成使离子透过的穴管道型二种。载体型分为中性离子载体和具有羧酸的羧基离子载体二种。作为前者的代表的环状缩肽类的巴龙霉素,对着分子内腔,将其氧原子以环状排列,离子正像被极性溶剂的水或酒精所溶剂
氨基糖苷抗生素 aminoglycoside antibiotics
含氨基糖的一组抗生素,链霉素为其代表。由链霉菌( Streptomyces)产生的其他的氨基糖苷抗生素有卡那霉素、新霉素及巴龙霉素等。都与 30S核糖体亚单位相结合,引起 m RNA之密码误读,从而抑制细菌的蛋白质活体合成。
变化而诱发。久病者常伴有贫血、乏力、消瘦等。 诊断依据 1.起病较缓,腹痛、腹泻,粪便暗红色或紫红色果酱样,有腥臭。 2.粪便检查发现有阿米巴包囊呈小滋养体或大滋养体。 3.选用抗阿米巴药物治疗,疗效确切。 治疗原则 1.抗阿米巴治疗(首选灭滴灵)。 2.抗生素治疗。 3.中医中药治疗。 4.对症支持治疗。 用药原则 1.为取得最佳疗效,多采用联合用药。 2.普通型一般采用灭滴灵,其治愈率可在90%,如加用巴龙霉素或四环素更能提高
技术资料暂无技术资料 索取技术资料









