相关产品推荐更多 >
万千商家帮你免费找货
0 人在求购买到急需产品
- 详细信息
- 文献和实验
- 技术资料
- 库存:
125
- 英文名:
Sodium Stibogluconate
- 保质期:
长期
- 供应商:
北京百奥莱博科技有限公司
- 规格:
约2.5g
特别提示:包括葡萄糖酸锑钠在内,本公司的所有产品仅可用于科研实验,严禁用于临床医疗及其他非科研用途!
产品名称:葡萄糖酸锑钠
英文名称:Sodium Stibogluconate
产品货号:BP1928
产品规格:约2.5g
本品为葡萄糖酸锑钠生物标准品,含Sbv量为27.65%,供作葡萄糖酸锑钠制剂毒力试验用。本品为微黄色干燥粉末,熔封于安瓿瓶中。
标准溶液的配制:精密称取本品适量。计算所称标准品的含Sbv 量(称取本品的量乘以含 Sbv 的百分数)配成每毫升相当于约40 毫克Sbv 的标准溶液,以温热的蒸馏水少许(约 10 毫升)将标准品摇匀,在水浴中加热(约70℃)溶解后,放冷,移入 25 毫升量筒中,并用少许蒸馏水将三角瓶内的残液分次洗入,补加蒸馏水至所需的刻度,将此溶液在50℃水浴中加热半小时(应避免溶液蒸发),放冷备用。
储存条件:本品应避光阴凉处保存。
除了葡萄糖酸锑钠,,我公司还供应以下相关产品:
名称:醋酸甲羟孕酮
货号:BP0001
规格:100mg
本品为醋酸甲羟孕酮(MedroxyprogesteroneAcetate)化学对照品,供HPLC法鉴别和含量测定用。本品不需干燥处理,以计C24H34O4,含量为99.6%。
分子式:C24H34O4
分子量:386.53
CAS号:71-58-9
包装及装量:棕色小瓶,每支约100毫克。
储存条件:干燥避光,室温密闭保存。
注意事项:本品不需干燥处理,直接称取,避光操作。
名称:吡哌酸
货号:BP0123
规格:50mg
本品为吡哌酸的三水合物(Pipemidic Acid)的化学对照品,供UV法含量测定用,按C14H17N5O3计,含量为83.6%。
分子式:C14H17N5O3·3H2O
分子量:357.36
CAS号:51940-44-4
包装及装量:棕色小瓶装,每支约50毫克。
储存条件:密封保存。
名称:左旋多巴
货号:BP0137
规格:50mg
本品为左旋多巴(Levodopa)化学对照品。供HPLC法含量测定用。
分子式:C9H11NO4
分子量:197.19
CAS号:59-92-7
包装及装量:棕色小瓶装,每支约100毫克。
储存条件:遮光,密闭保存。
注意事项:105℃干燥2小时后使用。避光操作。
名称:甘露醇
货号:BP0409
规格:300mg
本品为D-甘露糖醇化学对照品,按C6H14O6计,供HPLC法测定,含量为99.0%。
分子式:C6H14O6
分子量:182.17
CAS号:69-65-8
包装及装量:棕色西林瓶装,每支约300毫克。
储存条件:密封,置阴凉处保存。
注意事项:使用前不需干燥处理。
名称:甲磺酸多沙唑嗪
货号:BP0432
规格:100mg
本品为甲磺酸多沙唑嗪化学对照品,供含量测定用,105℃干燥2小时后使用。
CAS号:77883-43-3
分子式:C23H25N5O5·CH3SO3H
分子量:547.59
包装及装量:棕色小瓶装,每支约100毫克。
保存条件:遮光,密闭保存。
名称:盐酸米安色林
货号:BP0618
规格:100mg
名称:盐酸甲氯芬酯
货号:BP0638
规格:100mg/支
本品为盐酸甲氯芬酯化学对照品,供HPLC法含量测定用,以C12H16ClNO3·HCl计,含量为99.73%,使用前不需干燥处理。
CAS号:3685-84-5
分子式:C12H16ClNO3·HCl
分子量:294.18
包装:棕色安瓿瓶
规格:约100毫克/支
储存条件:遮光,充氮气,密封保存
注意事项:临用新制。本品极具引湿性,在相对湿度60%以下使用,建议打开包装一次性使用完。
名称:阿达帕林
货号:BP0694
规格:100mg
名称:扁桃酸
货号:BP0728
规格:100mg
名称:呫吨酮
货号:BP0875
规格:50mg
本品为呫吨酮化学对照品,化学名为二苯并-γ-吡喃酮,供HPLC法有关物质检查用,按C13H8O2计,含量为99.3%。
CAS号:97-47-1
分子式:C13H8O2
分子量:196.2
包装及装量:棕色小瓶装,每支约50毫克。
储存条件:遮光,密封保存。
注意事项:使用前不需干燥处理。
名称:阿托伐他汀钙杂质E
货号:BP0922
规格:30mg/支
本品为阿托伐他汀钙杂质E化学对照品,供HPLC法检查用,以C40H47FN2O5计,含量为100%,使用前不需干燥处理。
CAS号:125971-95-1
分子式:C40H47FN2O5
分子量:654.82
结构式:
包装:棕色西林瓶。
规格:约30mg/支。
储存条件:密封,遮光,2-8℃保存。
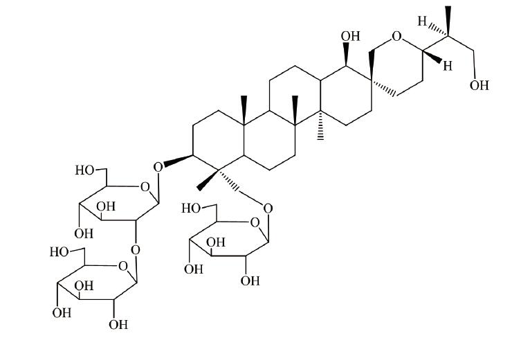
名称:凤仙萜四醇苷A
货号:BP1534
规格:20mg/支
本品为凤仙萜四醇苷A化学对照品,供含量测定用,含量以95.4%计,使用前不需干燥处理。
CAS号:156791-82-1
分子式:C48H82O20
分子量:979.15
结构式:
包装:棕色安瓿瓶
规格:约20mg/支
储存条件:冷处(2~10℃)保存
注意事项:本品具有引湿性,建议打开包装一次性使用完。
名称:糖精钠
货号:BP2185
规格:500mg/支
本品为糖精钠化学对照品,供HPLC法含量测定用,以C7H4NNaO3S计,含量为100.0%,使用前120℃干燥4小时。
CAS号:6155-57-3
分子式:C7H4NNaO3S·2H2O
分子量:241.19
包装:棕色西林瓶
规格:约500毫克/支
储存条件:遮光、密闭、常温。
风险提示:丁香通仅作为第三方平台,为商家信息发布提供平台空间。用户咨询产品时请注意保护个人信息及财产安全,合理判断,谨慎选购商品,商家和用户对交易行为负责。对于医疗器械类产品,请先查证核实企业经营资质和医疗器械产品注册证情况。
文献和实验相关实验
在网状内皮细胞内生长繁殖,使网状内皮细胞大量破坏和增生,使肝、脾、淋巴结肿大及骨髓增生。脾功能亢进时,血中红细胞、白细胞及血小板减少,而球蛋白明显增加。久病后皮肤色素增加而发黑,这便是该病名称的来源。潜伏期为 10个月~ 2年以上,多为 3~ 5个月。主要病状是长期不规则发热、贫血,消瘦、肝脾肿大、白细胞减少和血浆球蛋白增加。病人如不给予特效治疗结果大都死亡。目前,国内常用葡萄糖酸锑钠的水溶液治疗黑热病。该药可作静脉或肌肉注射,其疗效迅速显著,是治疗该病的特效药。病人应卧床休息,给高蛋白饮食及多种
(1)全血细胞减少,白细胞多在1.5~3.0×108 /L间,甚至中性粒细胞缺乏;贫血呈中度,血小板减少。 (2)血浆球蛋白显著增高,球蛋白沉淀试验(水试验)、醛凝试验、锑剂试验多呈阳性;白蛋白减少,A/G可倒置。 (3)血清特异性抗原抗体检测阳性有助诊断。骨髓、淋巴结或脾、肝组织穿针涂片,找到利杜体或穿刺物培养查见前鞭毛体可确诊。 (4)治疗性诊断:可用葡萄糖酸锑钠试验治疗,若疗效显著有助于本病诊断。 (二)鉴别诊断 本病
技术资料暂无技术资料 索取技术资料
葡萄糖酸锑钠
¥380 - 3800










