相关产品推荐更多 >
万千商家帮你免费找货
0 人在求购买到急需产品
- 详细信息
- 文献和实验
- 技术资料
- 库存:
145
- 英文名:
Sodium Taurocholate
- CAS号:
145-42-6
- 保质期:
长期
- 供应商:
北京百奥莱博科技有限公司
- 保存条件:
常温
- 规格:
20mg
特别提示:包括牛磺胆酸钠在内,本公司的所有产品仅可用于科研实验,严禁用于临床医疗及其他非科研用途!
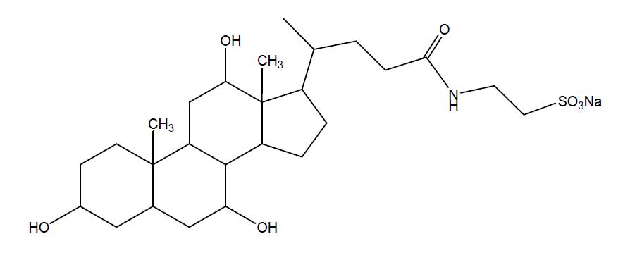
产品名称:牛磺胆酸钠
英文名称:Sodium Taurocholate
CAS#:145-42-6
产品货号:牛磺胆酸钠
产品规格:20mg
本品为牛磺胆酸钠化学对照品,供鉴别或含量测定用,使用前不需干燥处理,含量以87.9%计。
CAS号:145-42-6
分子式:C26H44NNaO7S
分子量:537.68
结构式:
包装:棕色安瓿瓶
装量:约20mg/支
储存条件:常温干燥保存
注意事项:本品具引湿性,建议打开包装一次性使用完。
除了牛磺胆酸钠,,我公司还供应以下相关产品:
| 货号 | 名称 | 规格 |
| BP0090 | 维生素B6(盐酸吡哆辛) | 100mg |
| BP0219 | 硫酸特布他林 | 100mg/支 |
| BP0253 | 枸橼酸他莫昔芬E-异构体 | 30mg/支 |
| BP0420 | RNH-奥美沙坦酯杂质 | 50mg |
| BP0564 | 苯扎贝特 | 100mg/支 |
| BP0587 | 盐酸地匹福林前体 | 50mg |
| BP0929 | 胸苷异构体 | 30mg/支 |
| BP0990 | 托品酸 | 50mg |
| BP1035 | 和厚朴酚 | 约20mg/支 |
| BP1179 | 汉黄芩素 | 20mg/支 |
| BP1338 | 派可林酸 | 20mg |
| BP1749 | 红霉素系统适用性对照品 | 100mg |
| BP2160 | 硫酸长春新碱 | 20mg/支 |
风险提示:丁香通仅作为第三方平台,为商家信息发布提供平台空间。用户咨询产品时请注意保护个人信息及财产安全,合理判断,谨慎选购商品,商家和用户对交易行为负责。对于医疗器械类产品,请先查证核实企业经营资质和医疗器械产品注册证情况。
文献和实验内总浓度介于10~20毫克/升。 胆盐 胆酸的牛磺酸结合物,在胆汁和肠内容物的pH6.0~7.7下为负离子,常以盐的形式存在。形成甘氨胆酸钠,牛磺胆酸钠。人体每天约有20~30克胆盐由肝分泌出来,而随粪便排出仅0.5~0.7克。95%以上胆盐在小肠吸收。3~4%进入结肠被细菌分解。 胆红素 (bilirubinin)为人和动物胆汁的主要色素。氧化成胆绿素,如鸟粪中即此。使肝胆汁呈金黄色,无消化机能。为网状内皮系统分解血红蛋白卟啉的产物,在肝内与葡萄糖醛酸结合而分泌
胰腺炎动物模型是研究胰腺炎发病机制及探讨临床治疗的最好的方法,但是由于不同类型的胰腺炎间其发病机制不同,对胰腺炎的发病机制还不清楚,所以没有一种很好的动物模型可以模拟人的胰腺炎。但自1856年Busnar-do等以胆汁和橄榄油混合液注射犬胰管,成功地诱导急性胰腺炎模型以来,经过一个多世纪的探讨,胰腺炎动物模型的制备方法主要有以下几种:1.牛磺胆酸钠造模1)模型建立方法:大鼠于术前12h禁食,自由饮水,戊巴比妥溶液2mg/100g体质量行腹腔内麻醉,固定。经上腹正中切口入腹,提起十二指肠以小号
成分 蛋白胨 5g 酵母浸膏 5g 甘露醇 5g 牛磺胆酸钠 1g 20%亚硒酸氢钠溶液 20mL 0.25mol/L磷酸盐缓冲液(pH7.0) 100mL 2%煌绿溶液 0.25mL 蒸馏水 900mL 制法 1 将前面四种成分溶解于蒸馏
技术资料暂无技术资料 索取技术资料









