相关产品推荐更多 >
万千商家帮你免费找货
0 人在求购买到急需产品
- 详细信息
- 技术资料
- 库存:
344
- 英文名:
Dobutamine Hydrochloride
- CAS号:
49745-95-1
- 保质期:
长期
- 供应商:
北京百奥莱博科技有限公司
- 规格:
500mg
特别提示:包括盐酸多巴酚丁胺在内,本公司的所有产品仅可用于科研实验,严禁用于临床医疗及其他非科研用途!
产品名称:盐酸多巴酚丁胺
英文名称:Dobutamine Hydrochloride
CAS#:49745-95-1
产品货号:盐酸多巴酚丁胺
产品规格:500mg
本品为盐酸多巴酚丁胺化学对照品,供含量测定用,供HPLC法测定,按C18H23NO3·HCl计,含量为99.8%。
CAS号:49745-95-1
分子式:C18H23NO3·HCl
分子量:337.85
包装及装量:棕色安瓿装,每支约500 毫克。
储存条件:遮光,密封保存。
注意事项:使用前不需干燥处理。
除了盐酸多巴酚丁胺,,我公司还供应以下相关产品:
名称:芦丁
货号:BP0068
规格:100mg/支
本品为芦丁Rutin(Rutoside)的化学对照品,供鉴别、含量测定用,使用前不需干燥处理。按C27H30O16计,供HPLC法测定,含量为91.9%;供UV法测定,含量为92.6%。
分子式:C27H30O16
结构式:
分子量:610.52
CAS号:153-18-4
包装:棕色安瓿
装量:约100毫克/支
储存条件:遮光,密封,10~30℃保存
注意事项:本品具有引湿性,建议相对湿度40%以下条件使用
名称:溴甲贝那替嗪
货号:BP0173
规格:50mg
名称:环磷酰胺
货号:BP0190
规格:100mg/支
本品为环磷酰胺的化学对照品,供HPLC法含量测定用,使用前不需干燥处理,按C7H15Cl2N2O2P计,含量为93.5%。
分子式:C7H15Cl2N2O2P·H2O
分子量:279.10
CAS号:6055-19-2
包装:棕色安瓿瓶。
规格:100毫克/支。
储存条件:遮光,密封,2-8℃冷藏保存。
名称:丁*(代"酸")氢化可的松
货号:BP0241
规格:约50毫克
本品为丁*(代"酸")氢化可的松化学对照品,供鉴别和含量测定用。以C25H36O6计,供HPLC法测定,含量为99.7%。
分子式:C25H36O6
分子量:432.56
CAS号:13609-67-1
包装及装量:棕色小瓶,每支约50毫克
储存条件:干燥避光,室温密闭保存
注意事项:本品不需干燥处理,直接称取,避光操作。
名称:西洛他唑
货号:BP0291
规格:100mg
本品为西洛他唑的化学对照品,供含量测定用。105℃干燥2小时后使用,按C20H27N5O2计,供HPLC法测定;含量为99.6%,供UV法测定,含量为100.0%。
分子式:C20H27N5O2
分子量:369.47
CAS号:73963-72-1
包装及装量:棕色小瓶装,每支约100毫克。
储存条件:遮光,密封保存。
注意事项:105℃干燥2小时后使用。
名称:奥沙利铂
货号:BP0447
规格:100mg
本品为奥沙利铂化学对照品,供含量测定用,使用前不需干燥处理,含量以99.9%计。
分子式:C8H14N2O4Pt
分子量:397.29
CAS号:61825-94-3
包装及装量:棕色西林瓶,约100mg/支
储存条件:遮光,密封保存。
注意事项:使用前不需干燥处理。
名称:4-异丁基乙酰苯
货号:BP0556
规格:0.5ml
本品为4-异丁基乙酰苯化学对照品,为布洛芬杂质,供检查用,供HPLC法测定,按C12H16O计,含量100%。
CAS号:38861-78-8
分子式:C12H16O
分子量:176.25
包装及装量:棕色安瓿装,每支约 0.5ml。
储存条件:遮光,冷处保存。
注意事项:使用前不需处理。
名称:甲磺酸氨氯地平
货号:BP0628
规格:100mg
名称:庚*(代"酸")炔诺酮
货号:BP0735
规格:100mg
名称:硫酸肼
货号:BP0806
规格:100mg
本品为硫酸肼化学对照品,为硫酸肼,供异烟肼、异烟肼片TLC法系统适用性试验用,使用前不需干燥处理。
1.储存条件:置5℃以下低温避光保存。开启安瓿后密闭保持干燥,以防吸水。
2.使用方法:精密称取本品适量,按异烟肼的游离肼检查项下方法,溶解稀释制成约0.08mg/ml的溶液,立即使用。
名称:非洛地平杂质Ⅰ
货号:BP0854
规格:50mg
本品为非洛地平杂质Ⅰ化学对照品,供检查用,使用前不需干燥处理。供HPLC法测定,按C18H17Cl2NO4计,含量为100%。
分子式:C18H17Cl2NO4
分子量:382.25
结构式:
包装及装量:棕色西林瓶,约50mg/支。
储存条件:遮光,密封保存。
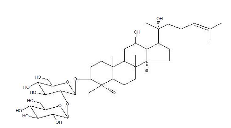
名称:人参皂苷Rg3
货号:BP1093
规格:20mg
本品为人参皂苷Rg3化学对照品,供含量测定用,使用前不需干燥处理。含量以99.5%计。
CAS号:38243-03-7
分子式:C42H72O13
分子量:785.01
结构式:
包装:棕色安瓿瓶。
规格:约20mg/支
储存条件:冷冻保存
注意事项:本品略有引湿性,打开包装后一次使用完毕。
名称:5-O-甲基维斯阿米醇苷
货号:BP1186
规格:20mg/支
本品为5-O-甲基维斯阿米醇苷化学对照品,供含量测定用,含量以96.1%计,使用前不需干燥处理。
CAS号:84272-85-5
分子式:C22H28O10
分子量:452.45
结构式:
包装:棕色安瓿瓶
装量:约20mg/支
储存条件:冷处(2-10℃)保存
注意事项:本品有引湿性,建议打开包装一次性使用完
名称:无味氯霉素A晶型
货号:BP1603
规格:100mg
本品为无味氯霉素A晶型标准品,供红外鉴别及晶型检查用,使用前不需干燥处理。
CAS号:530-43-8
分子式:C27H42Cl2N2O6
分子量:561.55
结构式:
包装:白色安瓿
规格:约100毫克/支
储存条件:2-8℃保存
名称:7-氨基头孢烷酸(7-ACA)
货号:BP1681
规格:100mg
本品为7-氨基头孢烷酸化学对照品,供头孢尼西钠品种有关物质检查用。含量按7-氨基头孢烷酸C10H12N2O5S计算。
使用方法:精密称取本品适量,按相关质量标准的规定,溶解并稀释至所需浓度的溶液,立即使用。
储存条件:置5℃以下条件低温避光保存。启开安瓶后严密保持干燥以防吸水。
注意事项:使用前不需干燥处理。
名称:磷霉素钠
货号:BP1702
规格:100mg
本品为磷霉素钠化学对照品,仅供红外鉴别用,使用前不需干燥处理。
CAS号:26016-99-9
分子式:C3H5Na2O4P
分子量:182.02
包装:白色安瓿
规格:约100毫克/支
储存条件:2-8℃保存
名称: 脱氧核糖鸟嘌呤核苷酸钠(G)
货号:BP1854
规格:20mg/瓶
本品为脱氧核糖鸟嘌呤核苷酸钠化学对照品,以脱氧核糖鸟嘌呤核苷酸计为89.3%,供脱氧核苷酸鉴别及含量测定用。
分子式:C10H14N5O7P
分子量:347.22
包装:棕色瓶
装量:约20mg/支
储存条件:-20℃低温保存
注意事项:使用前不需干燥。
名称:酮缬氨酸钙
货号:BP1900
规格:220mg/瓶
本品为酮缬氨酸钙化学对照品,含量以C10H14CaO6计为93.4%,供鉴别与含量测定。
CAS号:51828-94-5
分子式:C10H14CaO6
分子量:270.29
结构式:
包装及装量:2ml棕色西林瓶轧铝盖220mg/瓶。
储存条件:2-8℃保存。
注意事项:使用前不需干燥处理。
风险提示:丁香通仅作为第三方平台,为商家信息发布提供平台空间。用户咨询产品时请注意保护个人信息及财产安全,合理判断,谨慎选购商品,商家和用户对交易行为负责。对于医疗器械类产品,请先查证核实企业经营资质和医疗器械产品注册证情况。
技术资料暂无技术资料 索取技术资料
盐酸多巴酚丁胺
¥380 - 3800










