相关产品推荐更多 >
万千商家帮你免费找货
0 人在求购买到急需产品
- 详细信息
- 文献和实验
- 技术资料
- 库存:
281
- 英文名:
Olmesartan Medoxomil Impurities
- 保质期:
长期
- 供应商:
北京百奥莱博科技有限公司
- 保存条件:
遮光,密闭,-20℃
- 规格:
RNH-8276约5μg,RNH-6373约6μg/支
特别提示:包括奥美沙坦酯杂质混合物在内,本公司的所有产品仅可用于科研实验,严禁用于临床医疗及其他非科研用途!
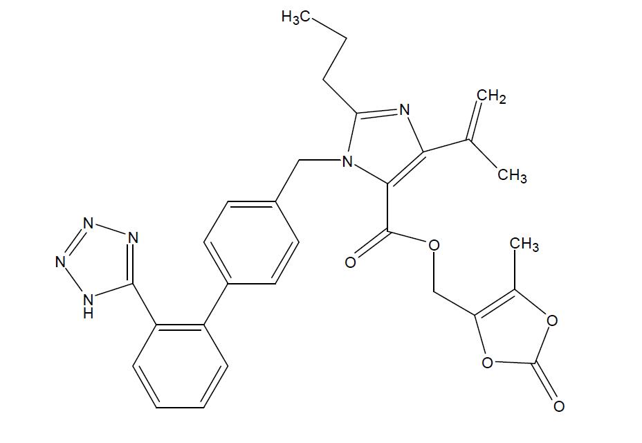
产品名称:奥美沙坦酯杂质混合物
英文名称:Olmesartan Medoxomil Impurities
产品货号:BP0421
产品规格:RNH-8276约5μg,RNH-6373约6μg/支
本品是由奥美沙坦酯杂质RNH-6373和杂质RNH-8276配制成溶液,分装后吹干,内容物附于瓶底及瓶壁。本品供HPLC法检查用,每支含RNH-6373为5.5μg,RNH-8276为4.9μg。精密量取乙*(代"腈")-水(90:10)1.0ml,充分溶解,混匀,即可使用,使用前不需干燥处理。本品供HPLC法检查用。
分子式:C29H28N6O5(RNH-6373)
分子式:C48H50N12O5(RNH-8276)
分子量:540.58(RNH-6373)
分子量:875.01(RNH-8276)
结构式:
RNH-6373
RNH-8276
奥美沙坦酯杂质混合物溶液
色谱柱:PhenomenexLunaC8(2)(250×4.6mm,5μm)
包装:棕色西林瓶。
装量:每支含RNH-6373为5.5μg,RNH-8276为4.9μg。
储存条件:遮光,密闭,-20℃保存。
注意事项:本品溶液须临用新制。
除了奥美沙坦酯杂质混合物,,我公司还供应以下相关产品:
| 货号 | 名称 | 规格 |
| BP0131 | 盐酸雷尼替丁 | 100mg/支 |
| BP0222 | 泛酸钠 | 100mg |
| BP0404 | 愈创甘油醚 | 100mg |
| BP0527 | 利鲁唑 | 100mg |
| BP0556 | 4-异丁基乙酰苯 | 0.5ml |
| BP0797 | 硝酸奥昔康唑 | 100mg |
| BP0816 | 氯噻嗪 | 50mg/支 |
| BP0883 | 盐酸胺碘酮杂质Ⅱ | 50mg/支 |
| BP0902 | 甲磺酸阿帕替尼 | 100mg/支 |
| BP1337 | 薏苡仁油 | 0.2ml |
| BP1413 | 新橙皮苷 | 约20mg/支 |
| BP1537 | 氯化血红素 | 约20mg/支 |
| BP1544 | 蒺藜皂苷K | 20mg/支 |
| BP1550 | *丙醇 | 1ml |
风险提示:丁香通仅作为第三方平台,为商家信息发布提供平台空间。用户咨询产品时请注意保护个人信息及财产安全,合理判断,谨慎选购商品,商家和用户对交易行为负责。对于医疗器械类产品,请先查证核实企业经营资质和医疗器械产品注册证情况。
文献和实验离心机原理是通过电机驱动转子旋转,产生离心力,在高速旋转中,实验样本混合物中的组分会受到离心力的影响,使密度较高的颗粒向背离轴心的方向移动,而密度较低的颗粒朝向轴心方向移动,这些密度较大的颗粒会沉积在离心管管底,形成沉淀物,从而实现样本中液体与固体颗粒或液体与液体混合物中各组分分离的效果。 操作离心机是实验室工作中常见的一项任务。以下是一些值得注意的操作事项: 安全性: - 首先确保使用离心机时遵循实验室安全规定,戴上适当的个人防护装备,如实验手套和护目镜; - 在操作前检查离心机是否
法可进一步纯化。 萃取:就是利用物质在两种互不相溶的溶剂中溶解度或分配比的不同来达到分离、提取或纯化目的的一种操作。 升华:是纯化固体有机物的方法之一。某些物质在固态时有相当高的蒸气压,当加热时不经进液态而直接气化,蒸气遇次则凝结成固体,这个过程叫做升华。升华得到的产品有较高的纯度,这种方法特别适用于纯化易潮解或与溶剂起分解的物质。 升华是纯化固体有机物的一个方法。利用升华可除去难挥发性杂质或分离具有不同挥发度的固体混合物。升华常可得到较高纯度的产物,但操作时间
使一个组分的 吸光系数比其它组分的吸光系数大,这样才能得到较高的精确度。 如果混合物中的几个组分吸收带相互重迭的并且不遵守比耳定律,便不能用解联立方程式的办法来解析。此时用分光光度法定量比较困难。Fry采用校正法把混合样品中的五个组分配成不同的溶液,得到一系列校正曲线。在校正曲线的基础上,解析得到了五组分的含量。但方法十分繁琐,使用不便。 如果混合物中含有未知吸收带的组分就更困难了。此时最好先用化学法分离纯化。但也可直接利用分光光度法来分析。Morton利用有杂质存在
技术资料暂无技术资料 索取技术资料









