相关产品推荐更多 >
万千商家帮你免费找货
0 人在求购买到急需产品
- 详细信息
- 技术资料
- 库存:
211
- 英文名:
Crospovidone
- CAS号:
9003-39-8
- 保质期:
长期
- 供应商:
北京百奥莱博科技有限公司
- 保存条件:
:遮光,密封保存。注意事项:使用前于 105℃
- 规格:
100mg/支
特别提示:包括交联聚维酮在内,本公司的所有产品仅可用于科研实验,严禁用于临床医疗及其他非科研用途!
产品名称:交联聚维酮
英文名称:Crospovidone
CAS#:9003-39-8
产品货号:交联聚维酮
产品规格:100mg/支
本品为交联聚维酮化学对照品,供交联聚维酮品种红外鉴别用。
CAS号:9003-39-8
分子式:(C6H9NO)n
包装及装量:西林瓶装,每支约100mg
储存条件::遮光,密封保存。
注意事项:使用前于 105℃干燥2小时。
除了交联聚维酮,,我公司还供应以下相关产品:
名称:苯甲*雌二醇
货号:BP0006
规格:100mg/支
本品为苯甲*雌二醇(EstradiolBenzoate)。按C25H28O3计,供HPLC法测定,含量为99.1%。
CAS号:50-50-0
分子式:C25H28O3
分子量:376.50
包装及装量:棕色小瓶装,每支约100毫克。
储存条件:遮光,密封保存。
注意事项:105℃干燥2小时后使用。
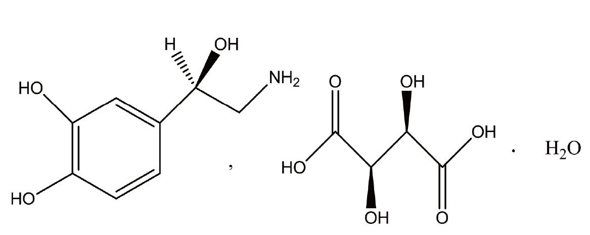
名称:重酒石酸去甲肾上腺*
货号:BP0136
规格:100mg/支
本品为重酒石酸去甲肾上腺*的化学对照品,供HPLC法测定用,按C8H11NO3·C4H6O8·H2O计,含量为94.3%,使用前不需干燥处理。
分子式:C8H11NO3·C4H6O8·H2O
结构式:
分子量:337.28
CAS号:69815-49-2
包装:棕色安瓿瓶
规格:约100毫克/支
储存条件:遮光,充氮气,密封保存。
名称:琥珀酸甲泼尼龙
货号:BP0630
规格:100mg
本品为琥珀酸甲泼尼龙化学对照品,供HPLC法含量测定用,使用前不需干燥,以C26H34O8计,含量为99.5%。
CAS号:2921-57-5
分子式:C26H34O8
分子量:474.55
结构式:
包装:棕色西林装
规格:约100毫克/支
储存条件:遮光、密闭保存
名称:柠檬酸
货号:BP1287
规格:30mg/支
本品为柠檬酸化学对照品,含量以97.0%计,使用前不需干燥处理。
CAS号:77-92-9
分子式:C6H8O7
分子量:192.03
结构式:
包装:棕色安瓿瓶
规格:约30mg/支
储存条件:阴凉处保存
名称:加替沙星
货号:BP1665
规格:100mg
本品为加替沙星化学对照品,供高效液相含量测定用,含量以加替沙星(C19H22FN3O4)计。
使用方法:精密称取适量,加稀磷酸(2→1000)适量,超声使溶解,加0.039%磷酸二氢钠溶液稀释至所需浓度使用。
储存条件:置 5℃以下低温避光保存。开启安瓿后严密保持干燥,以防吸水。
注意事项:使用前不需干燥处理。
名称:头孢唑林杂质A
货号:BP1728
规格:100mg/支
本品为头孢唑啉杂质A化学对照品,供头孢唑林钠品种系统适用性试验用。
使用方法:精密称取本品适量,按相关质量标准的规定,溶解并稀释至所需浓度的溶液,立即使用。
储存条件:置5℃以下低温避光保存。开启安瓿后严密保持干燥,以防吸水。
注意事项:使用前不需干燥处理。
名称:琥珀酰明胶
货号:BP1843
规格:700mg
本品为琥珀酰明胶化学对照品,供含量为81.5%,供含量测定用,使用前不需干燥处理。仅供一次使用。
包装:棕色小瓶
规格:每支700mg
储存条件:密闭,25℃以下保存。
名称:还原型谷胱甘肽
货号:BP1845
规格:200mg
本品为还原型谷胱甘肽化学对照品,含量为99.4%,供还原型谷胱甘肽鉴别与含量测定用,使用前105℃干燥1小时。
分子式:C10H17N3O6S
分子量:307.33
包装:2ml西林瓶轧铝盖
规格:每瓶约200mg
储存条件:避光密闭,2℃~8℃保存。
名称:二甲基砜
货号:BP1987
规格:200mg
本品为二甲基砜化学对照品,供二甲基亚砜品种检查用对照品,以C2H6O2S计,含量为99.9%。
CAS号:67-71-0
分子式:C2H6O2S
分子量:94.13
包装及装量:棕色西林瓶,每瓶约200mg
储存条件:遮光保存
注意事项:使用前不需干燥处理
名称:1,6-脱水-β-D-葡萄糖
货号:BP2065
规格:约200mg/瓶
本品为1,6-脱水-β-D-葡萄糖化学对照品,仅供聚葡萄糖品种项下检查1,6-脱水-β-D-葡萄糖用,使用前不需干燥处理,以C6H10O5计,含量为99.9%。
CAS号:498-07-7
分子式:C6H10O5
分子量:162.14
包装:棕色西林瓶
规格:约200mg/瓶
储存条件:常温保存
名称:二甲硅油350
货号:BP2071
规格:1ml/支
本品为二甲硅油350化学对照品,仅供二甲硅油品种项下二甲硅油350型号红外光谱吸收度及含量测定用,使用前不需干燥处理。
CAS号:9006-65-9
分子式:(C2H6OSi)nC4H12Si
结构式:
包装:棕色安瓿
规格:约1ml/支
储存条件:遮光、常温保存
风险提示:丁香通仅作为第三方平台,为商家信息发布提供平台空间。用户咨询产品时请注意保护个人信息及财产安全,合理判断,谨慎选购商品,商家和用户对交易行为负责。对于医疗器械类产品,请先查证核实企业经营资质和医疗器械产品注册证情况。
技术资料暂无技术资料 索取技术资料
交联聚维酮
¥380 - 3800









