相关产品推荐更多 >
万千商家帮你免费找货
0 人在求购买到急需产品
- 详细信息
- 文献和实验
- 技术资料
- 库存:
192
- 保质期:
长期
- 供应商:
北京百奥莱博科技有限公司
- 保存条件:
常温
- 规格:
8g
特别提示:包括可溶性淀粉在内,本公司的所有产品仅可用于科研实验,严禁用于临床医疗及其他非科研用途!
产品名称:可溶性淀粉
产品货号:BP1776
产品规格:8g
本品为可溶性淀粉标准试剂,供淀粉酶效价测定用,使用前105℃干燥2小时。
包装:白色塑料瓶
规格:每瓶约8g
储存条件:常温,密闭保存。
除了可溶性淀粉,,我公司还供应以下相关产品:
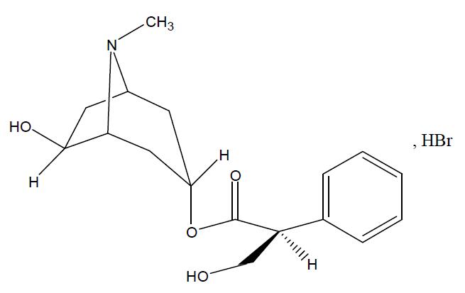
名称:氢溴*山莨菪碱
货号:BP0045
规格:50mg/支
本品供UV法含量测定和TLC鉴别用,按C17H23NO4·HBr计,含量为99.3%,使用前不需要干燥处理。
分子式:C17H23NO4·HBr
结构式:
分子量:386.29
CAS号:55449-49-5
包装:棕色安瓿瓶
规格:50mg/支
储存条件:遮光,密封保存
名称:盐酸尼卡地平
货号:BP0448
规格:100mg
本品为盐酸尼卡地平化学对照品,按C26H29N3O6·HCl计,供HPLC法测定,含量为99.9%。
分子式:C26H29N3O6·HCl
分子量:515.99
CAS号:54527-84-3
包装及装量:棕色小瓶装,每支约100毫克。
储存条件:遮光,密封保存。
注意事项:使用前不需干燥处理。
名称:氟马西尼
货号:BP0560
规格:100mg
本品为氟马西尼化学对照品,供HPLC法鉴别和HPLC法含量测定时,作对照用。本品使用前不需要干燥,可直接使用。含量以CHFNO计,为99.9%。
CAS号:78755-81-4
分子式:C15H14FN3O3
分子量:303.29
结构式:
包装:棕色西林瓶
规格:每支约100mg
储存条件:室温,密闭遮光保存。
名称:亚甲蓝
货号:BP0846
规格:100mg
本品为亚甲蓝三水合物,供含量测定用,供UV法测定,按C16H18ClN3S计,含量为83.4%。
CAS号:7220-79-3
分子式:C16H18ClN3S·3H2O
分子量:373.90
包装及装量:棕色西林瓶装,每支约100毫克。
储存条件:遮光,密封保存。
注意事项:使用前不需干燥处理,本品具有引湿性,建议打开包装后一次性使用完毕。
名称:13-顺阿维A
货号:BP0881
规格:10mg/支
本品为13-顺阿维A化学对照品,使用前不需干燥处理,供HPLC法测定,按C21H26O3计,含量为100%。
CAS号:69427-46-9
分子式:C21H26O3
分子量:326.43
包装及装量:安瓿瓶,充氮熔封,每支约10毫克。
储存条件:遮光,密封,冷处保存。
注意事项:使用前不需干燥处理。
名称:艾拉莫德杂质M10
货号:BP0919
规格:30mg
本品为艾拉莫德杂质M10(3-胺基-7-甲磺酰胺基-6-苯氧基-4H-1-苯并吡喃-4-酮)化学对照品,供HPLC系统适用性试验用,使用前不需干燥处理。
分子式:C16H14N2O5S
分子量:346.36
包装及装量:棕色小瓶装,每支约30毫克。
储存条件:遮光、密封保存。
名称:香草酸
货号:BP1071
规格:20mg/支
本品为香草酸化学对照品,供含量测定用。含量以99.8%计,使用前不需干燥处理。
CAS号:121-34-6
分子式:C8H8O4
分子量:168.15Da
结构式:
包装:棕色安瓿瓶
规格:约20mg/支
储存条件:冷处(2~10C)保存
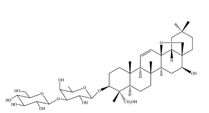
名称:柴胡皂苷a
货号:BP1072
规格:20mg/支
本品为柴胡皂苷a化学对照品,供鉴别和含量测定用,使用前不需干燥处理。含量以91.1%计。
CAS号:20736-09-8
分子式:C42H68O13
分子量:780.98
结构式:
包装:棕色安瓿瓶
装量:约20mg/支
储存条件:冷冻保存
注意事项:本品有引湿性,打开包装后一次使用完毕。
名称:脯氨酸
货号:BP1272
规格:20mg/支
本品为脯氨酸化学对照品,供相关物质鉴别用。
包装及装量:棕色瓶,约20mg/支
储存条件:干燥密闭保存。
名称:氢溴*槟榔碱
货号:BP1290
规格:30mg/支
本品为氢溴*槟榔碱化学对照品,供含量测定用,含量以99.8%计,置五氧化二*(代"磷")干燥器中减压干燥12小时以上使用。
CAS号:300-08-3
分子式:C8H13NO2·HBr
分子量:236.12
结构式:
包装:棕色安瓿
装量:约30mg/支
储存条件:阴凉处保存
名称:小诺霉素
货号:BP1568
规格:200mg/支
本品为小诺霉素标准品,供硫酸小诺霉素品种效价及组分测定,供硫酸庆大霉素C组分测定用。
分子式:(C20H41N5O7)2·5H2SO4
分子量:1417.52
结构式:
包装及装量:安瓿;200mg/支
储存条件:4℃避光保存
使用方法:使用前不需要干燥处理。使用时精密称取适量,按标准方法进行测定。1000u/ml的小诺霉素溶液应当日使用。
名称:异帕米星
货号:BP1714
规格:100mg/支
本品为异帕米星化学对照品,供高效液相含量测定用,含量以异帕米星(C22H43N5O12)计。
分子式:C22H43N5O12·nH2SO4(n≤2)
结构式:
包装:安瓿
装量:100mg/支
储存条件:置4℃以下条件低温保存。
名称:Xa因子(FXa)
货号:BP1915
规格:71nkat/支
本品为Xa因子试剂,供肝素、低分子肝素抗Xa因子效价测定使用
CAS号:9002-05-5
分子量:约44KDa
来源:牛源
包装:透明玻璃瓶
规格:约71nkat/瓶
储存条件:2~8℃
风险提示:丁香通仅作为第三方平台,为商家信息发布提供平台空间。用户咨询产品时请注意保护个人信息及财产安全,合理判断,谨慎选购商品,商家和用户对交易行为负责。对于医疗器械类产品,请先查证核实企业经营资质和医疗器械产品注册证情况。
文献和实验一种植物贮存同多糖,由D-葡萄糖残基连接而成。含75~85%的支链淀粉(amylopectin)和15~25%的直链淀粉(amylose)。直链淀粉无分支,是数百个D-吡喃葡萄糖残基通过α(1→4)糖苷键互相连接构成的,分子量由几千到几十万,视植物种类和生长时期而异,多糖链呈螺旋形,由氢键维系。大于60个葡萄糖残基构成的直链淀粉与碘生成的络合物呈蓝色,碘原子的行列正好嵌入直链淀粉螺旋的中心。用酸或酶水解淀粉,依水解程度不同生成长短不同的糖链(糊精),它们与碘作用依次呈现红色
直链淀粉 amylose 系与支链淀粉一起构成淀粉粒的主要成分(一般占20—25%),是吡喃葡萄糖仅以α-1,4-键连接的长键化合物,亦称β-直链淀粉。在水中不膨胀而溶解,但与热水不能形成典型的糊,冷却时与碘呈蓝色反应,分子量约5万。从溶于温水或稀酸的淀粉可溶部分加酒精沉淀而得到,其中也有极少的β-1,6-分支,在麦芽中的α-淀粉酶和β-淀粉酶(切断α-1,4键)以及异淀粉酶的共同作用下,可完全水解至麦芽糖。
支淀粉酶 amylopectin 除去淀粉中可溶性的直链淀粉后的难溶部分。曾称为α-直链淀粉,红直链淀粉(erythroamylose)。它与直链淀粉(20—25%)共同构成淀粉粒的主要成分,通常占75—80%。冷却时遇碘呈红褐色。在水中膨润,在热水中生成淀粉糊,它是D-吡喃葡萄糖以α-1,4键连结,均每24个有约1个末端葡萄糖残基的α-1,6-枝链出现,分子量约5万—100万的较大枝链分子。可被麦芽中的α-淀粉酶和β-淀粉酶切断α-1,4-键,水解释放出麦芽糖,但分解
技术资料暂无技术资料 索取技术资料










