相关产品推荐更多 >
万千商家帮你免费找货
0 人在求购买到急需产品
- 详细信息
- 文献和实验
- 技术资料
- 库存:
478
- 英文名:
Glutathione Agarose Resin 4FF
- 保质期:
2年
- 供应商:
北京百奥莱博科技有限公司
- 保存条件:
4℃
- 规格:
10ml
特别提示:包括谷胱甘肽高速纯化树脂(用于GST标签蛋白纯化)在内,本公司的所有产品仅可用于科研实验,严禁用于临床医疗及其他非科研用途!
产品名称:谷胱甘肽高速纯化树脂(用于GST标签蛋白纯化)
英文名称:Glutathione Agarose Resin 4FF
产品货号:SY0396
产品规格:10ml
本品是一种GST标签蛋白纯化树脂,结构上是以高度交联的4%琼脂糖凝胶为基质,通过12个原子的间隔臂,用化学方法共价结合还原型谷胱甘肽制作而成,具有更高的物理化学特性,可以耐受更高的压力,在相对较高的流速下,实现对目的蛋白的纯化,更适于工业大规模蛋白的纯化。
此外,本品特异性好,性价比高,可以一步纯化各种表达系统中谷胱甘肽-S-转移酶、谷胱甘肽依赖性蛋白和谷胱甘肽重组衍生物。
基质(Matrix):高度交联的4%琼脂糖微球
配体(Ligand):通过12原子间隔臂偶联的谷胱甘肽
孔径(Bead size):45-165µm
载量(Capacity):>10mg GST protein/ml 基质(40kDa)
最大压力(PressureMax):0.3 MPa, 3bar
pH稳定范围:3-12
储存缓冲液:20%乙醇
储存条件:4℃,有效期2年
除了谷胱甘肽高速纯化树脂(用于GST标签蛋白纯化),,我公司还供应以下相关产品:
名称:1mL亲和层析柱
货号:BTN140649
规格:1mL
本产品适用范围广泛,可用于纯化分离重组蛋白、抗体和抗原、多肽、糖蛋白、磷酸化蛋白、DNA及DNA结合蛋白等生物大分子;还可以用于去除生物样品中的内毒素等污染。
亲和层析是利用生物分子间所具有的专一亲和力而发明的纯化技术。它是利用生物分子间存在的特异性相互作用(如抗原-抗体、酶-底物或抑制剂、激素-受体等),通过将具有亲和力的两个分子中的一个固定在不溶性基质上,利用分子间亲和力的特异性和可逆性,对另一个分子进行分离纯化。
亲和层析柱常见的使用方法有重力法、手动加压法、蠕动泵法,其示意图如下:
储存条件:常温运输及保存,有效期一年。
常用亲和标签及纯化方案:
名称:核固红
货号:SNM473
规格:12ml
名称:TRAIL蛋白检测试剂盒
货号:KFS233
规格:50T
本试剂盒用于从哺乳动物组织和培养细胞中提取全蛋白, 用含有蛋白酶抑制剂及磷酸酶抑制剂的裂解缓冲液LysisBuffer 匀浆裂解组织或细胞,作用温和,提取过程简便高效。获得的全蛋白可用于Western Blot、免疫共沉淀等后续研究(本试剂盒包含兔抗TRAIL抗体),但不能用于蛋白激酶及磷酸酶免疫共沉淀的研究,因本试剂盒中包括这两种酶的抑制剂。
名称:多聚L-赖氨酸溶液(5mg/ml)(分子量15万~30万)
货号:SY0462
规格:5mg(5mg/ml)
本品为无菌的多聚L-赖氨酸(Poly-L-lysine)溶液,浓度为5mg/ml,使用时直接稀释到需要浓度即可。本溶液以分子量为150,000-300,000的Poly-L-lysine配制所得。本品用作细胞培养基质,推荐使用量为:对于25cm2的培养板需要0.1mg/ml的聚赖氨酸溶液约0.5ml-1.0ml。
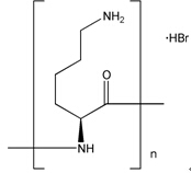
多聚赖氨酸(poly-lysine)是一种带正电荷的氨基酸聚合物,能够结合于DNA,红细胞膜或任何带负电荷蛋白,是一种非特异性的细胞粘附因子,促进细胞吸附到固相基质上。作用机理在于其可增强细胞膜表面的负电荷离子和固相基质表面(如细胞培养皿,载玻片等)的静电相互作用。当吸附到培养表面后,多聚赖氨酸提高用于细胞结合的阳离子结合位点数。多聚赖氨酸分子量的大小与粘度相关,即分子量较低,粘度较低;分子量较高,粘度较高,提供的粘附位点也较多。分子量>30,000的聚赖氨酸适用于促进细胞粘附到固体基质。
多聚赖氨酸(poly-lysine)有两种常见亚型,D-和L-型。由于多聚赖氨酸是细胞结合的非特异性粘附因子,因此两种亚型都可用作包被固体基质,在细胞培养中都可促进细胞的贴壁生长。
中文别名:多聚赖氨酸溶液(L型)
英文别名:Poly-L-lysine Solution; PLL; Poly-L-lysine hydrobromide Solution
CAS:25988-63-0
分子式:L-Lys-(L-Lys)n-L-Lys·xHBr
分子量:150,000-300,000
外观:无色至浅黄色液体
储存条件:4℃,有效期两年
结构式:
名称:酵母组蛋白提取试剂盒
货号:HR0039
规格:50T/100T
名称:藻类蛋白提取试剂盒(2D电泳用)
货号:HR0181
规格:50T/100T
我司藻类蛋白提取试剂盒(双向电泳用)可以从各种藻类中提取总蛋白,包括蓝藻门的原核藻类和原生生物藻类。也可用于纯化蛋白的粗品制备。提取过程简单方便。该试剂盒含有蛋白酶抑制剂混合物,阻止了蛋白酶对蛋白的降解,为提取高质量的蛋白提供了保证。
提取的蛋白直接用于等点聚焦电泳、双向电泳。如需要用于SDS-PAGE电泳检测、Western blotting、凝胶阻滞实验、免疫共沉淀、报告基因检测、酶活分析等下游实验的试剂盒,请联系我司,选用其它产品号的产品。
储存条件:蛋白酶抑制剂-20℃保存;蛋白提取液室温保存。
有效期:一年。
注意事项:
●本试剂盒仅供科学研究使用。
● 螺旋盖微量试剂管装的试剂在开盖前请短暂离心,将盖和管内壁上的液体离心至管底,避免开盖时试剂损失。
● 禁止与其他品牌的试剂混用,否则会影响使用效果。
● 最好使用一次性吸头、管、瓶或玻璃器皿,可重复使用的玻璃器皿必须在使用前清洗并彻底清除残留清洁剂。
● 避免皮肤或粘膜与试剂接触。
产品特点:
1.使用方便,不需经过研磨、反复冻融、超声破碎等前处理。
2.将蛋白提取的时间缩短至30分钟-1小时。
3.含蛋白稳定剂,提取的蛋白稳定。
4.紫外检测蛋白浓度时,背景干扰低。
5.蛋白酶抑制剂抑制了蛋白的降解,蛋白酶抑制剂配方优化。蛋白酶抑制剂混合物包含7种独立的蛋白酶抑制剂;每一种抑制剂可特异性抑制某一种或几种蛋白酶活性。该混合物优化的组成使其可以抑制几乎所有重要的蛋白酶活性,包括丝氨酸蛋白酶、半胱氨酸酸蛋白酶、天冬氨酸蛋白酶、丙氨酰-氨基肽酶等。
试剂盒以外自备试剂和仪器:
● 移液器、吸头 ●离心机及离心管 ● 涡旋振荡器 ●冰箱,冰盒
使用方法:
使用注意事项:
● 旋帽离心管装的试剂在开盖前请短暂离心,将盖内壁上的液体甩至管底,避免开盖时液体洒落。
●蛋白酶抑制剂储存期间溶液如果出现沉淀,不影响使用,溶解后正常使用。
●可以根据自己实验需要加入其它蛋白酶抑制剂单品。
1.提取液制备:每 500μl的蛋白提取液中加入2μl蛋白酶抑制剂混合物混匀后备用。
2.将藻类样品洗涤后离心。
3.每 100μl藻类沉淀样品中加入500μl的蛋白提取液,混匀后,置摇床振荡20-30分钟。
4.在 14000g条件下离心10分钟。
5.将上清吸入另一干净离心管,即可得到藻类总蛋白。
6.将上述蛋白提取物分装于-80℃冰箱保存备用或直接用于下游实验。
注:
①细胞数量根据实验情况调整,每次的裂解液用量并不是一定的,请根据实际情况调整。
风险提示:丁香通仅作为第三方平台,为商家信息发布提供平台空间。用户咨询产品时请注意保护个人信息及财产安全,合理判断,谨慎选购商品,商家和用户对交易行为负责。对于医疗器械类产品,请先查证核实企业经营资质和医疗器械产品注册证情况。
文献和实验HIS 标签蛋白纯化效果不理想,宝宝心里苦呀。今天,小编来跟大家一起找找原因。 纯化所得组分中没有收集到重组的 HIS 标签蛋白。该问题主要可以分为以下两个方面: 1、HIS 标签蛋白没有结合到填料上就流穿了 原因一 超声的功率不对。超声功率过高,容易导致蛋白炭化;功率过低,蛋白释放不出来。 建议 改变超声功率,同时可以在超声前加入溶菌酶。 原因二 结合缓冲液条件不合适。 建议 检查结合缓冲液中是否有影响结合的因素,如:金属离子螫合剂、强还原剂、过高的咪唑浓度。同时,优化缓冲
Strep-Tactin®XT 纯化步骤来啦! 各位在实验室中都是怎样做纯化的呢?视频中来自IBA Lifesciences的师姐给大家完整演示了她的纯化实验流程~ 从实验前的试剂、纯化柱的准备,到纯化以及柱子的再生步骤。希望能对大家的纯化所有帮助!建议快快点赞收藏,转发给身边做纯化的小伙伴一起看哦!
StrepⅡ-六组氨酸-蛋白 02双标签蛋白可促进目的蛋白增溶性和特异性双重提高 当组氨酸标签蛋白表达量低,或纯化过程中蛋白不稳定时,可能是由于目的蛋白疏水性强导致溶解性不高、或未能正确折叠形成包涵体影响纯化效果。大分子增溶性蛋白标签,如 GST、MBP 标签可改善这一问题。但一步亲和难以满足高纯度蛋白的要求。大分子标签与小分子标签组合的双标签蛋白不仅可以提高目的蛋白溶解性和稳定性,还可以提高目的蛋白的特异性。 下图展示的是双标签绿色荧光蛋白(六组氨酸-绿色
技术资料暂无技术资料 索取技术资料










