相关产品推荐更多 >
万千商家帮你免费找货
0 人在求购买到急需产品
- 详细信息
- 文献和实验
- 技术资料
- 库存:
382
- 英文名:
Cell Mitochondria Isolation Kit
- 保质期:
一年
- 供应商:
北京百奥莱博科技有限公司
- 保存条件:
-20℃
特别声明:本产品及我公司所售其他产品均为科研类试剂产品,严禁用于药物、医疗及其他非科研用途。
北京百奥莱博专业生产销*(代"售")细胞线粒体纯化试剂盒厂家直销,我公司供应的分子生物学试剂品类齐全,且具有优势价格,欢迎新老客户垂询订购。
名称:细胞线粒体纯化试剂盒厂家直销
编号:YT043
规格:50-100次
英文名:Cell Mitochondria Isolation Kit
品牌:百奥莱博
产地:北京
本试剂盒用于快速便捷分离培养细胞线粒体,在分离线粒体的同时可以获得去除线粒体的细胞浆蛋白,可用于研究细胞色素c等线粒体蛋白向胞浆的释放。
使用本试剂盒分离获得的线粒体纯度较高,并且绝大部分分离获得的线粒体都含有完整的内膜和外膜,并具有线粒体的生理功能。因此本试剂盒分离得到的线粒体可以用于线粒体的生理功能等方面的研究。例如可以使用百奥莱博的YT148线粒体膜电位检测试剂盒(JC-1)测定分离得到的线粒体的膜电位。
本试剂盒分离得到的线粒体也可以被试剂盒中的线粒体裂解液或其它适当裂解液裂解后用于SDS-PAGE、Western、双向电泳等蛋白分析。
本试剂盒提供了线粒体制备过程中匀浆程度的重要判断指标,即台盼蓝染色,使分离得到的线粒体的质量更加有保证。台盼蓝染色液为选用试剂,在实验条件成熟后可以不必使用。
本试剂盒提供了蛋白酶抑制剂PMSF,使匀浆时蛋白酶的活性被适当抑制,这样在获得线粒体的同时还可以获得有时有用的去除了大量线粒体的蛋白,在进行蛋白或酶活分析时可以作为对照。如果每个样品的细胞数量为2000-5000万,本试剂盒可以处理50-100个样品。
试剂盒组份:
线粒体分离试剂———125ml
台盼蓝染色液————10ml
线粒体储存液————15ml
线粒体裂解液————15ml
PMSF(晶体)—————可配制1.5ml 100mM PMSF
PMSF(溶剂)—————1.5ml
注意事项:
1. 试剂盒中的试剂对于不同的实验目的不必全部使用。
2. 如果不是用于制备线粒体蛋白样品,线粒体分离试剂和线粒体裂解液中不必加入PMSF。
3. 如果用于制备线粒体蛋白样品,线粒体分离试剂和线粒体裂解液中需添加PMSF。PMSF一定要在线粒体分离试剂或线粒体裂解液加入到样品中前2-3分钟内加入,以免PMSF在水溶液中很快失效。
4. 分离线粒体的所有步骤均需在冰上或4℃进行,所用溶液需冰浴或4℃预冷。
5. 通常在分离线粒体时前后两次离心速度选取600g和11,000g,如果希望纯度更高,但对线粒体的得率要求不高,前后两次离心速度可以采用1000g和3500g。
6. 台盼蓝与PMSF对人体有毒,请注意小心防护。
储存条件:-20℃,有效期一年。

细胞线粒体纯化试剂盒厂家直销极具性价比,此外,我公司正火爆促销以下产品:
·AP标记山羊抗小鼠IgG(H+L)
编号:YT851
英文名称:AP-labeled Goat Anti-Mouse IgG(H+L)
规格:0.5ml
本抗体是碱性磷酸酶标记的山羊抗小鼠二抗,是用于Western、ELISA和IHC等的高纯度高特异性二抗。
宿主:山羊
用途:WB,ELISA,IHC
WB:1:500-5000
ELISA:1:500-5000
IHC:1:500-2000
碱性磷酸酯酶(Alkaline Phosphatase, AP/ALP/AKP/ALKP/ALPase/Alk Phos)常被称作碱性磷酸酶(EC 3.1.3.1),是一类水解酶,通过水解磷酸单酯将底物分子上的磷酸基团除去,并生成磷酸根离子和自由的羟基,其去磷酸化作用的底物包括蛋白质、核苷酸和生物碱等,并在碱性条件下最为有效。该酶是一组同功酶的统称。常见的小牛肠碱性磷酸酶(Calf Intestinal Alkaline
Phosphatase, CIAP/CIP)被广泛用于二抗等的标记最终用于蛋白和核酸等的检测,例如在Western、ELISA、IHC、ICC、
Northern、Southern等时,催化BCIP/NBT等显色试剂显色或催化适当的化学发光试剂产生化学发光。本产品标记的就是小牛肠碱性磷酸酶。
本抗体为用纯化的小鼠IgG免疫山羊,然后用亲和纯化柱对获得的抗血清进行纯化,并经过人、牛、马、兔和猪IgG吸附纯化的优质二抗。对人、牛、马、兔和猪的IgG几乎没有结合能力
本碱性磷酸酯酶标记山羊抗小鼠IgG(H+L)用于WB、ELISA和IHC的推荐稀释比例参考上表,实际实验操作过程中需根据抗原和抗体的具体情况适当调节二抗的稀释比例。
本抗体如果用于常规的Western检测,以每次检测需10毫升1:1000稀释的二抗计,可以检测50次。
储存条件:-20℃,有效期一年。
细胞线粒体纯化试剂盒厂家直销关键词:YT043,细胞线粒体纯化试剂盒,Cell Mitochondria Isolation Kit

SY0323 蛋白酶抑制剂Cocktail,EDTA-free,迷你型,片剂 Protease Cocktail, EDTA-free, mini, tablet-form
SV0043 AlwNI限制性内切酶 AlwNI Restriction Endonuclease
BTN130525 蛋白*(代"磷")酸酶抑制剂混合液Ⅱ Phosphotase Inhibitor Cocktail 2
HR0127 固定细胞蛋白提取试剂盒 Fixed cell protein extraction kit
YT915 中性红染色液(活细胞染色用) Neutral Red Staining Solution(Living cell staining)
YT059 快速银染试剂盒 Fast Silver Stain Kit
BTN80202 PAGE胶DNA柱式回收试剂盒 DNA column recovery kit for PAGE gel
SV1474 T7 表达 lysY E. coli 感受态细胞 ( 高效级 )
YT259 STAT5凝胶迁移探针(10μM) STAT5 Probe For EMSA(10μM)
KFS338 细胞毒性(死细胞)荧光检测试剂盒(FM、HCS法)
SY0585 细胞膜红色荧光探针 DiD Perchlorate (DiIC18(5))
SV0734 StuI限制性内切酶 StuI Restriction Endonuclease
WE0248 DNA快速连接试剂盒 Quick DNA Ligation Kit
细胞线粒体纯化试剂盒厂家直销关键词:YT043,细胞线粒体纯化试剂盒,Cell Mitochondria Isolation Kit

·细胞内*离子荧光探针(Fluo-4 AM)
编号:YT948
英文名称:Intracellular calcium fluorescence probe
规格:25微升
本品是最常用的检测细胞内*离子浓度的荧光探针之一.用于细胞内*离子检测时,Fluo-4 AM的常用浓度为0.5-5μM。通常用含有0.5-5μM的Fluo-4 AM的适当溶液和细胞一起在20-37℃孵育10-60分钟进行荧光探针装载,随后适当洗涤,洗涤后可以考虑适当再孵育20-30分钟以确保Fluo-4 AM在细胞内充分转变成Fluo-4。本Fluo-4 AM(*离子荧光探针) 是配制于无水DMSO (anhydrous DMSO)中的储存母液,浓度为2mM。
分子式:C51H50F2N2O23
分子量:1096.95
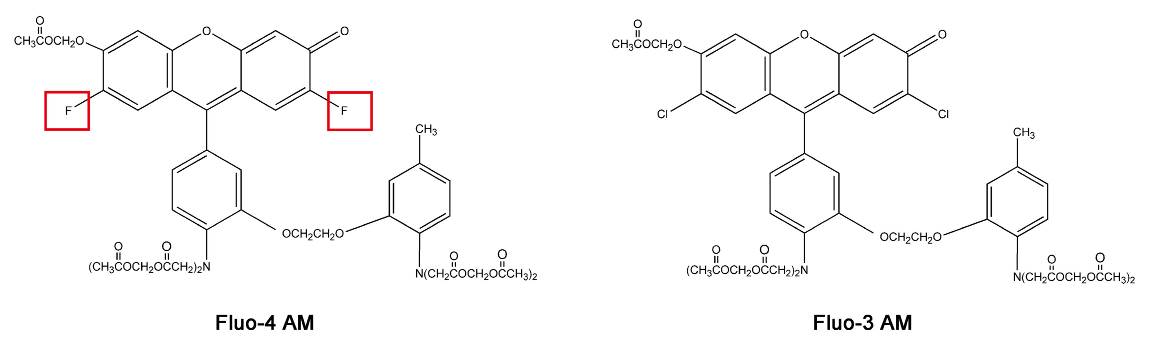
Fluo-4 AM在Fluo-3 AM的基础上改进而成,其特点是加载更快并且在相同条件下荧光更加明亮。Fluo-4 AM将Fluo-3 AM结构中的*原子替换成了*原子,导致它的最大激发波长会向短波长处偏离12nm左右。这个波长更接近于氩激光器的波长488nm,所以用氩激光器激发时,Fluo-4的荧光强度会比Fluo-3强一倍。由于Fluo-4与*离子的亲和力和Fluo-3相近,所以使用上和Fluo-3也基本相同,可以使用激光共聚焦显微镜、荧光酶标仪等荧光检测仪器来测定细胞内*离子浓度的变化。Fluo-4 AM和Fluo-3 AM的结构式参考下图。

Fluo-4 AM是Fluo-4的乙酰甲酯衍生物,是一种可以穿透细胞膜的荧光染料。Fluo-4 AM的荧光非常弱,其荧光不会随*离子浓度升高而增强。Fluo-4 AM进入细胞后可以被细胞内的酯酶剪切形成Fluo-4,从而被滞留在细胞内。Fluo-4可以和*离子结合,结合*离子后可以产生较强的荧光,最大激发波长为494nm,最大发射波长为516nm。实际检测时推荐使用的激发波长为488nm左右,发射波长为512-520nm。Fluo-4的激发光谱和发射光谱参考下图。

注意事项:
1. Fluo-4 AM遇水极易分解,建议第一次使用时,母液分装并密封保存,同时注意保持干燥。
2. Fluo-4 AM在4℃、冰浴等较低温度情况下会凝固而粘在离心管管底、管壁或管盖内,可以20-25℃水浴温育片刻至全部融解后使用。
3. 探针的工作浓度、细胞量、孵育温度和时间等需要根据不同实验预先摸索。
4. 荧光染料均存在淬灭问题,请尽量注意避光,以减缓荧光淬灭。
储存条件:-20℃,有效期6个月。

我公司强烈推荐蛋白质研究系列产品,热情期待您的咨询选购细胞线粒体纯化试剂盒厂家直销。
风险提示:丁香通仅作为第三方平台,为商家信息发布提供平台空间。用户咨询产品时请注意保护个人信息及财产安全,合理判断,谨慎选购商品,商家和用户对交易行为负责。对于医疗器械类产品,请先查证核实企业经营资质和医疗器械产品注册证情况。
文献和实验; 2)出汁率:300~400 mL/kg; 3)推荐榨汁机:手摇式碾磨榨汁机; 4)果实质量参考:70 g 左右果实(不包括果皮),榨汁处理后得到 20~30 mL 原汁,按推荐试剂盒进行前处理后,浓缩 50 倍,最终可获得 400 μL 左右的植物囊泡。 5)处理: ① 薄皮果实洗净后,将果实切小块直接榨汁; ② 厚皮果实(如柠檬)的果皮出汁量较低且含有大量杂质,需要去皮后切小块再榨汁。 6)提取试剂盒推荐:宇玫博 UR5220 植物囊泡提取纯化试剂盒(多汁植物)。 2. 花/叶:如玫瑰、芦荟
糖凝胶上检测分析。如图一所示 图一:2.2 超声破碎后,8000g,30秒,4°C,离心。将上清移入新的管子中。开始准备进行染色质免疫共沉淀(IP)。2.3 每份超声样品取50ul,这时的样品标记为INPUT,用于定量DNA浓度和作为PCR的空白对照。超声后的染色质应立刻冻入液氮中或者储存于-70°C可储存2个月。避免多次反复冻融。3检测DNA浓度1INPUT样品用于为后来的IP样品计算DNA浓度。DNA可采用PCR纯化试剂盒(加入70ul洗脱液,接着进入3.2a)或者采用酚/氯仿抽提(加入350ul
以下检测方法:1、线粒体功能2、DNA Cycle3、Caspases4、Annexin V Assay5、DNA Fragmentation Assays基本上涵盖了细胞凋亡的各个期,对各种检测方法的原理和特点做一个简单介绍。线粒体功能检测的试剂盒有深圳达科为公司代理的试剂盒(产品编号为BVK250)和BD公司出售的盒Apo-Alert试剂盒。其检测主要采用阳离子型荧光染料。原理是:正常细胞中,染料可以在线粒体内聚集,发出明亮的红色荧光;而细胞凋亡后,其线粒体膜电位发生改变,染料无法进入线粒体,只能
技术资料暂无技术资料 索取技术资料










