相关产品推荐更多 >
万千商家帮你免费找货
0 人在求购买到急需产品
- 详细信息
- 文献和实验
- 技术资料
- 库存:
224
- 英文名:
Clopidogrel Impurity III
- CAS号:
120202-71-3
- 保质期:
长期
- 供应商:
北京百奥莱博科技有限公司
- 规格:
50mg/支
特别提示:包括氯吡格雷杂质III在内,本公司的所有产品仅可用于科研实验,严禁用于临床医疗及其他非科研用途!
产品名称:氯吡格雷杂质III
英文名称:Clopidogrel Impurity III
产品货号:BP2166
产品规格:50mg/支
本品为氯吡格雷杂质III化学对照品,供HPLC法测定,按C16H18ClNO6S2计,含量为100%,使用前不需干燥处理。
CAS号:120202-71-3
分子式:C16H18ClNO6S2
分子量:419.90
包装:棕色西林瓶
装量:约50mg/支
储存条件:遮光,密封保存。
除了氯吡格雷杂质III,,我公司还供应以下相关产品:
名称:甲氧*林
货号:BP0344
规格:100mg
名称:西吡氯铵
货号:BP0444
规格:300mg
本品为西吡氯铵化学对照品,供含量测定用。临用前自测水分,供HPLC法测定,按C21H38ClN计,含量为99.9%。
分子式:C21H38ClN
分子量:358.01
CAS号:6004-24-6
包装及装量:棕色安瓿瓶装,每支约300毫克。
储存条件:遮光,熔封保存。
注意事项:临用前自测水分。
名称:盐酸二甲*林
货号:BP0530
规格:100mg
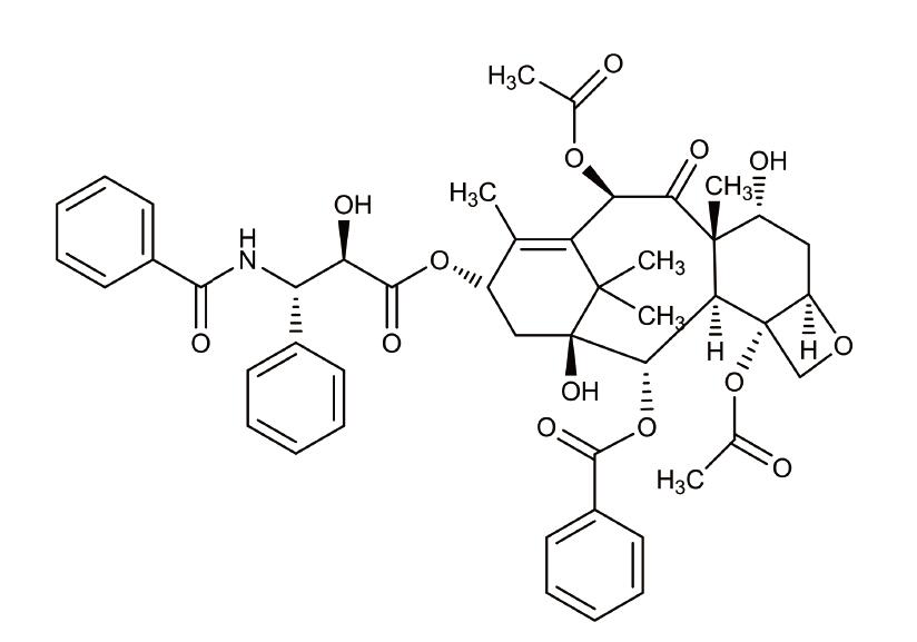
名称:7-表-紫杉醇(紫杉醇杂质III)
货号:BP0701
规格:20mg/支
本品为7-表-紫杉醇(紫杉醇杂质III)化学对照品,供HPLC法系统适用性试验用,使用前不需干燥处理。
CAS号:105454-04-4
分子式:C47H51NO14
分子量:853.91
结构式:
包装:棕色西林瓶。
规格:约20毫克/支。
储存条件:遮光,密封保存。
名称:*酸炔诺酮
货号:BP0735
规格:100mg
名称:N-乙酰氨基葡萄糖
货号:BP0748
规格:100mg
本品为N-乙酰氨基葡萄糖化学对照品,供含量测定用,供HPLC法测定,按C8H15NO6计,含量为99.9%。
CAS号:7512-17-6
分子式:C8H15NO6
分子量:221.21
包装及装量:棕色小瓶装,每支约100毫克。
储存条件:遮光,密闭保存。
注意事项:使用前不需干燥处理。
名称:氢溴*后马托品
货号:BP0830
规格:100mg
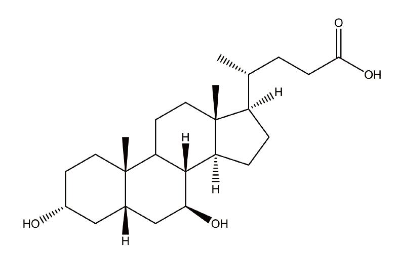
名称:熊去氧胆酸
货号:BP1052
规格:约20mg/支
本品为熊去氧胆酸化学对照品,供鉴别或含量测定用,含量99.4%。置五氧化*磷干燥器中减压干燥12小时后使用。
CAS号:128-13-2
分子式:C24H40O4
分子量:392.57
结构式:
包装:棕色安瓿
装量:约20mg/支
储存条件:冷处(2-10℃)保存
名称:月见草油
货号:BP1271
规格:0.2ml
名称:山栀苷甲酯
货号:BP1423
规格:20mg
本品为山栀苷甲酯化学对照品,供TLC鉴别或HPLC含量测定用,含量以98.3%计。
分子式:C17H26O11
分子量:406.38
包装及装量:棕色安瓿瓶,每支约20毫克。
储存条件:室温干燥保存。
注意事项:使用前无需处理,本品有引湿性,打开包装后一次使用完毕。
名称:808猩红
货号:BP1478
规格:10mg/支
本品为808猩红化学对照品。
CAS号:3789-75-1
分子式:C23H17N3O2
分子量:367.13
结构式:
包装:棕色瓶
装量:约10mg/支
储存条件:冷处(2-10℃)保存
名称:鞣花酸
货号:BP1492
规格:20mg/支
本品为鞣花酸化学对照品,供含量测定用,含量以89.3%计,使用前不需干燥处理。
CAS号:476-66-4
分子式:C14H6O8
分子量:302.01
结构式:
包装:棕色安瓿瓶
规格:约20mg/支
储存条件:冷冻、密闭遮光保存
名称:氯霉素
货号:BP1551
规格:100mg
本品为氯霉素标准品,供抗生素微生物效价测定用,使用前不需干燥处理。
CAS号:56-75-7
分子式:C11H12Cl2N2O5
分子量:323.13
结构式:
包装:棕色安瓿
规格:约100毫克/支
储存条件:2-8℃保存
名称:诺氟沙星
货号:BP1622
规格:100mg
本品为诺氟沙星化学对照品,供诺氟沙星品种含量测定用,含量以诺氟沙星(C16H18FN3O3)计,使用前不需干燥处理。
使用方法:按相关质量标准溶解并稀释至所需浓度,立即使用。
储存条件:置4℃以下低温避光保存。
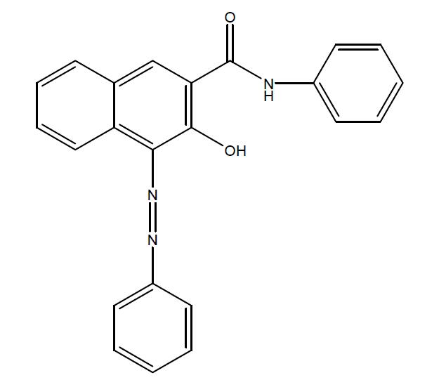
名称:伊曲康唑杂质E
货号:BP1760
规格:30mg/支
本品为伊曲康唑杂质E化学对照品,供伊曲康唑原料及其制剂HPLC法有关物质检查用,以伊曲康唑杂质E(C35H38Cl2N8O4)计,含量为97.1%。使用前不需干燥处理。
CAS号:252964-65-1
分子式:C35H38Cl2N8O4
分子量:704.2
结构式:
包装:棕色安瓿
规格:30mg/支
储存条件:常温遮光保存
名称:乙酰磷酸二锂盐
货号:BP1786
规格:300mg/瓶
本品为乙酰磷酸二锂盐标准试剂,供辅酶A效价测定用。
包装:7ml西林瓶轧铝盖
装量:约300mg/支。
储存条件:密封,4℃保存
注意事项:使用前不需干燥处理
名称:甘氨酸
货号:BP1832
规格:约100mg/瓶
本品为甘氨酸化学对照品,含量以C2H5NO2计为100.0%,供氨基酸鉴别及含量测定使用。
CAS号:56-40-6
分子式:C2H5NO2
分子量:75.07
包装:棕色西林瓶
规格:约100mg/瓶
储存条件:避光,密封保存
名称:Xa因子(FXa)
货号:BP1915
规格:71nkat/支
本品为Xa因子试剂,供肝素、低分子肝素抗Xa因子效价测定使用
CAS号:9002-05-5
分子量:约44KDa
来源:牛源
包装:透明玻璃瓶
规格:约71nkat/瓶
储存条件:2~8℃
名称:阿糖腺苷
货号:BP1923
规格:约20mg/瓶
本品为阿糖腺苷化学对照品,供腺嘌呤TLC鉴别系统适用性试验用。
CAS号:5536-17-4
分子式:C10H13N5O4
分子量:267.24
包装:棕色西林瓶。
规格:约20mg/瓶。
储存条件:-20℃保存。
注意事项:本品有引湿性,开封后一次性尽快使用。
名称:胰高血糖素(Glu)
货号:BP1947
规格:19μIU/19ng/支
本品为胰高血糖素免疫测定用标准品,以高纯猪胰高血糖素为原料制备,供胰高血糖素免疫分析使用,适用于化学发光、时间分辨免疫荧光等方法。
性状:白色冻干粉末
包装:白色安瓿瓶
规格:每支安瓿内为0.8ml 含胰高血糖素22.22ng/ml、人血清白蛋白(HSA)1mg、溶菌酶217IU/ml、0.02mol/L 的磷酸盐缓冲液的冻干物。
特性量值:溯源至胰高血糖素国际标准品(IRP 69/194),经协作标定,每支安瓿内含胰高血糖素19μIU 或19ng。
使用方法和要求:建议使用时以含0.5-1 %的人血清白蛋白(HSA)或牛血清白蛋白(BSA)的10mM磷酸盐缓冲液(pH=7.2-7.4)或其他含蛋白的中性缓冲体系将内容物完全溶解,充分混合后使用。
储存条件:长期保存应置于-20℃以下,避免反复冻融。
名称:花生酸甲酯
货号:BP2006
规格:50mg
本品为花生酸甲酯化学对照品,供大豆油、氢化大豆油、橄榄油、山嵛酸甘油酯、氢化蓖麻油等品种脂肪酸组成检查用。
CAS号:1120-28-1
分子式:C21H42O2
分子量:326.56
包装及装量:棕色西林瓶装,每支约50毫克
储存条件:遮光、密封,在阴凉处保存。
注意事项:使用前不需干燥处理。
名称:阿托伐他汀钙杂质A
货号:BP2167
规格:30mg/支
本品为阿托伐他汀钙杂质A化学对照品,供HPLC法检查用,以C66H70CaN4O10计,含量为91.0%,使用前不需干燥处理。
CAS号:433289-83-9
分子式:C66H70CaN4O10
分子量:1119.38
结构式:
包装:棕色安瓿瓶。
规格:约30毫克/支。
储存条件:2-8℃保存。
注意事项:本品具有引湿性,建议打开包装一次性使用完。
风险提示:丁香通仅作为第三方平台,为商家信息发布提供平台空间。用户咨询产品时请注意保护个人信息及财产安全,合理判断,谨慎选购商品,商家和用户对交易行为负责。对于医疗器械类产品,请先查证核实企业经营资质和医疗器械产品注册证情况。
文献和实验并洗脱到不同的组分中。 图8 凝胶过滤层析流程 (A)电子显微镜下的填料颗粒放大图。(B)样品中不同分子进入填料不同孔的示意图。(C) 分离过程的描述 (i)上样到层析柱;(ii)最小的分子(黄色)比最大的分子(深橘色)相比在层析柱上延迟更多;(iii)最大的分子最早被从层析柱上洗脱。样品在层析过程中被明显的稀释。(D)层析图谱示意图。 适用性 组群分离:可以从一组较大的分子中去除小分子,或者快速、简单地进行缓冲液置换, 上样体积一般小于30%CV(Column Volume,柱体
一、实验原理 DNA重组技术的第一步是从不同来源的DNA上将待克隆的DNA片段特异性切下,同时在载体DNA分子(一般为质粒DNA)上打开相应的缺口,然后将两者连接成重组DNA分子。这一特异性的切割过程常由特定的限制性核酸内切酶来完成。 目前在细菌中发现有600多种限制性核酸内切酶,根据其性质的不同可分为三大类,分别为I、II和III类:I类酶识别部位和切点不同,切断部位不定;III类酶的识别部位和切点不同
只是部分复性,相互交织成不溶性的网状结构,与细胞碎片、部分蛋白质和大分子量的RNA一起沉淀,并可通过离心除去。而环状的质粒DNA可以完全复性,溶解于上清中,从而达到初步分离的目的。 采用改进SDS-碱裂解法裂解细胞,离心吸附柱内的硅基质膜在高盐、低pH值状态下选择性地结合溶液中的质粒DNA,再通过漂洗液将杂质和其他细菌成分去除,最后以低盐、高pH值的洗脱缓冲液将纯净质粒DNA从硅基质膜上洗脱。 操作步骤 1.取1.5ml过夜培养的菌液,12000 rpm,离心30
技术资料暂无技术资料 索取技术资料










