相关产品推荐更多 >
万千商家帮你免费找货
0 人在求购买到急需产品
- 详细信息
- 文献和实验
- 技术资料
- 库存:
361
- 英文名:
Calceolarioside B
- CAS号:
105471-98-5
- 保质期:
长期
- 供应商:
北京百奥莱博科技有限公司
- 规格:
约20mg/支
特别提示:包括木通苯乙醇苷B在内,本公司的所有产品仅可用于科研实验,严禁用于临床医疗及其他非科研用途!
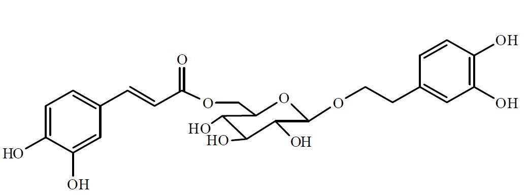
产品名称:木通苯乙醇苷B
英文名称:Calceolarioside B
产品货号:BP1452
产品规格:约20mg/支
本品为木通苯乙醇苷B化学对照品,供鉴别和含量测定用,含量以98.2%计,使用前不需干燥处理。
CAS号:105471-98-5
分子式:C23H26O11
分子量:478.45
结构式:
包装:棕色安瓿瓶
规格:约20毫克/支
储存条件:冷冻保存
注意事项:本品有引湿性,打开包装后一次使用完毕。
除了木通苯乙醇苷B,,我公司还供应以下相关产品:
名称:醋酸氟氢可的松
货号:BP0009
规格:100mg
名称:4-N-去甲基安乃近
货号:BP0048
规格:100mg
本品为4-N-去甲基安乃近(4-N-Demethylanalgin)。供HPLC系统适用性用。
分子式:C12H14N3NaO4S
分子量:319.31
包装及装量:棕色小瓶装,每支约100毫克。
储存条件:遮光,密封保存。
注意事项:使用前不需干燥处理。
名称:地塞米松
货号:BP0103
规格:100mg/瓶
本品为地塞米松的化学对照品,供HPLC法鉴别和含量测定用。本品105℃干燥2小时后使用,以C22H29FO5计,含量为99.8%。
分子式:C22H29FO5
分子量:392.47
CAS号:50-02-2
包装:棕色西林瓶
规格:约100毫克/支
储存条件:密闭避光保存
注意事项:本品配制成溶液后不稳定,应临用临配,避免长时间室温放置。
名称:氟他胺
货号:BP0460
规格:100mg
本品为氟他胺化学对照品,供HPLC法鉴别和含量测定用,使用前不需干燥处理,以C11H11F3N2O3计,含量为99.8%。
CAS号:13311-84-7
分子式:C11H11F3N2O3
分子量:276.21
结构式:
包装及装量:棕色西林瓶,每支约100毫克。
储存条件:常温遮光,密闭保存。
名称:蒿甲*杂质II
货号:BP0937
规格:50mg
本品为蒿甲*杂质II化学对照品,供检查用,以C14H22O3计,含量为100%,使用前不需干燥处理。
分子式:C14H22O3
分子量:238.32
包装:棕色安瓿瓶
规格:约50毫克/支
储存条件:遮光,2-8℃保存
名称:粉防己碱
货号:BP1020
规格:20mg/支
本品为粉防己碱化学对照品,供鉴别和含量测定用,使用前不需干燥处理。含量99.2%。
分子式:C38H42N2O6
分子量:622.75
结构式:
包装:棕色安瓿瓶
规格:约20mg/支
储存条件:冷处(2~10℃)保存
名称:L-酪氨酸
货号:BP1219
规格:100mg/支
本品为L-酪氨酸化学对照品,供相关物质鉴别用。
分子式:C9H11NO3
分子量:181.19
包装及装量:棕色瓶。
储存条件:干燥密闭保存。
名称:山栀苷甲酯
货号:BP1423
规格:20mg
本品为山栀苷甲酯化学对照品,供TLC鉴别或HPLC含量测定用,含量以98.3%计。
分子式:C17H26O11
分子量:406.38
包装及装量:棕色安瓿瓶,每支约20毫克。
储存条件:室温干燥保存。
注意事项:使用前无需处理,本品有引湿性,打开包装后一次使用完毕。
名称:灰黄霉素
货号:BP1611
规格:200mg
本品为灰黄霉素化学对照品,供含量测定用,含量以灰黄霉素C17H17ClO6计,使用前不需干燥处理。
CAS号:126-07-8
分子式:C17H17ClO6
分子量:352.77
结构式:
包装:白色安瓿
规格:约100毫克/支
储存条件:2-8℃保存
名称:环孢素系统适用性对照品
货号:BP1710
规格:50mg/支
本品为环孢素系统适用性对照品。
标准图谱:
名称:脱氧核糖胞嘧啶核苷酸钠(C)
货号:BP1851
规格:20mg/瓶
本品为脱氧核糖胞嘧啶核苷酸钠化学对照品,含量为90.3%,供脱氧核苷酸鉴别及含量测定用。
分子式:C9H12N3O7PNa2
分子量:351.16
结构式:
包装:棕色瓶
装量:约20mg/支
储存条件:-20℃保存
注意事项:使用前不需干燥。
名称:2’,3’-二去氧-2’,3’-二去氢肌苷
货号:BP1909
规格:5mg/支
本品为2",3"-二去氧-2",3"-二去氢肌苷化学对照品,供去羟肌苷有关物质检查使用。
CAS号:42867-68-5
分子式:C10H10N4O3
分子量:234.21
包装:棕色安瓿
规格:约5mg/支
储存条件:4℃
名称:羟苯苄酯
货号:BP2034
规格:200mg/瓶
本品为羟苯苄酯化学对照品,供含量测定用,以C14H12O3计,含量为99.4%,使用前不需干燥处理。
CAS号:94-18-8
分子式:C14H12O3
分子量:228.25
包装:棕色西林瓶
规格:约200mg
储存条件:遮光、常温保存。
注意事项:建议打开包装一次性使用完。
名称:白凡士林
货号:BP2047
规格:500mg/支
本品为白凡士林化学对照品,供白凡士林品种红外光吸收图谱鉴别用。
CAS号:8009-03-8
包装:棕色安瓿
规格:约500mg/瓶
储存条件:遮光、常温保存。
名称:蔗糖八醋酸酯
货号:BP2061
规格:500mg/瓶
本品为蔗糖八醋酸酯化学对照品,仅供蔗糖八醋酸酯红外鉴别和含量测定用,使用前不需干燥处理,以C28H38O19计,含量为98.9%。
CAS号:126-14-7
分子式:C28H38O19
分子量:678.59
包装:棕色西林瓶
规格:约500mg/瓶
储存条件:遮光、常温保存。
名称:可压性蔗糖
货号:BP2091
规格:200mg
本品为可压性蔗糖化学对照品,仅供可压性蔗糖品种项下红外光吸收图谱鉴别用对照品,使用前不需干燥处理。
包装:棕色西林瓶
规格:约200mg/支
储存条件:遮光、常温保存。
名称:pH标准缓冲粉剂(pH=12.45)
货号:GL2898
规格:1L
用途:
校正pH计或酸度计
注意事项:
该pH值是指在25℃条件下的值,误差范围在0.01,注意密闭保存。
储存条件:室温,24个月
风险提示:丁香通仅作为第三方平台,为商家信息发布提供平台空间。用户咨询产品时请注意保护个人信息及财产安全,合理判断,谨慎选购商品,商家和用户对交易行为负责。对于医疗器械类产品,请先查证核实企业经营资质和医疗器械产品注册证情况。
文献和实验过程极不利于DNA 的保存,采用传统的RFLP标记进行遗传分析十分困难,PCR的发明使分子标记技术取得了突破性进展。PCR技术能对微量或高度降解的DNA 样品进行分析,尤适用干燥药材鉴别。中药龟板和鳖甲来源复杂,加之资源急剧下降,市场上出现的混乱品种达15种之多。而其鉴别特征不明显,外观真伪鉴别十分困难。我国南京师范大学王亚明等从保存9年以上的药材龟板和鳖甲中提取出DNA ,并用细胞色素b基因片断的通用引物对L 14724和H 15149(引物间距长约500 bp),通过PCR扩增到了长约500
。 B 超诊断前列腺炎可靠吗 ? 前列腺炎的诊断主要依据病史、直肠指诊及前列腺液检查即可确诊。但在某些情况下不愿做或无条件做这些检查时,亦可采用 B 超检查作为前列腺炎诊断的辅助依据。 急性前列腺炎在 B 超图像上有三个主要特征: (1) 尿道周围有低回声晕。 (2) 腺实质回声不均匀,出现多个低回声区。 (3) 前列腺周围因前列腺静脉丛充血、肿胀,出现无回声
技术资料暂无技术资料 索取技术资料










