相关产品推荐更多 >
万千商家帮你免费找货
0 人在求购买到急需产品
- 详细信息
- 文献和实验
- 技术资料
- 库存:
54
- 英文名:
Notoginsenoside R1
- CAS号:
80418-24-2
- 保质期:
长期
- 供应商:
北京百奥莱博科技有限公司
- 规格:
约20mg/支
特别提示:包括三七皂苷R1在内,本公司的所有产品仅可用于科研实验,严禁用于临床医疗及其他非科研用途!
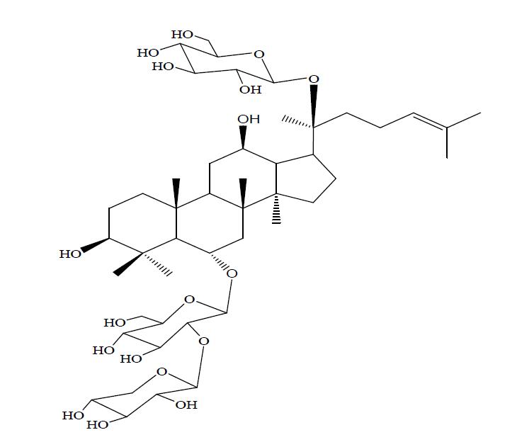
产品名称:三七皂苷R1
英文名称:Notoginsenoside R1
CAS#:80418-24-2
产品货号:三七皂苷R1
产品规格:约20mg/支
本品为三七皂苷R1化学对照品,供鉴别和含量测定用,使用前不需干燥处理。含量以95.0%计。
CAS号:80418-24-2
分子式:C47H80O18
分子量:933.13
结构式:
包装:棕色安瓿
规格:约20mg/支
储存条件:冷冻保存
注意事项:本品有引湿性,开封后一次使用完毕。
除了三七皂苷R1,,我公司还供应以下相关产品:
| 货号 | 名称 | 规格 |
| BP0310 | 依托泊苷 | 100mg |
| BP0678 | 2,3,4-三甲氧基*(代"苯")甲* | 50mg |
| BP0882 | 13-乙基阿维A | 10mg/支 |
| BP0889 | 拉米夫定分离度混合物A | 20mg/支 |
| BP0893 | 地舍平 | 100mg/支 |
| BP1032 | 辛弗林 | 约20mg/支 |
| BP1180 | 甜菊苷 | 约20mg/支 |
| BP1287 | 柠檬酸 | 30mg/支 |
| BP1814 | 辅酶A | 50mg/支 |
| BP2104 | 双酚A | 50mg |
| BP2108 | 抗血浆鉴别试剂盒(抗人、抗马、抗猪、抗牛、抗羊) | 试剂盒(5对) |
| BP2115 | 抗HBS免疫球蛋白国家标准品 | 2.5IU/支 |
| BP2197 | 新补骨脂异黄酮 | 30mg/支 |
| BP2199 | 噻托溴铵 | 100mg/支 |
风险提示:丁香通仅作为第三方平台,为商家信息发布提供平台空间。用户咨询产品时请注意保护个人信息及财产安全,合理判断,谨慎选购商品,商家和用户对交易行为负责。对于医疗器械类产品,请先查证核实企业经营资质和医疗器械产品注册证情况。
文献和实验相关专题 以下是根据NIH老年病研究所 提供的英文的R1胚胎干细胞培养protocol整理而成。根据经验作部分修改。 1、一般培养:保持胚胎干细胞 处于未分化状态 培养基细胞复苏冻存细胞明胶包被细胞传代 2 、体外分化 培养基包被有多聚鸟氨酸/纤维结合蛋白的培养板(使用或不使用盖玻片) 体外分化方法 注:以下培养针对于小鼠的R1胚胎干细胞系,其它胚胎
在生化室日常工作中,大家会发现:在双试剂测试项目中,总是R2用完了,而R1尚余很多,随着检验次数的累积, 这种效应越加明显,留下来的R1留之无用, 弃之可惜。 生化试剂R1、R2消耗量不对等的原因: 如果查阅仪器说明书,可以发现生化试剂在使用过程中是有损耗的,这种效应是由于仪器本身设计有试剂 ”取样/ 富余量“所致,多数仪器都存在这种问题。 仪器在试剂瓶转移到反应杯的过程中,会多吸入大概5ul的量
人可溶性肿瘤坏死因子受体-1(sTNF-R1)ELISA试剂盒 说明书
上海西唐生物科技有限公司 021-55229872, 65333639 www.westang.com 人可溶性肿瘤坏死因子受体-1 (sTNF-R1)ELISA 试剂盒 ( 用于血清、血浆、细胞培养上清液和其它生物体液内 ) 原理 本实验采用双抗体夹心 ABC-ELISA 法。用抗人 sTNF-R1 单抗包被于酶标板上,标准品和样品中的 sTNF-R1与单抗结合
技术资料暂无技术资料 索取技术资料










