相关产品推荐更多 >
万千商家帮你免费找货
0 人在求购买到急需产品
- 详细信息
- 文献和实验
- 技术资料
- 库存:
109
- 英文名:
Nimesulide
- CAS号:
51803-78-2
- 保质期:
长期
- 供应商:
北京百奥莱博科技有限公司
- 保存条件:
遮光,密封保存。注意事项:105℃
- 规格:
100mg/支
特别提示:包括尼美舒利在内,本公司的所有产品仅可用于科研实验,严禁用于临床医疗及其他非科研用途!
产品名称:尼美舒利
英文名称:Nimesulide
CAS#:51803-78-2
产品货号:BP0422
产品规格:100mg/支
本品为尼美舒利化学对照品,供含量测定用,按C13H12N2O5S计,含量为100.0%。
分子式:C13H12N2O5S
分子量:308.31
CAS号:51803-78-2
包装及装量:棕色西林瓶装,每支约100毫克。
储存条件:遮光,密封保存。
注意事项:105℃干燥2 小时后使用。
除了尼美舒利,,我公司还供应以下相关产品:
名称:马来酸麦角新*(代"碱")
货号:BP0039
规格:50mg/支
本品供TLC法有关物质检查和UV法含量测定用,使用前不需干燥处理,以C19H23N3O2·C4H4O4计,含量为99.4%。
分子式:C19H23N3O2·C4H4O4
分子量:441.48
CAS号:129-51-1
包装:棕色西林瓶
规格:约50毫克/支
储存条件:遮光,密封,在冷处保存
注意事项:本品具有引湿性,临用前将西林瓶平衡至室温。建议一次性使用完毕。
名称:辛可尼丁
货号:BP0172
规格:50mg
名称:更昔洛韦
货号:BP0304
规格:100mg
本品为更昔洛韦化学对照品,供HPLC法测定,按C9H13N5O4计,含量为97.7%。
分子式:C9H13N5O4
分子量:255.21
CAS号:82410-32-0
包装及装量:棕色小瓶装,每支约100毫克
储存条件:密封,置阴凉处保存。
注意事项:使用前不需干燥处理,本品具有引湿性,打开包装后一次使用完毕。
名称:愈创甘油醚
货号:BP0404
规格:100mg
本品为愈创甘油醚化学对照品,供含量测定用,使用前不需干燥处理,供HPLC法测定用,按C10H14O4计,含量为99.6%。
分子式:C10H14O4
分子量:198.22
CAS号:93-14-1
包装及装量:棕色西林瓶装,每支约100毫克。
储存条件:遮光,密封保存。
注意事项:使用前不需干燥处理。
名称:托芬那酸
货号:BP0532
规格:100mg
名称:硝酸布康唑
货号:BP0792
规格:100mg
名称:呫吨酸
货号:BP0874
规格:50mg
本品为呫吨酸化学对照品,化学名为呫吨-9-羧酸,使用前不需干燥处理,供HPLC法有关物质检查用,按C14H10O3计,含量为98.7%。
CAS号:87-07-5
分子式:C14H10O3
分子量:226.23
包装及装量:棕色小瓶装,每支约50毫克。
保存条件:遮光,密封保存。
名称:磷酸奥司他韦杂质Ⅲ
货号:BP0989
规格:30mg"
名称:云南白药提取物
货号:BP1115
规格:10mg/支
本品为云南白药对照提取物,供相关物质鉴别用。
包装:棕色安瓿瓶
规格:约10mg/支
储存条件:常温避光保存
名称:牡荆素葡萄糖苷
货号:BP1511
规格:约20mg/支
本品为牡荆素葡萄糖苷化学对照品,供含量测定用对照品,含量以92.8%计,使用前不需干燥处理。
CAS号:178468-00-3
分子式:C27H30O15
分子量:594.52
包装:棕色安瓿瓶
装量:约20mg/支
储存条件:冷处(2~10℃)保存
注意事项:本品具有引湿性,打开包装后一次性使用完毕。
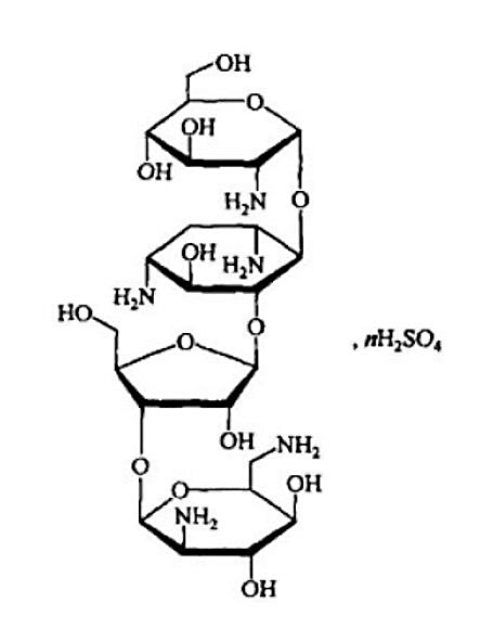
名称:巴龙霉素
货号:BP1585
规格:200mg
本品为巴龙霉素标准品,供抗生素微生物效价测定用,使用前不需干燥处理。
CAS号:1263-89-4
分子式:C23H45N5O14·nH2SO4
结构式:
包装:白色安瓿
规格:约200毫克/支
储存条件:2-8℃保存
名称:美罗培南
货号:BP1655
规格:100mg/支
本品为美罗培南化学对照品,供高效液相含量测定用,含量以美罗培南(C17H25N3O5S)计。
分子式:C17H25N3O5S·3H2O
分子量:437.51
结构式:
包装及装量:安瓿,100mg/支
储存条件:置4℃以下条件低温保存。
名称:凝血酶
货号:BP1791
规格:1180单位/瓶
本品为凝血酶化学标准品,效价为1180单位/瓶,供凝血酶效价测定用。使用时放置至室温,开启后一次性用完。
包装:2ml西林瓶
规格:1180单位/瓶
储存条件:-20℃保存
名称:发色底物S-2765
货号:BP1918
规格:约21.5mg/瓶
本品为发色底物S-2765试剂,供肝素、低分子肝素抗Xa因子效价测定使用
CAS号:115388-96-0
分子式:C28H41N11O7Cl2
分子量:714.6
包装:透明玻璃瓶
规格:约21.5mg/瓶(约30μmol/瓶)
储存条件:4℃,避光
名称:糖类抗原125
货号:BP1981
规格:3支/套,0.5ml/支
本品为糖类抗原125质控血清(CA125质控血清),供免疫测定用。
1、以CA125纯品为原料加入至新鲜正常人混合血清制备而成。
2、本套质控血清为冻干品,3/套,0.5ml/支。
3、使用时应用0.5ml去离子水将内容物完全溶解,充分混合后使用。
4、质控血清I理论值为20U/ml;
质控血清Ⅱ理论值为50U/ml;
质控血清Ⅲ理论值为270U/ml。
U/mL单位体系为自定,各系统不具可比性,数据仅供参考。
5、本套质控血清长期保存应在-20℃及以下;复融后尽可能一次性用完,如确需多次使用,请分装后-20℃及以下保存,避免反复冻融。
6、本套质控血清不具备溯源性,不能用于定值,可用于CA125精密度分析或其他免疫分析。
风险提示:丁香通仅作为第三方平台,为商家信息发布提供平台空间。用户咨询产品时请注意保护个人信息及财产安全,合理判断,谨慎选购商品,商家和用户对交易行为负责。对于医疗器械类产品,请先查证核实企业经营资质和医疗器械产品注册证情况。
文献和实验1、舒林酸和尼美舒利的溶解方法的问题:问:最近在做试验时发现舒林酸和尼美舒利两种药物很难溶解,加入DMSO后可以溶解,但是再加入1640培养液稀释时又出现结晶,而且很难溶解。有什么好的办法吗?答:(1)可以先把所需药母液加如一个小安剖瓶,再加入培养基,用枪多吹打几分钟就会溶解。(2)如果还是溶解不了,可以换用乙醇试试。(3)配制药母液时浓度要尽量高,这样稀释后培养基中的DMSO浓度才越低。2、葡聚糖的溶解问题:问:葡聚糖是用水溶吗?我今天用水溶解葡聚糖,浓度是1mg/ml,四十度水浴
第十八章 解热镇痛抗炎药与抗痛风药 [ 目的要求 ] 1 .掌握本类药解热、镇痛、抗炎的作用特点及其与 PG 合成的关系。 2 .掌握阿司匹林的作用、用途及主要不良反应。 3 .掌握对乙酰氨基酚、吲哚美辛、布洛芬以及尼美舒利的作用特点。 4 .熟悉保泰松、甲芬那酸、双氯芬酸、及吡罗昔康的作用及应用特点。 5 .了解抗痛风药的作用环节。 [ 教学内容 ] 解热镇痛抗炎
1、舒林酸和尼美舒利的溶解方法的问题: 问:最近在做试验时发现舒林酸和尼美舒利两种药物很难溶解,加入DMSO后可以溶解,但是再加入1640培养液稀释时又出现结晶,而且很难溶解。有什么好的办法吗? 答:(1)可以先把所需药母液加如一个小安剖瓶,再加入培养基,用枪多吹打几分钟就会溶解。 (2)如果还是溶解不了,可以换用乙醇试试。 (3)配制药母液时浓度要尽量高,这样稀释后培养基中的DMSO浓度才越低。 2、细胞因子加入剂量的问题: 问:已经知道某个细胞因子在体内正常
技术资料暂无技术资料 索取技术资料










