相关产品推荐更多 >
万千商家帮你免费找货
0 人在求购买到急需产品
- 详细信息
- 技术资料
- 库存:
161
- 英文名:
D,L-Ketoisoleucine Calcium
- CAS号:
66872-75-1
- 保质期:
长期
- 供应商:
北京百奥莱博科技有限公司
- 保存条件:
冷藏:2-8℃
- 规格:
220mg/瓶
特别提示:包括消旋酮异亮氨酸钙在内,本公司的所有产品仅可用于科研实验,严禁用于临床医疗及其他非科研用途!
产品名称:消旋酮异亮氨酸钙
英文名称:D,L-Ketoisoleucine Calcium
产品货号:BP1901
产品规格:220mg/瓶
本品为消旋酮异亮氨酸钙化学对照品,含量以C12H18CaO6计为88.8%,供鉴别与含量测定。
CAS号:66872-75-1
分子式:C12H18CaO6
分子量:298.35
结构式:
分子量:298.35
包装及装量:2ml棕色西林瓶轧铝盖220mg/瓶。
储存条件:冷藏:2-8℃
注意事项:使用前不需干燥处理。
除了消旋酮异亮氨酸钙,,我公司还供应以下相关产品:
名称:枸橼酸氯己定
货号:BP0244
规格:50mg
名称:萘普生钠
货号:BP0265
规格:100mg/支
本品为萘普生钠的化学对照品,105℃干燥2小时后使用,供UV法含量测定用,按C14H13NaO3计,含量为100.0%。
分子式:C14H13NaO3
结构式:
分子量:252.25
包装:棕色西林瓶
规格:约100毫克/支
储存条件:遮光、10~30℃干燥处密闭保存。
注意事项:本品有引湿性,建议RH50%以下使用。
名称:盐酸普萘洛尔
货号:BP0601
规格:100mg
本品为盐酸普萘洛尔化学对照品,供检查用。供UV法测定,按C16H21NO2·HCl计,含量为100%。
CAS号:318-98-9
分子式:C16H21NO2·HCl
分子量:295.81
包装及装量:棕色西林瓶装,每支约100毫克。
储存条件:遮光,密封保存
注意事项:使用前不需干燥处理。
名称:呱西替柳杂质A(水杨酸愈创木酚酯)
货号:BP0719
规格:50mg
名称:氨基三乙酸
货号:BP0811
规格:50mg
本品为氨基三乙酸化学对照品,化学名为N,N-二(羧甲基)甘氨酸,供HPLC法杂质检查用。
CAS号:139-13-9
分子式:C6H9NO6
分子量:191.14
包装及装量:棕色小瓶装,每支约50毫克。
储存条件:遮光,密封保存。
注意事项:使用前不需干燥处理。
名称:13-乙基阿维A
货号:BP0882
规格:10mg/支
本品为13-乙基阿维A化学对照品,供检查用,使用前不需干燥处理,供HPLC法测定,按C22H28O3计,含量为100%。冷处保存,避光操作。
CAS号:1313741-10-4
分子式:C22H28O3
分子量:340.46
包装及装量:安瓿瓶,充氮熔封,每支约10毫克。
储存条件:遮光,密封,冷处保存。
注意事项:使用前不需干燥处理。
名称:盐酸兰地洛尔异构体Ⅱ
货号:BP0915
规格:20mg/支"
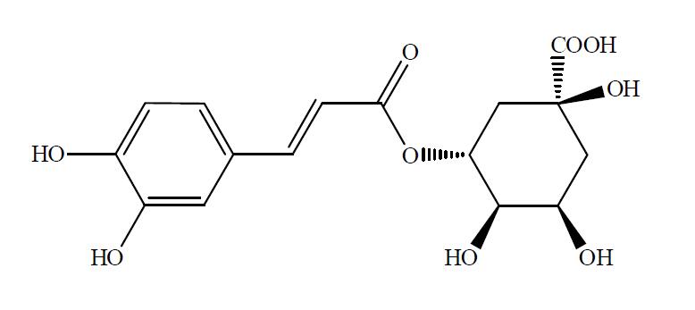
名称:绿原酸
货号:BP1050
规格:约20mg/支
本品为绿原酸化学对照品,供鉴别或含量测定用。置*氧化二磷干燥器中减压干燥12小时后使用,含量以99.3%计。
CAS号:327-97-9
分子式:C16H18O9
分子量:354.31
结构式:
包装:棕色瓶
规格:约20mg/支
储存条件:冷处(2-10℃)、遮光。
风险提示:丁香通仅作为第三方平台,为商家信息发布提供平台空间。用户咨询产品时请注意保护个人信息及财产安全,合理判断,谨慎选购商品,商家和用户对交易行为负责。对于医疗器械类产品,请先查证核实企业经营资质和医疗器械产品注册证情况。
技术资料暂无技术资料 索取技术资料
消旋酮异亮氨酸钙
¥380 - 3800









