相关产品推荐更多 >
万千商家帮你免费找货
0 人在求购买到急需产品
- 详细信息
- 技术资料
- 库存:
117
- 英文名:
Etimicin
- CAS号:
362045-44-1
- 保质期:
长期
- 供应商:
北京百奥莱博科技有限公司
- 保存条件:
2-8℃
- 规格:
200mg
特别提示:包括依替米星在内,本公司的所有产品仅可用于科研实验,严禁用于临床医疗及其他非科研用途!
产品名称:依替米星
英文名称:Etimicin
产品货号:BP1689
产品规格:200mg
本品为依替米星化学对照品,供含量测定用,含量以依替米星C21H43N5O7计,使用前不需干燥处理。
CAS号:362045-44-1
分子式:(C21H43N5O7)2·5H2SO4
分子量:1445.58
包装:白色安瓿
规格:约200毫克/支
储存条件:2-8℃保存
除了依替米星,,我公司还供应以下相关产品:
名称:*溴*山莨菪碱
货号:BP0045
规格:50mg/支
本品供UV法含量测定和TLC鉴别用,按C17H23NO4·HBr计,含量为99.3%,使用前不需要干燥处理。
分子式:C17H23NO4·HBr
结构式:
分子量:386.29
CAS号:55449-49-5
包装:棕色安瓿瓶
规格:50mg/支
储存条件:遮光,密封保存
名称:格列本脲杂质Ⅰ
货号:BP0121
规格:50mg
本品为格列本脲杂质Ⅰ,化学名称为4-[2-(5-氯-2-*氧基苯甲酰胺)-乙基]-苯磺酰胺
(5-Chloro-2-methoxy-N-[2-(4-sulphamoylphenyl)ethyl]benzamide)。供检查用。按C16H17ClN2O4S计,含量为100.0%
分子式:C16H17ClN2O4S
分子量:368.84
CAS号:16673-34-0
包装及装量:棕色小瓶装,每支约50毫克。
储存条件:遮光,密闭保存。
注意事项:使用前不需干燥处理。
名称:磷酸伯氨喹杂质I
货号:BP0949
规格:280微克/支
本品为磷酸伯氨喹杂质I(8-[(4-氨基戊基)氨基]-6-甲氧基*啉)化学对照品,供HPLC法系统适用性试验用,使用前不需干燥处理。
CAS号:525-61-1
分子式:C15H21N3O
分子量:259.35
结构式:
杂质IHPLC法系统适用性试验典型色谱图,色谱柱InertsilC8(4.6×75mm,3μ)
包装:棕色西林瓶,充氮。
规格:本品经溶液分装后挥干,并附于瓶底及瓶壁,约280微克/支。
储存条件:遮光,密闭,2-8℃保存。
注意事项:建议本品加入2ml*醇溶解附于瓶底及瓶壁上的样品后(约140μg/ml),再进一步转移稀释使用。
名称:瓜氨酸
货号:BP1146
规格:20mg/支
名称:鸭脚树叶碱
货号:BP1299
规格:20mg
本品为鸭脚树叶碱化学对照品,供含量测定用,含量以98.8%计,置五氧化*磷减压干燥器中干燥12小时后使用。
分子式:C20H22N2O3
分子量:338.41
结构式:
包装:棕色瓶
规格:约20mg/支
储存条件:干燥密闭保存。
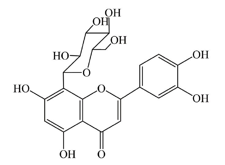
名称:荭草苷
货号:BP1356
规格:20mg
本品为荭草苷化学对照品,供鉴别和含量测定用,含量以97.9%计。
CAS号:28608-75-5
分子式:C21H20O11
分子量:448.38
结构式:
包装及装量:棕色瓶,约20mg/支
储存条件:常温干燥、密闭遮光保存
注意事项:置五氧化*磷减压干燥器中干燥12小时以上后使用。
名称:头孢硫脒
货号:BP1667
规格:100mg
本品为头孢硫脒化学对照品,供高效液相含量测定用,含量以头孢硫脒(C19H28N4O6S2)计,使用前不需要干燥处理。
使用方法:精密称取适量,按规定的方法,配制至所需浓度的对照品溶液,立即使用。
储存条件:置5℃以下条件低温避光保存。启开安瓶后严密保持干燥以防吸水。
名称:红霉素系统适用性对照品
货号:BP1749
规格:100mg
本品为红霉素系统适用性对照品,供HPLC系统适用性试验用,使用前不需干燥处理。
标准图谱:
包装:白色安瓿。
规格:100毫克/支
储存条件:2-8℃保存
名称:醋酸亮丙瑞林
货号:BP1952
规格:20mg/支
本品为醋酸亮丙瑞林化学对照品,供相关物质鉴别用,使用前不需干燥处理,供HPLC法测定,按C59H84N16O12计,含量为89.8%。
CAS号:74381-53-6
分子式:C59H84N16O12·C2H4O2
分子量:1269.46
包装:棕色安瓿装
规格:每支约20毫克。
储存条件:遮光,-20℃,密封保存。
名称:邻苯二甲*二乙酯
货号:BP2016
规格:1ml
本品为邻苯二甲*二乙酯化学对照品,供邻苯二甲*二乙酯品种薄层、红外光吸收图谱鉴别用。
CAS号:84-66-2
分子式:C12H14O4
分子量:222.24
包装:棕色安瓿
规格:约1ml/支
储存条件:遮光、常温保存。
风险提示:丁香通仅作为第三方平台,为商家信息发布提供平台空间。用户咨询产品时请注意保护个人信息及财产安全,合理判断,谨慎选购商品,商家和用户对交易行为负责。对于医疗器械类产品,请先查证核实企业经营资质和医疗器械产品注册证情况。
技术资料暂无技术资料 索取技术资料
依替米星
¥380 - 3800










