相关产品推荐更多 >
万千商家帮你免费找货
0 人在求购买到急需产品
- 详细信息
- 文献和实验
- 技术资料
- 库存:
521
- 英文名:
Aurantio-obtusin
- CAS号:
67979-25-3
- 保质期:
长期
- 供应商:
北京百奥莱博科技有限公司
- 保存条件:
冷处(2-10℃)
特别提示:包括橙黄决明素在内,本公司的所有产品仅可用于科研实验,严禁用于临床医疗及其他非科研用途!
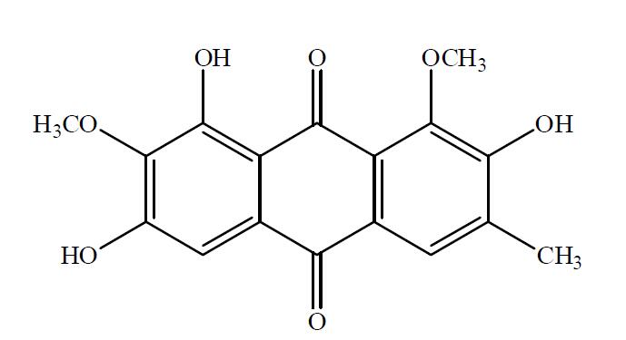
产品名称:橙黄决明素
英文名称:Aurantio-obtusin
产品规格:20mg/支
CAS#:67979-25-3
本品为橙黄决明素化学对照品,供含量测定用,含量以98.3%计,使用前不需干燥处理。
CAS号:67979-25-3
分子式:C17H14O7
分子量:330.29
结构式:
包装:棕色安瓿瓶
规格:约20mg/支
储存条件:冷处(2-10℃)保存
注意事项:本品有引湿性,建议打开包装一次性使用完。
风险提示:丁香通仅作为第三方平台,为商家信息发布提供平台空间。用户咨询产品时请注意保护个人信息及财产安全,合理判断,谨慎选购商品,商家和用户对交易行为负责。对于医疗器械类产品,请先查证核实企业经营资质和医疗器械产品注册证情况。
文献和实验又称甜橙。双子叶植物,芸香科。常绿小乔木。单身复叶,互生,叶片椭圆形,全缘,叶柄短,有窄翅,顶端有关节。花两性,白色,单生或数朵簇生于叶腋;萼片5枚,基部连合;雄蕊多数,花丝连合成数组,着生于花盘上;子房多室。柑果近球形,果皮橙黄色,粗糙,不易剥离。原产我国东南部,长江以南各省均有栽培。用种子、嫁接、压条等法繁殖。品种甚多,著名的有广东的新会橙;广东、福建和台湾的雪柑;四川江津的鹅蛋柑等,果实品质优良,耐贮藏。供生食及加工制橙汁和橙汁粉。橙皮可提橙油,供制香水、香料。橙皮又可药用
缩写为 CF 。与 N 5 - 甲酰 -5 , 6 , 7 , 8- 四氢叶酸相同。
从半知菌类丛梗孢属的Calcarisporium arbusc-ula 得到的一种抗菌素( C.L.Baldwin 等, 1964 )。分子式为 C 25 H 32 O 9 ,作用较弱,但有毒,动物的半致死量为 1 — 2 毫克 / 公斤。它可抑制线粒体的氧化磷酸化( H.A.Lardy , 1964 ),而利用于研究。认为其抑制并非脱偶联作用,与寡霉素的作用部位不同。
技术资料暂无技术资料 索取技术资料










