相关产品推荐更多 >
万千商家帮你免费找货
0 人在求购买到急需产品
- 详细信息
- 文献和实验
- 技术资料
- 库存:
大量
- 英文名:
Betaine hydrochloride
- CAS号:
590-46-5
- 保质期:
2年
- 供应商:
上海钰博生物科技有限公司
- 规格:
20mg
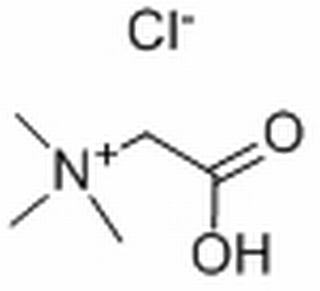
分子式:C5 H12 N O2 . Cl
分子量:
CAS号:590-46-5
纯度: HPLC≥98%
中文名称:盐酸甜菜碱
中文别名:甜菜碱盐酸盐,三甲铵乙内酯盐酸盐,三甲铵乙内酯盐酸盐,三甲铵乙内酯
英文名称:Betaine hydrochloride
英文别名: Betaine, hydrochloride (8CI); Methanaminium, 1-carboxy-N,N,N-trimethyl-, chloride (9CI); (Carboxymethyl)trimethylammonium
chloride; 1-Carboxy-N,N,N-trimethylmethanaminium chloride; Achylin; Acidin; Acidine; Acidogeno; Acidol; Acidol hydrochloride; Acinorm; Acipepsol;
Aciventral forte; Betaine chloride; Glycine betaine hydrochloride; Glycocoll betaine hydrochloride; Pluchine; Rubrine C hydrochloride; Trimethylglycine
hydrochloride; Trimethylglycine hydrochloride salt
分子式:C5 H12 N O2 . Cl
分子量:
CAS号:590-46-5
纯度: HPLC≥98%
外观:白色针晶粉
溶解性:易溶于水、乙醇,难溶于,遇碱反应
熔点: 241-242 °C
储存条件: 2-8°C,干燥、避光、密封
规格: 20mg 50mg 100mg 500mg 1g 2g等应客户需求包装.
提取来源:藜科植物甜菜的根
药理药效:其作为甲基供体,在动物代谢中起着重要作用,能促进脂肪代谢,具有抗脂肪肝、保护肾脏、降压、缓和应激、增进食欲、稳定维生素等作用,可用于胃酸缺乏、动脉粥样硬化、疼痛、风湿病、糖尿病等。甜菜碱还具有表面活性剂作用,对大肠杆菌、金黄色葡萄球菌、白色念珠菌等具有杀灭作用。并可预防球虫病。
用途: 用于含量测定、鉴别、药理实验、活性筛选等.药理药效:具有较强的利尿和镇痛作用
用途:用于含量测定、鉴别、药理实验、活性筛选等。
检测条件: 甲醇-0.1%磷酸水(40:60)为流动相(仅供参考)
质量检测:所有钰博生物产品均由经CNAS认可的实验室进行质量检测,分为以下3种方式:
①常规-质谱、氢谱、碳谱、高效液相色谱或气相色谱;
②溯源-数据溯源到国家法定的标准物质;
③定值-质量守恒原则检测水分、有机溶剂、无机杂质、有机成分。
目前产品有两个等级,即高纯度分析试剂级别和分析标准品级别。
高纯度分析试剂经过MS、NMR等结构确认及HPLC或GC纯度分析(面 积归一化法);
分析标准品经过MS、NMR等结构确认,并采用溯源法,即溯源至国家标准物质或采用质量守恒法进行定值,提供准确的含量数据。
1.对照品的选择原则
对照品的选择原则包括物质稳定性以及参比物质和测定物质的同质性。
例如:克拉维酸的对照品为克拉维酸锂,实际被测物为克拉维酸钾。用阿莫西林三水合物制备阿莫西林对照品而不用一水合物或阿莫西林制备。但是目前研发员对对照品的选择、制备和标化重视程度尚不足,造成同一个品种可能具有不同成盐形式、含不同结晶水,不同晶型的对照品。由于上述不同,某些晶型或者某些成盐形式的药物由于其不稳定性而不适宜制备成为对照品,但仍然发现个别研发员选择了不稳定形式作为对照品。
其次,在对照品选择时应该充分关注不同盐基、酸根的不同用途。比如头孢替坦二钠,由于成盐的缘故,头孢替坦与头孢替坦二钠的红外图谱肯定存在不同。但是某些申请人仍采用头孢替坦对照品进行红外鉴别。
红外鉴别是抗生素的常规鉴别方法,由于抗生素常常具不同的晶型,因此在使用对照品进行鉴别试验时,要考虑对照品和供试品的晶型是否一致,并注意是否与供试品生产工艺采用的精制方法一致。以避免在研究或者药检所复核时出现不一致现象。
2.对照品的制备、标化和质量要求
由于来源、选择、制备和质量标准的不同,造成目前在对照品质量控制方面存在不统一现象。所以研发员在对照品选择时要和对照品厂家充分沟通,交流清楚。避免选用了不符合自己要求的试剂。公司提供的中药对照品在这方面做的不错,可以满足各种需求。
3.对照品使用时需要注意的细节
由于对照品的用途繁多,在使用时有些研发人员存在用同一对照品作不同目的。在实际使用中发现部分研发员混杂使用同一对照品,将含量测定用对照品用于鉴别,鉴别用对照品用于含量测定。最后导致实验结果不准确。
另外需要注意所选的药品标准物质稳定性和数量应满足整个实验计划的需要,已超过稳定期的标准物质不能使用。另外,美国药典的对照品没有有效期,但美国药典会每2月一期的药典论坛随时发布最新批号的对照品,而在美国药典实验室内,不断地对留样对照品进行监控,保证对照品的有效。
风险提示:丁香通仅作为第三方平台,为商家信息发布提供平台空间。用户咨询产品时请注意保护个人信息及财产安全,合理判断,谨慎选购商品,商家和用户对交易行为负责。对于医疗器械类产品,请先查证核实企业经营资质和医疗器械产品注册证情况。
文献和实验为三烷基氨基酸之总称,系含四级铵的两性电解质。特别是也有把三甲甘氨酸( timethyl glycine)称为甜菜碱的。甜菜碱广泛存在于生物体内,在甜菜的糖浆中含量很多,它是从胆碱经两个阶段的脱氢酶反应而生成的。由专一的甲基转移酶将甲基转移给同型半胱氨酸而形成蛋氨酸,其本身则变为 N, N-二甲甘氨酸。这里经过两个阶段的氧化,甲基作为甲醛的形式而分离,再经甲氨基乙酸( N-甲甘氨酸)变为甘氨酸。
。同时,它的一些特殊生理生化功能, 随着研究的不断的深入,也逐渐体现出来,并得到广大养殖者的认同。 2、作用机理 甜菜碱又名三甲基甘氨酸, 分子式为C5H11NO2, 分子量117.15,属季胺类生物碱。甜菜碱纯品为白色晶体,有甜味和特殊的蛋白质味;纯品甜菜碱极易潮解,而盐酸盐不易潮解;甜菜碱属无毒物,半数致死量为18.14g/kg。甜菜碱的分子结构具有独特性,一是电荷在分子内的分布呈中性,二是它含有三个活性甲基,这种结构上的特殊性决定了甜菜碱的性质和在动物营养代谢上的独特功能。 甲基是动物
wangruimishu 哪位高手知道MTT实验如果用盐酸异丙醇溶解结晶的话,浓度该是多少呢?多谢赐教!! ylhuang0502 酸化异丙醇(0.1N HCL+无水异丙醇) 详细步骤可参见: http://www.biotf.cn/read-htm-tid-221-page-e-fpage-1.html cyclin 很不错的东西 wangruimishu
技术资料暂无技术资料 索取技术资料










