万千商家帮你免费找货
0 人在求购买到急需产品
- 详细信息
- 文献和实验
- 技术资料
- 库存:
75
- 英文名:
D-Xylose
- CAS号:
6763-34-3
- 保质期:
长期
- 供应商:
北京百奥莱博科技有限公司
- 规格:
50mg/支
特别提示:包括D-木糖在内,本公司的所有产品仅可用于科研实验,严禁用于临床医疗及其他非科研用途!
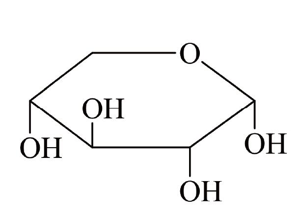
产品名称:D-木糖
英文名称:D-Xylose
产品货号:BP1173
产品规格:50mg/支
本品为D-木糖化学对照品,供鉴别或含量测定用。置五*化二磷干燥器中减压干燥12小时后使用。含量以99.9%计。
CAS号:6763-34-3
分子式:C5H10O5
分子量:150.13
结构式:
包装:棕色瓶。
规格:约50mg/支。
储存条件:阴凉处保存。
除了D-木糖,,我公司还供应以下相关产品:
名称:氯噻酮
货号:BP0160
规格:100mg/支
本品为氯噻酮的化学对照品,按C14H11ClN2O4S计,供HPLC法含量测定用,含量为99.5%;供UV法含量测定用,含量99.9%,使用前不需干燥处理。
分子式:C14H11ClN2O4S
分子量:338.76
CAS号:77-36-1
包装:棕色西林瓶装。
规格:100毫克/支。
储存条件:遮光,密封保存。
名称:双嘧达莫
货号:BP0197
规格:100mg
本品为双嘧达莫(Dipyridamole)的化学对照品,供含量测定用,使用前不需干燥处理。按C24H40N8O4计,含量为99.8%。
分子式:C24H40N8O4
分子量:504.63
CAS号:58-32-2
包装及装量:棕色小瓶装,每支约100毫克。
储存条件:遮光,密闭保存。
注意事项:使用前不需处理。
名称:4-氨基-5-氨基甲酰基咪唑
货号:BP0494
规格:100mg/支
本品为4-氨基-5-氨基甲酰基咪唑对照品,供HPLC法系统适用性试验用,使用前不需干燥处理。
CAS号:360-97-4
分子式:C4H6N4O
分子量:126.12
包装及装量:棕色安瓿装,每支约100mg。
储存条件:遮光,密封,在冷处保存。
名称:吗替麦考酚酯
货号:BP0697
规格:100mg/支
本品为吗替麦考酚酯化学对照品,供含量测定用。60℃减压干燥3小时后使用,按C23H31NO7计,供HPLC法测定,含量为99.8%,供UV法测定,含量为100.0%。
CAS号:128794-94-5
分子式:C23H31NO7
分子量:433.49
结构式:
包装:棕色西林瓶。
规格:100毫克/支。
储存条件:遮光,10~30℃密闭保存。
名称:盐酸普罗帕酮
货号:BP0866
规格:100mg
本品为盐酸普罗帕酮化学对照品,供UV法溶出度检查用,按C21H27NO3·HCl计,含量为99.9%。
CAS号:34183-22-7
分子式:C21H27NO3·HCl
分子量:377.91
包装及装量:棕色小瓶装,每支约100毫克。
储存条件:遮光,密封保存。
注意事项:使用前无需处理。
名称:盐酸脒基吡唑(扎那米韦杂质)
货号:BP0897
规格:50mg/支
本品为盐酸脒基吡唑(扎那米韦杂质)化学对照品,使用前不需干燥处理,供HPLC法检查用,按盐酸脒基吡唑(C4H6N4·HCl)计,含量为88.8%。
CAS号:4023-02-3
分子式:C4H6N4·HCl
分子量:146.58
包装及装量:棕色小瓶装,每支约50毫克。
储存条件:遮光,密封保存。
注意事项:使用前不需干燥处理。
名称:碘佛醇杂质Ⅱ
货号:BP0944
规格:50mg/支
名称:左羟丙*嗪杂质(缩水甘油)
货号:BP0955
规格:约300毫克/支
本品为左羟丙*嗪杂质(缩水甘油)化学对照品,使用前不需干燥处理。供GC法检查用。
CAS号:556-52-5
分子式:C3H6O2
分子量:74.08
结构式:
包装:安瓿瓶装
规格:约300毫克/支
储存条件:遮光,2-8℃密封保存。
名称:人参三醇
货号:BP1014
规格:20mg/支
本品为人参三醇化学对照品,供相关物质鉴别用,使用不需干燥处理。
CAS号:32791-84-7
分子式:C30H52O4
分子量:476.7
结构式:
包装:棕色安瓿瓶。
装量:约20mg/支
储存条件:冷处(2~10℃)保存。
名称:阿魏酸
货号:BP1069
规格:50mg/支
本品为阿魏酸化学对照品,供含量测定用,使用前不需干燥处理,含量以99.0%计。
CAS号:537-98-4
分子式:C10H10O4
分子量:194.18
结构式:
包装:棕色西林瓶
装量:约50mg/支
储存条件:冷处(2-10℃)保存
名称:荆芥油
货号:BP1195
规格:0.2ml
名称:亥茅酚苷
货号:BP1313
规格:20mg
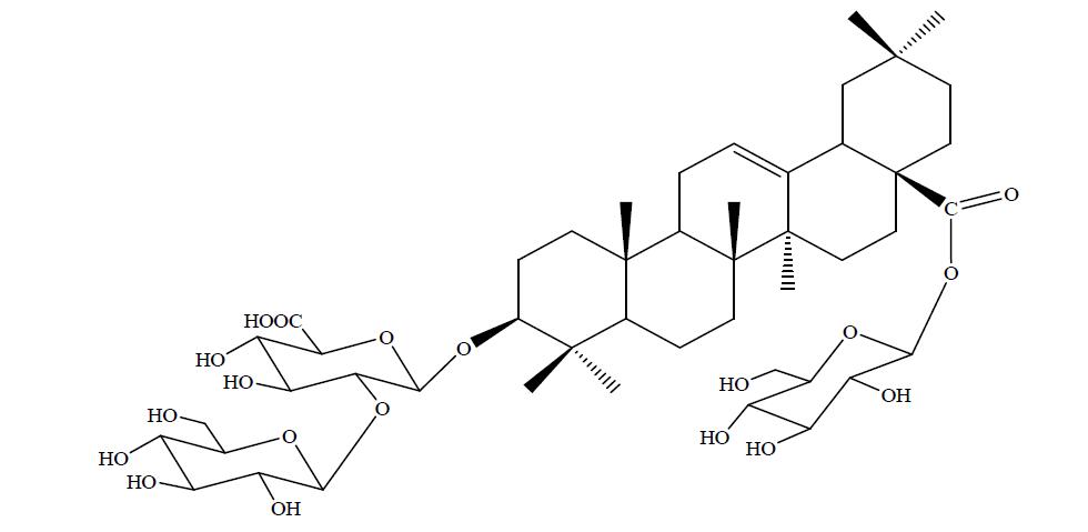
名称:人参皂苷Ro
货号:BP1447
规格:约20mg/支
本品为人参皂苷Ro化学对照品,供相关物质鉴别用,使用前不需干燥处理。
CAS号:34367-04-9
分子式:C48H76O19
分子量:957.11
结构式:
包装:棕色瓶
装量:约20mg/支
储存条件:冷冻保存
注意事项:本品具有引湿性,开封后一次使用完毕。
名称:桃叶干浸膏
货号:BP1472
规格:0.7g
本品为桃叶干浸膏化学对照品,供相关物质鉴别用。
包装及装量:棕色瓶。
储存条件:干燥避光保存。
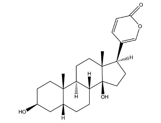
名称:蟾毒灵
货号:BP1513
规格:20mg/支
本品为蟾毒灵非标准用对照品,使用前不需干燥处理,含量以99.2%计。
CAS号:465-21-4
分子式:C24H34O4
分子量:386.53
结构式:
包装:棕色安瓿瓶
装量:约20mg/支
储存条件:冷处(2-10℃)干燥保存
名称:甲酰化人生长激素
货号:BP1806
规格:2mg
名称:泌乳素(Prl)
货号:BP1974
规格:3支/套,0.5ml/支
本品为泌乳素质控血清(PRL质控血清),供免疫测定用。
1、是以PRL纯品为原料加入至新鲜正常人混合血清制备而成。
2、本套质控血清为冻干品,3支/套,0.5ml/支。
3、使用时应用0.5ml去离子水将内容物完全溶解,充分混合后使用。
4、质控血清I理论值为150μIU/ml;
质控血清Ⅱ理论值为390μIU/ml;
质控血清Ⅲ理论值为10~30μIU/ml。
由于免疫分析体系不同,各公司测定结果存在一定差异,数据仅供参考。
5、本套质控血清长期保存应在-20℃及以下;复融后尽可能一次性用完,如确需多次使用,请分装后-20℃及以下保存,避免反复冻融。
6、本套质控血清不具备溯源性,不能用于定值,可用于PRL精密度分析或其他免疫分析。
风险提示:丁香通仅作为第三方平台,为商家信息发布提供平台空间。用户咨询产品时请注意保护个人信息及财产安全,合理判断,谨慎选购商品,商家和用户对交易行为负责。对于医疗器械类产品,请先查证核实企业经营资质和医疗器械产品注册证情况。
文献和实验C5 H10 O5 ,一种戊糖。天然 D-木糖是以多糖的形态存在于植物中。因为它们特别在农产品的废弃部分中(例如玉米的穗轴、秸秆、棉桃的外皮)含量很多,所以自古以来对它的利用法就有很大兴趣。在细菌中有的能利用 D-木糖为碳源,曾试图利用它作为发酵培养基的成分。在动物中羊几乎能完全地利用木糖,而猪仅能利用 70%左右。以木糖饲养大鼠可引起白内障。由肠管壁的吸收速度远比 D-萄葡糖为慢。从萄萄糖经过 D-葡糖 -6-磷酸→α -D葡糖
C5 H10 O5 。戊糖的一种。 D-阿拉伯糖除含于一部分植物糖苷中外,几乎在自然界中是找不到的,而 L-阿拉伯糖则以植物界为中心广泛分布着,在松或杉的心材中呈结合状态或游离状态存在。植物树胶多数也是以 L-阿拉伯糖为主要成分的多糖。一般植物细胞作为细胞外间质成分而合成分泌的杂多糖常含有 L-阿拉伯糖。与 D-木糖是 4-差向异构体的关系,在生物体内经由α -D-葡萄糖 -1-磷酸→ UDP-D-葡萄糖→ UDP葡糖醛酸→ UDP- D-木糖,由特异的差向异构酶的反应生成 UDP
高等动物(牛、羊、狗、猫等)的肝脏及弱氧化醋杆菌( Acetobacter subaxydans等)中存在的一种酶。催化 D-葡萄糖 NAD( P) D-葡糖酸(的内酯) NAD( P) H的反应。来源于动物的酶( EC. 1. 1. 1. 47)既能利用 NAD,也能利用 NADP。虽然对 D-木糖也显有 25%的活性,但对其他天然己糖和戊糖则几乎没有作用(动物)。醋酸杆菌属( Acetobacter)的酶( EC1. 1. 1. 119)对 NADP具有是特异的作用,但也能作用
技术资料暂无技术资料 索取技术资料









