相关产品推荐更多 >
万千商家帮你免费找货
0 人在求购买到急需产品
- 详细信息
- 技术资料
- 库存:
270
- 英文名:
Ropivacaine Mesylate
- CAS号:
854056-07-8
- 保质期:
长期
- 供应商:
北京百奥莱博科技有限公司
- 规格:
100mg
特别提示:包括甲磺酸罗哌卡因在内,本公司的所有产品仅可用于科研实验,严禁用于临床医疗及其他非科研用途!
产品名称:甲磺酸罗哌卡因
英文名称:Ropivacaine Mesylate
产品货号:BP0417
产品规格:100mg
本品为甲磺酸罗哌卡因化学对照品,供HPLC法含量测定时,作对照用。按C17H26N2O·CH3SO3H计,含量为99.5%。
分子式:C17H26N2O·CH3SO3H
结构式:
分子量:370.51
CAS号:854056-07-8
包装及装量:棕色西林瓶装,每支约100mg
储存条件:避光,密闭保存
注意事项:本品使用前不需干燥处理,可直接使用。
除了甲磺酸罗哌卡因,,我公司还供应以下相关产品:
名称:叶酸
货号:BP0063
规格:100mg/支
本品为叶酸(FolicAcid)的化学对照品,按C19H19N7O6计,供HPLC法测定,含量为89.7%;供UV法测定,含量为92.3%。
分子式:C19H19N7O6
分子量:441.40
CAS号:59-30-3
包装及装量:棕色西林瓶装,每支约100毫克
储存条件:遮光,密封保存
注意事项:使用前不需干燥处理。
名称:4-异丁*苯甲*
货号:BP0555
规格:50mg
本品为4-异丁*苯甲*化学对照品,为布洛芬杂质,供HPLC检查用,按C11H14O2计,含量为100%。
CAS号:38861-88-0
分子式:C11H14O2
分子量:178.23
包装及装量:西林瓶装,每支约50毫克。
储存条件:遮光,密封保存。
注意事项:使用前不需干燥处理。
名称:右羟丙*嗪
货号:BP0724
规格:约50毫克/支
本品为右羟丙*嗪化学对照品,使用前不需干燥处理。供HPLC法系统适用性用。
分子式:C13H20N2O2
分子量:236.32
结构式:
包装:西林瓶装
规格:约50毫克/支
储存条件:遮光,10~30℃密闭保存。
名称:二甘醇
货号:BP0814
规格:100mg
本品为化学对照品,供供甘油中GC法二甘醇检查时作对照用,使用前不需干燥,可直接使用。含量以C4H10O3计,为99.8%。
CAS号:111-46-6
分子式:C4H10O3
分子量:106.11
包装:棕色安瓿瓶
规格:每支约100mg
储存条件:室温,密闭遮光保存
注意事项:本品具有引湿性,请开瓶后一次性使用完毕。
名称:对甲氧基桂皮酸乙酯(对甲氧基肉桂酸乙酯)
货号:BP1120
规格:20mg/支
本品为对甲氧基桂皮酸乙酯(对甲氧基肉桂酸乙酯)化学对照品,供相关物质鉴别用。
CAS号:1072-93-1
分子式:C12H14O3
分子量:206.24
结构式:
包装:棕色瓶
装量:约20mg/支
储存条件:冷处(2-10℃)保存
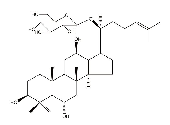
名称:20(S)-人参皂苷F1
货号:BP1345
规格:20mg/支
本品为20(S)-人参皂苷F1化学对照品,供鉴别及含量测定用,含量以93.5%计,使用前不需干燥处理。
CAS号:53963-43-2
分子式:C36H62O9
分子量:638.87
结构式:
包装:棕色安瓿瓶
装量:约20mg/支
储存条件:冷冻保存
注意事项:本品有引湿性,打开包装后一次使用完毕。
名称:3-甲酰利福霉素SV
货号:BP1600
规格:50mg
本品为3-甲酰利福霉素SV标准品,供利福平品种有关物质检查及系统适用性试验用。
使用方法:精密称取本品适量,按规定的方法,配制至所需浓度的对照品溶液,立即使用。
储存条件:置5℃以下低温避光保存。开启安瓿后严密保持干燥,以防吸水。
注意事项:使用前不需干燥处理。
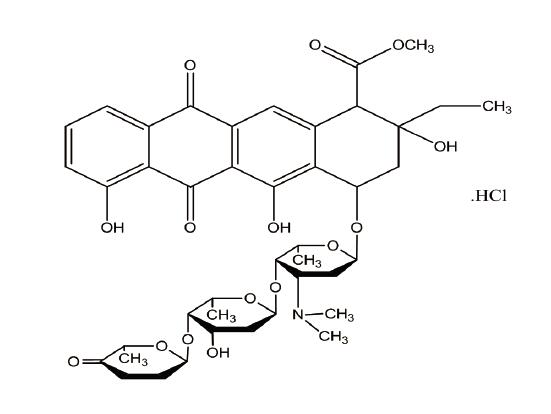
名称:阿柔比星
货号:BP1746
规格:20mg/支
本品为阿柔比星化学对照品,供HPLC含量测定用,以阿柔比星(C42H53NO15)计,每支含阿柔比星为19.10mg。使用前不需干燥处理。使用时需要整瓶稀释。
CAS号:57576-44-0
分子式:C42H53NO15·HCl
分子量:847.3
结构式:
包装:西林瓶
规格:20mg/支
储存条件:2-8℃保存
名称:单唾液酸四己糖神经节苷脂钠
货号:BP1916
规格:约25mg/瓶
本品为单唾液酸四己糖神经节苷脂钠化学对照品,以单唾液酸四己糖神经节苷脂钠计含量为99.0%,供单唾液酸四己糖神经节苷脂钠鉴别及含量测定用。
CAS号:37758-47-7
分子式:C73H130N3NaO31或C75H134N3NaO31
分子量:1568.84或1597.18
包装:棕色西林瓶
规格:约25mg/瓶
储存条件:2~8℃冷藏保存
注意事项:无需干燥,直接称量使用,本品具有引湿性,建议开包装后一次使用。
风险提示:丁香通仅作为第三方平台,为商家信息发布提供平台空间。用户咨询产品时请注意保护个人信息及财产安全,合理判断,谨慎选购商品,商家和用户对交易行为负责。对于医疗器械类产品,请先查证核实企业经营资质和医疗器械产品注册证情况。
技术资料暂无技术资料 索取技术资料
甲磺酸罗哌卡因
¥380 - 3800










