相关产品推荐更多 >
万千商家帮你免费找货
0 人在求购买到急需产品
- 详细信息
- 技术资料
- 库存:
278
- 英文名:
Trapidil
- 保质期:
长期
- 供应商:
北京百奥莱博科技有限公司
- 保存条件:
冷藏
- 规格:
50mg
特别提示:包括曲匹地尔在内,本公司的所有产品仅可用于科研实验,严禁用于临床医疗及其他非科研用途!
产品名称:曲匹地尔
英文名称:Trapidil
产品货号:BP0347
产品规格:50mg
除了曲匹地尔,,我公司还供应以下相关产品:
名称:酒石酸美托洛尔
货号:BP0071
规格:100mg
本品为酒石酸美托洛尔(MetoprololTartrate)的化学对照品,供含量测定用。60℃减压干燥4小时后使用。供含量测定,按(C15H25NO3)2·C4H6O6计,含量为99.9%。
分子式:(C15H25NO3)2·C4H6O6
分子量:684.82
CAS号:56392-17-7
包装及装量:棕色小瓶装,每支约100毫克。
储存条件:遮光,密封保存。
注意事项:60℃减压干燥4小时后使用。
名称:双氯芬酸钠
货号:BP0269
规格:100mg
名称:洛索洛芬钠
货号:BP0492
规格:50毫克/支
本品为洛索洛芬钠化学对照品,供含量测定用,使用前不需干燥处理,供HPLC法测定,按C15H17NaO3计,含量为88.0%。
CAS号:80382-23-6
分子式:C15H17NaO3·2H2O
分子量:304.32
包装:棕色西林瓶
规格:约50毫克/支
储存条件:遮光,密闭,10~30℃保存。
名称:盐酸塞利洛尔
货号:BP0617
规格:100mg
名称:东莨菪内酯
货号:BP1065
规格:20mg
本品为东莨菪内酯化学对照品,供鉴别或含量测定用。
分子式:C10H8O4
分子量:192.17
结构式:
包装:棕色瓶
规格:约20mg
储存条件:干燥密闭保存。
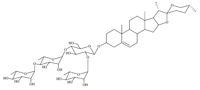
名称:重楼皂苷II
货号:BP1228
规格:20mg/支
本品为重楼皂苷II化学对照品,供含量测定用,含量以91.4%计,使用前不需干燥处理。
CAS号:76296-72-5
分子式:C51H82O20
分子量:1015.18
结构式:
包装:棕色安瓿瓶。
规格:约20mg/支。
储存条件:冷冻保存。
名称:丝氨酸
货号:BP1831
规格:100mg/瓶
本品为丝氨酸化学对照品,含量为100.0%,供氨基酸鉴别、检查及含量测定用。
分子式:C3H7NO3
分子量:105.09
结构式:
包装:棕色瓶
装量:约100mg/支
储存条件:密封、避光常温保存
注意事项:使用前不需干燥处理。
名称:邻苯二*酸二环己酯
货号:BP2180
规格:100mg
本品为邻苯二*酸二环己酯化学对照品,供HPLC法和GC法含量测定用,按C20H26O4计,含量为99.8%,使用前不需干燥处理。
CAS号:84-61-7
分子式:C20H26O4
分子量:330.42
包装及装量:棕色西林瓶装,每支约100毫克。
储存条件:遮光,密封保存。
风险提示:丁香通仅作为第三方平台,为商家信息发布提供平台空间。用户咨询产品时请注意保护个人信息及财产安全,合理判断,谨慎选购商品,商家和用户对交易行为负责。对于医疗器械类产品,请先查证核实企业经营资质和医疗器械产品注册证情况。
技术资料暂无技术资料 索取技术资料
曲匹地尔
¥380 - 3800










