相关产品推荐更多 >
万千商家帮你免费找货
0 人在求购买到急需产品
- 详细信息
- 文献和实验
- 技术资料
- 库存:
270
- 英文名:
beta-Asarone
- CAS号:
5273-86-9
- 保质期:
长期
- 供应商:
北京百奥莱博科技有限公司
- 规格:
20mg
特别提示:包括β-细辛醚在内,本公司的所有产品仅可用于科研实验,严禁用于临床医疗及其他非科研用途!
产品名称:β-细辛醚
英文名称:beta-Asarone
产品货号:BP1539
产品规格:20mg
本品为β-细辛醚化学对照品,供含量测定用,含量以96.8%计,使用前不需干燥处理。
CAS号:5273-86-9
分子式:C12H16O3
分子量:208.11
结构式:
包装:棕色安瓿瓶
规格:约20mg/支
储存条件:冷冻保存
除了β-细辛醚,,我公司还供应以下相关产品:
名称:酮康唑
货号:BP0234
规格:100mg
本品为酮康唑的化学对照品,供鉴别、检查和含量测定用,使用前不需要干燥处理。
储存条件:置5℃以下条件低温避光保存。启开安瓿后严密保持干燥以防吸水。
使用方法:精密称取适量,按质量标准所规定的方法,配制至所需浓度的对照品溶液,立即使用。
名称:丹蒽醌
货号:BP0314
规格:100mg
名称:培美曲塞二钠D-异构体
货号:BP0681
规格:30mg
本品为培美曲塞二钠D-异构体二倍半水合物供检查用。按C20H19N5Na2O6·2.5H2O计,含量为90.8%。
分子式:C20H19N5Na2O6·2.5H2O
分子量:516.41
包装及装量:棕色安瓿瓶装,每支约30毫克
储存条件:遮光,密封,在2~8℃保存
注意事项:使用前不需干燥处理。
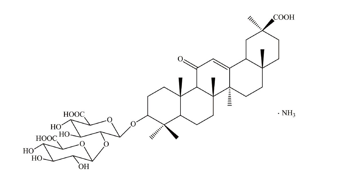
名称:甘草酸铵
货号:BP1036
规格:20mg/支
本品为甘草酸铵化学对照品,供含量测定用,含量93.0%,使用前不需干燥处理。
CAS号:53956-04-0
分子式:C42H65NO16
分子量:839.96
结构式:
包装:棕色安瓿瓶
规格:约20mg/支
储存条件:冷处(2-10℃)保存
注意事项:本品有引湿性,建议打开包装一次性使用完。
名称:二氢辣椒素
货号:BP1276
规格:20mg/支
本品为二氢辣椒素化学对照品,供含量测定用。含量以98.5%计。
CAS号:19408-84-5
分子式:C18H29NO3
分子量:307.40
结构式:
包装及装量:棕色瓶,约20mg/支
储存条件:干燥密闭保存
注意事项:使用前置五氧化*磷中减压干燥12小时。
名称:舍雷肽酶
货号:BP1840
规格:25mg
本品为舍雷肽酶化学对照品,供舍雷肽酶鉴别用。
包装:棕色小瓶
规格:每支25mg
储存条件:密封保存。
名称:脱氧核糖腺嘌呤核苷酸钠(A)
货号:BP1852
规格:20mg/瓶
本品为脱氧核糖腺嘌呤核苷酸钠化学对照品,含量以脱氧核糖腺嘌呤核苷酸计为94.7%。供脱氧核苷酸鉴别及含量测定用。
分子式:C10H14N5O6P
分子量:331.22
结构式:
包装:棕色瓶
装量:约20mg/支
储存条件:-20℃低温保存
注意事项:使用前不需干燥。
风险提示:丁香通仅作为第三方平台,为商家信息发布提供平台空间。用户咨询产品时请注意保护个人信息及财产安全,合理判断,谨慎选购商品,商家和用户对交易行为负责。对于医疗器械类产品,请先查证核实企业经营资质和医疗器械产品注册证情况。
文献和实验多聚-β-羟丁酸poly-β-hydroxybutyricacid
几种芽孢杆菌属(Bacillus),假单胞菌属(Pseudomonas)、螺菌属(Spirillum)、固氮菌属(Azotobacter)以及其他许多种细菌在菌体内制造的贮藏物质。 在光学显微镜下可以因折光或呈颗粒状而被观察到,并可用苏丹黑染色。在细菌中作为代替油脂贮藏物,而合成此化合物。一般在培养基中氮源缺乏而碳源多的条件下合成,如果供给氮化合物,水解成单体的β-羟丁酸后,经过乙酰乙酸、乙酰CoA,被利用来合成生物体内各种成分
眉眉 有做β-arrestin2的吗?希望跟你学习学习,给我发悄悄话,谢谢! shanshanhu1986 我就在做,悲催 amygdala 博士期间的课题就是关于这个的 叶子doctor 有做关于β-arrestin2免疫组化的吗?求助 本文由丁香园论坛提供,想了解更多有用的、有意思的前沿资讯以及酷炫的实验方法的你,都可以成为师兄
人 β-内啡肽 ( β- EP) 酶联免疫 分析( ELISA ) 试剂 盒使用说明书 本试剂仅供研究使用 目的:本试剂盒用于测定人血清,血浆及相关液体样本中 β-内啡肽(β-EP) 的 含量。 实验原理 : 本试剂盒应用双抗体夹心法测定 标本 中 人 β-内啡肽 ( β- EP) 水平。用纯化的 人 β-内啡肽 ( β- EP) 抗体包被微孔板,制成固相抗体,往包被单抗的微孔中依次加入 β-内啡肽
技术资料暂无技术资料 索取技术资料










