相关产品推荐更多 >
万千商家帮你免费找货
0 人在求购买到急需产品
- 详细信息
- 文献和实验
- 技术资料
- 库存:
296
- 英文名:
Alanine
- CAS号:
56-41-7
- 保质期:
长期
- 供应商:
北京百奥莱博科技有限公司
- 规格:
约100mg/瓶
特别提示:包括丙氨酸在内,本公司的所有产品仅可用于科研实验,严禁用于临床医疗及其他非科研用途!
产品名称:丙氨酸
英文名称:Alanine
产品货号:BP1825
产品规格:约100mg/瓶
本品为丙氨酸化学对照品,含量以C3H7NO2计为100.0%,供氨基酸鉴别及含量测定使用。
CAS号:56-41-7
分子式:C3H7NO2
分子量:89.09
包装:棕色西林瓶
规格:约100mg/瓶
储存条件:避光,密封保存
除了丙氨酸,,我公司还供应以下相关产品:
名称:曲匹地尔
货号:BP0347
规格:50mg
名称:替加氟
货号:BP0368
规格:50mg
本品为替加氟化学对照品,供含量测定用。
分子式:C8H9FN2O3
分子量:200.17
CAS号:17902-23-7
包装及装量:棕色小瓶装,每支约50毫克。
储存条件:遮光,密闭保存。
注意事项:105℃干燥2小时后使用,避光操作。
名称:盐酸格拉司琼
货号:BP0425
规格:100mg/支
本品为盐酸格拉司琼化学对照品,使用前不需干燥处理,供含量测定用,按C18H24N4O·HCl计,含量为99.8%。
分子式:C18H24N4O·HCl
分子量:348.87
CAS号:107007-99-8
包装及装量:棕色西林瓶装,每支约100mg。
储存条件:遮光,密封保存。
名称:左旋奥硝唑
货号:BP0665
规格:100mg
名称:反式帕罗西汀
货号:BP0831
规格:50mg
本品为反式帕罗西汀化学对照品,供HPLC法系统适用性试验用。
分子式:C19H20FNO3
分子量:329.37
包装及装量:棕色小瓶装,每支约50毫克。
储存条件:遮光,密封保存。
注意事项:使用前不需干燥处理。
名称:盐酸多巴酚丁胺杂质
货号:BP0863
规格:50mg
名称:碘佛醇杂质Ⅱ
货号:BP0944
规格:50mg/支
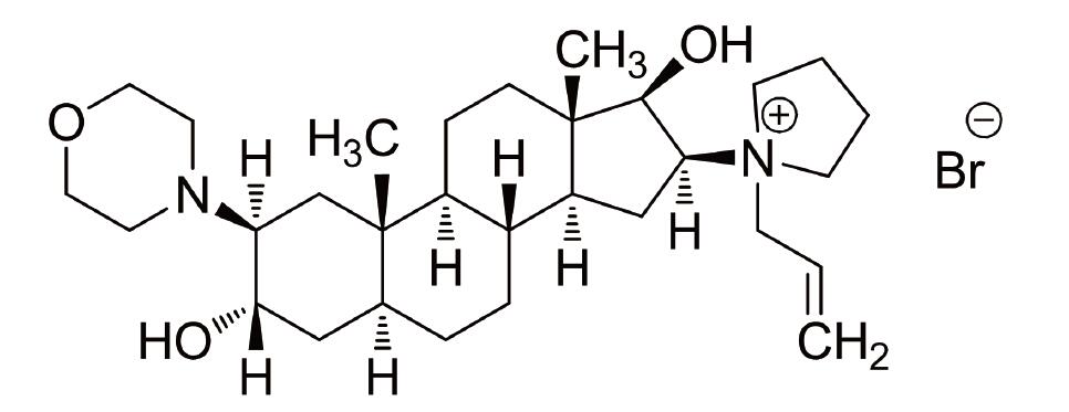
名称:罗库溴铵杂质I
货号:BP0969
规格:20毫克/支"
名称:罗库溴铵杂质V
货号:BP0973
规格:约20毫克/支
本品为罗库溴铵杂质V化学对照品,使用前不需干燥处理,供HPLC法系统适用性试验用。
CAS号:119302-86-2
分子式:C30H51BrN2O3
分子量:567.64
结构式:
包装:棕色西林瓶
规格:约20毫克/支
储存条件:遮光,2-8℃保存
名称:5-甲基蜂蜜曲霉素
货号:BP1404
规格:10mg
本品为5-甲基蜂蜜曲霉素化学对照品,供相关物质鉴别用。
分子式:C11H12O3
分子量:192.21
包装及装量:棕色瓶。
储存条件:干燥避光保存。
名称:去甲氧基姜黄素
货号:BP1530
规格:约20mg/支
本品为去甲氧基姜黄素化学对照品,供含量测定用,含量以98.5%计,使用前不需干燥处理。
CAS号:22608-11-3
分子式:C20H18O5
分子量:338.35
结构式:
包装:棕色瓶
装量:约20mg/支
储存条件:冷处(2~10℃)
名称:甲磺酸加替沙星
货号:BP1679
规格:100mg
本品为甲磺酸加替沙星化学对照品,供红外鉴别用,使用前不需干燥处理。
CAS号:160738-57-8
分子式:C19H22FN3O4·CH3SO3H
分子量:471.50
包装:棕色安瓿
规格:约100毫克/支
储存条件:2-8℃保存
名称:抗甲状腺球蛋白抗体
货号:BP1949
规格:支
本品为抗甲状腺球蛋白抗体免疫测定用标准品,以人血清为原料制备,供抗甲状腺球蛋白抗体免疫分析使用,适用于酶联免疫法、化学发光、时间分辨免疫荧光等方法。
性状:白色冻干粉末
包装:白色安瓿瓶
规格:每支安瓿内含抗甲状腺球蛋白抗体血清约500µL,本品为冻干品。
特性量值:溯源至抗甲状腺球蛋白抗体国际标准品(NIBSC65/093),经协作标定,每支安瓿内抗甲状腺球蛋白抗体免疫活性为3600IU。
使用方法和要求:建议使用时以1.0mL蒸馏水将内容物完全溶解,充分混合后使用。建议溶解后一次性使用。
储存条件:-20℃,避免反复冻融。
名称:盐酸托烷司琼β-异构体
货号:BP2150
规格:50mg/支
本品为盐酸托烷司琼β-异构体化学对照品,供HPLC法β-异构体检查用,使用前不需干燥处理,按C17H20N2O2·HCl计,含量为97.0%。
分子式:C17H20N2O2·HCl
分子量:320.81
包装:棕色安瓿瓶装
装量:每支约50mg
储存条件:遮光,密封保存
风险提示:丁香通仅作为第三方平台,为商家信息发布提供平台空间。用户咨询产品时请注意保护个人信息及财产安全,合理判断,谨慎选购商品,商家和用户对交易行为负责。对于医疗器械类产品,请先查证核实企业经营资质和医疗器械产品注册证情况。
文献和实验苯丙氨酸羟化酶 phenylalanine hydroxylase
也称苯丙氨酸 -4-单加氧酶,是一种由苯丙氨酸形成的酪氨酸加氧酶。 EC1. 14. 16. 1需要蝶啶作为辅酶,广泛存在于生物中,在动物是存在于肝脏内。在反应过程中,必须与第二二氢蝶啶的还原反应相偶联地进行。反应是特异的,但色氨酸在某种程度上也有 苯丙氨酸 O2 四氢蝶啶 酩氨酸 二氢蝶啶 H2 O 二氢蝶啶 NADPH+ H 四氢蝶啶 NADP 作用,四氢蝶啶在某种程度上可用蝶啶代替。苯丙酮酸尿症是由于缺乏此酶引起
H2 NCH2 CH2 COOH。β -氨基酸的一种。虽然在蛋白质的水解物中尚未发现,但与组氨酸等结合形成肌肽。鹅肌肽则存在于动物肌肉中,是尿嘧啶的分解产物。此外,它也是组成泛酸、 CoA等的成分,这在生物学上是很重要的。在豆科植物的根瘤中以游离状态存在,在茶叶、哺乳类的脑水解物中也存在。天冬氨酸经细菌的天冬氨酸脱羧酶的作用下脱羧可生成β -丙氨酸。
芳香族α -氨基酸之一,在各种蛋白质中, L-型化合物约含 2— 5%(卵蛋白中含 5.4%,脱脂乳中含 5.1%)。 D-型苯丙氨酸存在于多肽抗菌物质的短杆菌肽 S、酪氨酸杆菌肽、枯草杆菌肽等的成分中,但在蛋白质中不含有 D-型化合物。是必需氨基酸之一,与 L, D化合物都有效。在生物体内分解(在动物仅于肝脏中进行)时,不可逆地被羟基化形成酪氨酸,以后进入酪氨酸代谢途径。苯丙酮酸尿症是不能向酪氨酸方向代谢的先天性代谢异常,在这种情况下,可变成苯丙酮酸。(苯乙酸排于尿中。苯丙氨酸
技术资料暂无技术资料 索取技术资料









