相关产品推荐更多 >
万千商家帮你免费找货
0 人在求购买到急需产品
- 详细信息
- 文献和实验
- 技术资料
- 库存:
709
- 英文名:
Luteolin-7-O-β-D-glucuronide
- CAS号:
29741-10-4
- 保质期:
长期
- 供应商:
北京百奥莱博科技有限公司
- 保存条件:
冷处(2~10℃)
特别提示:包括木犀草素-7-O-β-D-葡萄糖醛酸苷在内,本公司的所有产品仅可用于科研实验,严禁用于临床医疗及其他非科研用途!
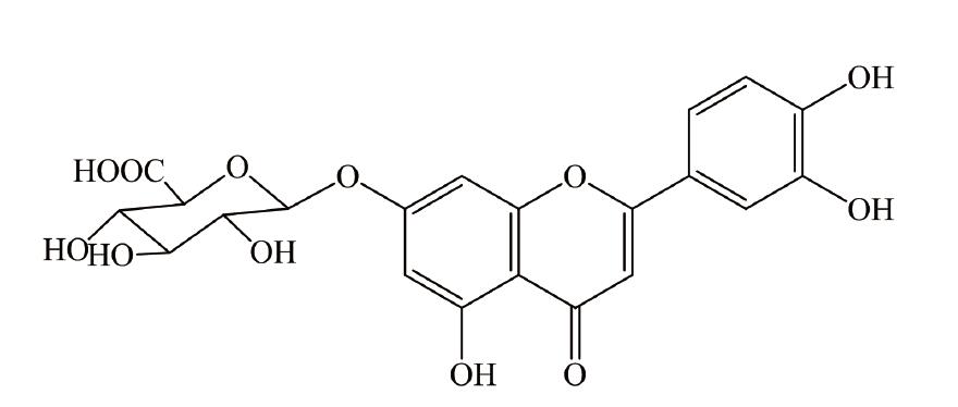
产品名称:木犀草素-7-O-β-D-葡萄糖醛酸苷
英文名称:Luteolin-7-O-β-D-glucuronide
产品规格:20mg/支
CAS#:29741-10-4
本品为木犀草素-7-O-β-D-葡萄糖醛酸苷化学对照品,供含量测定用,含量以97.7%计,使用前不需干燥处理。
CAS号:29741-10-4
分子式:C21H18O12
分子量:462.36
结构式:
包装:棕色安瓿瓶
规格:约20mg/支
储存条件:冷处(2~10℃)保存
注意事项:本品有引湿性,打开包装后一次使用完毕。本品须避光保存
风险提示:丁香通仅作为第三方平台,为商家信息发布提供平台空间。用户咨询产品时请注意保护个人信息及财产安全,合理判断,谨慎选购商品,商家和用户对交易行为负责。对于医疗器械类产品,请先查证核实企业经营资质和医疗器械产品注册证情况。
文献和实验邻硝基苯-β-吡喃半乳糖苷 O-nitrophenyl-β-D-galactopyranoside
缩写为 ONPG。是广泛利用于β -半乳糖苷酶活力测定的底物。水解后可游离出邻硝基酚,由于邻硝基酚在碱性条件下呈黄色( 420毫微米光吸收),所以容易进行比色定量。另外利用这种性质,还可用于分离各种代谢调节突变株。
为具有 O-β -D-葡萄糖醛酸基( 1→ 3) -N-乙酰基 -β -D-氨基葡萄糖基( 1→ 4)为单位的双糖重复结构的一种粘多糖。除见之于动物的关节液和眼球玻璃体等的分泌液、脐带、真皮表层等的结缔组织和 Rous肉瘤等某种肿瘤外,它还包括 A型、 C型链球菌属( Strepto-coceus)在内的某些细菌的荚膜成分。细菌透明质酸不与蛋白质结合,但动物组织中的透明质酸或多或少含有一些蛋白质,似乎以蛋白多糖和肽多糖的形态存在。不过与蛋白质部分结合的方式还不清楚。链
动物的肥大细胞合成的粘多糖的一种。原来是从肝中得到的抗凝血的物质。作为医药是由肠粘膜等加工而得到的不含蛋白的制剂,已知在生物体内是和其他粘多糖一样,是以与蛋白结合的蛋白聚糖形态而存在,但不象硫酸软骨素那样的细胞外间质成分,似乎可以说它是细胞内成分。肝素的抑制作用必须有辅助因子(co-factor),但它是靠与蛋白质或其他带正电荷的高分子电解质的结合性而实现的,例如凝血酶和肝素辅因子结合成复合体则起抑制凝固作用。多糖链是由L-艾杜糖醛酸、D-葡萄糖醛酸、D-葡萄糖胺组成,硫酸
技术资料暂无技术资料 索取技术资料










