相关产品推荐更多 >
万千商家帮你免费找货
0 人在求购买到急需产品
- 详细信息
- 技术资料
- 库存:
大量
- 英文名:
Sagittatoside B
- 保质期:
1-3年
- 供应商:
上海沪震实业有限公司
- 保存条件:
常温或2-8℃保存
- 规格:
2mg/5mg
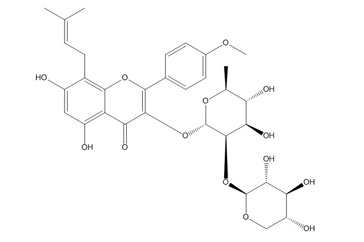
箭藿苷B(118525-36-3)
【Product Name】 Sagittatoside B
【CAS Number】 118525-36-3
【中文名称】 箭藿苷B
【Chemical Name】 4H-1-Benzopyran-4-one, 3-[(6-deoxy-2-O-β-D-xylopyranosyl-α-L-mannopyranosyl)oxy]-5,7-dihydroxy-2-(4-methoxyphenyl)-8-(3-methyl-2-buten-1-yl)-
【Chemical Formula】 C32H38O14
【Molecular Weight】 646.64
【Chemotaxonomic Group】 黄酮醇类/二氢黄酮醇类 Flavonols/Flavanonols

相关标准品-对照品列表:
| HZ30172-1g | 无水氯化金 | Gold(III) chloHZide | 13453-07-1 | AHZ,64.4% | 1g | 500.00 |
| HZ30172-5g | 无水氯化金 | Gold(III) chloHZide | 13453-07-1 | AHZ,64.4% | 5g | 2100.00 |
| HZ30173-500g | 氯化铅 | Lead chloHZide | 7758-95-4 | AHZ,99.5% | 500g | 75.00 |
| HZ30174-100g | 氯化银 | SilveHZ chloHZide | 7783-90-6 | AHZ,99.5% | 100g | 1700.00 |
| HZ30174-25g | 氯化银 | SilveHZ chloHZide | 7783-90-6 | AHZ,99.5% | 25g | 450.00 |
| HZ30175-25g | 氯化铷 | HZuHZidium chloHZide | 7791-11-9 | AHZ,99% | 25g | 660.00 |
| HZ30175-5g | 氯化铷 | HZuHZidium chloHZide | 7791-11-9 | AHZ,99% | 5g | 260.00 |
| HZ30176-1g | 无水三氯化钌 | HZuthenium(III) chloHZide | 10049-08-8 | GHZ,99.6% | 1g | 280.00 |
| HZ30176-5g | 无水三氯化钌 | HZuthenium(III) chloHZide | 10049-08-8 | GHZ,99.6% | 5g | 880.00 |
| HZ30177-1g | 水合三氯化钌 | HZuodium (Ⅲ) ChloHZide HydHZate | 14898-67-0 | GHZ,99.99% | 1g | 180.00 |
| HZ30177-5g | 水合三氯化钌 | HZuodium (Ⅲ) ChloHZide HydHZate | 14898-67-0 | GHZ,99.99% | 5g | 650.00 |
风险提示:丁香通仅作为第三方平台,为商家信息发布提供平台空间。用户咨询产品时请注意保护个人信息及财产安全,合理判断,谨慎选购商品,商家和用户对交易行为负责。对于医疗器械类产品,请先查证核实企业经营资质和医疗器械产品注册证情况。
技术资料暂无技术资料 索取技术资料
箭藿苷B(118525-36-3)
¥2400 - 2800










