相关产品推荐更多 >
万千商家帮你免费找货
0 人在求购买到急需产品
- 详细信息
- 文献和实验
- 技术资料
- 库存:
531
- 英文名:
Olmesartan Medoxomil Impurity
- 保质期:
长期
- 供应商:
北京百奥莱博科技有限公司
特别声明:本产品及我公司所售其他产品均为科研类试剂产品,严禁用于药物、医疗及其他非科研用途。
百奥莱博公司致力于为全国科研单位提供药典标准品、对照品、标准溶液、标准样品、对照培养基、国家标准品等可靠标准物质,其中北京RNH-奥美沙坦酯杂质标准品厂家的品质过硬,在广大科研人员中有口皆碑!
名称:北京RNH-奥美沙坦酯杂质标准品厂家
英文名:Olmesartan Medoxomil Impurity
编号:BP0420
规格:50mg
产地:国产|进口
品牌:百奥莱博
本品为RNH-6270(奥美沙坦酯杂质),供检查用。按C24H26N6O3计,含量为100.0%。
分子式:C24H26N6O3
分子量:446.51
包装及装量:棕色小瓶,每瓶约50毫克
储存条件:遮光,密封,置阴凉干燥处保存
注意事项:使用前不需干燥处理。
更多有关北京RNH-奥美沙坦酯杂质标准品厂家的价格及使用说明等,请联*(代"系")我们的业务经理王欣女士咨询,我公司还销*(代"售")以下产品:
·黏菌素
编号:BP1559
英文名称:Colistin
规格:200mg
本品为黏菌素标准品,供抗生素微生物效价测定用,使用前不需干燥处理。
CAS号:1264-72-8
包装:棕色安瓿
规格:约200毫克/支
储存条件:2-8℃保存
·金橙Ⅱ
编号:BP1348
英文名称:OrangeⅡ
规格:约20mg/支
本品为供金橙Ⅱ对照试剂,供检查对照用。
分子式:C16H11N2NaO4S
分子量:350.32
结构式:

包装及装量:棕色瓶,约20mg/支
储存条件:干燥密闭保存
注意事项:使用前无需处理
·3,4,5-三甲氧基*甲*(代"酸")
编号:BP0477
英文名称:3,4,5-Trimethoxybenzoic Acid
规格:50mg/支
本品为3,4,5-三甲氧基*甲*(代"酸")化学对照品,使用前不需要干燥处理,供HPLC法检查用,按C10H12O5计,含量为99.9%。
CAS号:118-41-2
分子式:C10H12O5
分子量:212.20
结构式:

包装:棕色西林瓶。
规格:50毫克/支。
储存条件:遮光,密封保存。
·三*双脒
编号:BP0472
英文名称:Tribendinidin
规格:50mg
本品为3,4,5-三甲氧基*甲*(代"酸")化学对照品,使用前不需要干燥处理,供HPLC法检查用,按C10H12O5计,含量为99.9%。
CAS号:118-41-2
分子式:C10H12O5
分子量:212.20
结构式:

包装:棕色西林瓶。
规格:50毫克/支。
储存条件:遮光,密封保存。
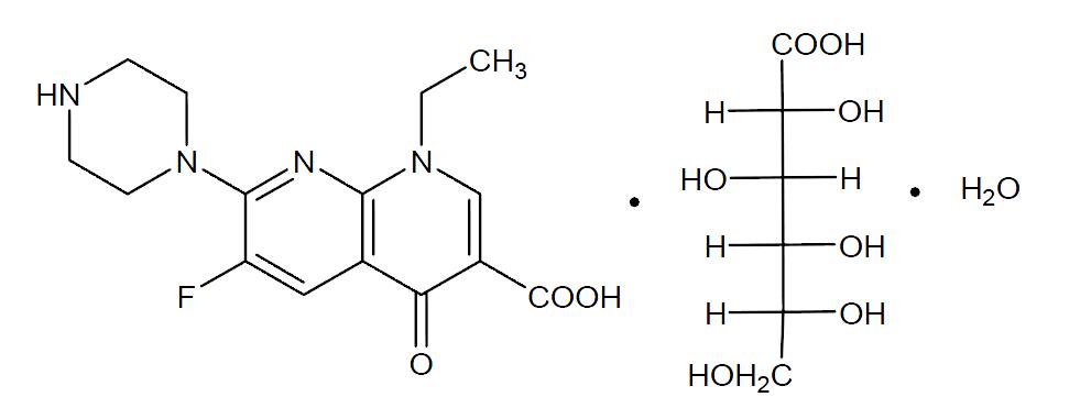
·葡萄糖酸依诺沙星
编号:BP1717
英文名称:Tribendinidin
规格:100mg
本品为葡萄糖酸依诺沙星化学对照品,供红外鉴别用,使用前不需干燥处理。
分子式:C15H17FN4O3·C6H12O7·H2O
分子量:534.50
结构式:

包装:白色安瓿
规格:约100毫克/支
储存条件:2-8℃保存
北京RNH-奥美沙坦酯杂质标准品厂家关键词:BP0420,Olmesartan Medoxomil Impurity,RNH-奥美沙坦酯杂质
RNH-奥美沙坦酯杂质现货供应,凡在我公司购买该产品均可享受免费的技术咨询服务,年中降价>>低价格促销:elisa试剂盒,Amrecso原装试剂、抗体、等相关试剂,产品品种齐全,价格优惠。产品质量,服务质量均是一流,您尽可放心购买!
·胸苷异构体
编号:BP0929
英文名称:3′-epithymidine
规格:30mg/支
·月见草油
编号:BP1271
英文名称:Evening Primyrose Oil
规格:0.2ml
·白鲜碱
编号:BP1267
英文名称:Dictamnine
规格:20mg
·*苄西林
编号:BP1596
英文名称:Ampicillin
规格:100mg
本品为*苄西林对照品,供高效液相含量测定用,含量以*苄西林(C16H19N3O4S)计,使用前不需干燥处理。
使用方法:精密称取本品适量,按相关质量标准规定,溶解并稀释至所需浓度的溶液,立即使用。
储存条件:置4℃以下低温避光保存。
·地红霉素
编号:BP1663
英文名称:Dirithromycin
规格:100mg
本品为地红霉素化学对照品,供高效液相含量测定用,含量以16R-地红霉素(C42H78N2O14)计。
使用方法:使用前不需要干燥处理。精密称取适量,按质量标准规定的方法,配制至所需浓度的对照品溶液,立即使用。
储存条件:置5℃以下条件低温避光保存。启开安瓿后严密保持干燥,以防吸水。
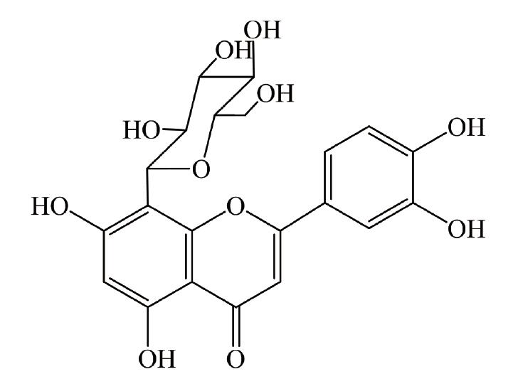
·荭草苷
编号:BP1356
英文名称:Orientin
规格:20mg
本品为荭草苷化学对照品,供鉴别和含量测定用,含量以97.9%计。
CAS号:28608-75-5
分子式:C21H20O11
分子量:448.38
结构式:

包装及装量:棕色瓶,约20mg/支
储存条件:常温干燥、密闭遮光保存
注意事项:置五氧化二磷减压干燥器中干燥12小时以上后使用。
北京RNH-奥美沙坦酯杂质标准品厂家关键词:BP0420,Olmesartan Medoxomil Impurity,RNH-奥美沙坦酯杂质
RNH-奥美沙坦酯杂质等试剂产品的使用注意事项:
(1)、所有试剂、溶液以及样品的包装上必须要有标签。标签要完整、清晰,表明试剂的名称、规格、质量。
(2)、溶液除了表明品名外,还应表明浓度、配置日期等。万一标签脱落,应照原样贴牢。决定不允许在容器内装入与标签不相符的物品。
(3)、无标签的试剂必须取小样检定后才可使用。不能使用的化学试剂要慎重处理,不能随意乱倒。为了保证试剂不受污染,应当用清洁的牛角勺或不锈钢小勺从试剂瓶中取出试剂,绝不可以用手抓取。若试剂结块,可用洁净的玻璃棒或瓷药铲将其捣碎后取出。
(4)液体试剂可用洗干净的量筒到取,不要用吸管伸入原试剂中吸取液体。从试剂瓶中取出的、没有用完的声誉药品,不可再倒回原瓶。
ARB11278 人骨粘连蛋白(ON)酶标法分析 Human osteonectin,on ELISA KIT
D-丙*酸 DNA Na 338-69-2
ARB11070 人轮状病毒抗体(RV-Ab)Elisa定量检测
F030803 BIOTIN标记小鼠抗人IgG Fab抗体 Monoclonal Mouse Anti-Human IgG Fab*BIOTIN
BTN131159 荧光素555标记山羊抗兔IgG Goat Anti-Rabbit IgG ,IF555 Conjugate
HC0024 (正方斜口)细胞培养瓶
Triton X-100细胞裂解液 100ml
肌酸酶 Econazole nitrate 37340-58-2
67-68-5 DMSO 二甲基亚砜
ARB11102 人金属硫蛋白2(MT2)检测服务 Human metallothionein 2,mt2 ELISA KIT
ARB10751 人抑制素A(INH-A)酶联免疫定量检测 Human inhibin,inh-a ELISA KIT
BTN70908 DNA PAGE胶回收试剂盒 PAGE DNABACK
固红GG盐 Ferrozine mono-sodiu*(代"m") salt 456-27-9
邻联茴香胺盐*(代"酸")盐 Chlorophyll A 20325-40-*(代"0")
我公司倾力为客户提供最优 、最全、最有效的RNH-奥美沙坦酯杂质等科研试剂产品,质量被全国各大院校科研机构认可。 同时,我们售前,售中,售后全程为您服务。欢迎来电咨询!
北京百莱博科技有限公司专业生产供应销*(代"售")生物试剂、化学试剂、抗原抗体、血清血浆、Elisa试剂盒,更多试剂产品需求,欢迎来电咨询选购北京RNH-奥美沙坦酯杂质标准品厂家。
风险提示:丁香通仅作为第三方平台,为商家信息发布提供平台空间。用户咨询产品时请注意保护个人信息及财产安全,合理判断,谨慎选购商品,商家和用户对交易行为负责。对于医疗器械类产品,请先查证核实企业经营资质和医疗器械产品注册证情况。
文献和实验随着社会不断发展进步,人们对环境的要求越来越高,环保标准日益严格,尤其是人们对食品和药品的安全卫生情况高度关注,要求也异常严格。这就要求气相色谱与其它分析方法一样朝更高灵敏度、更高选择性、更方便快捷的方向发展。 北京兰德梅克科技开发有限公司作为软包装专业检测仪器的生产商,顺应行业的发展要求,为广大软包装生产厂家谋求利益,致力于不断改进和开发新的性能优越的高科技产品。最新研发成功的2061C型气相色谱仪,体现了气相色谱的发展方向。 (1)自动化程度进一步
性质稳定,且对浓度准确度要求不是太高的溶液,可长期保存使用。像福尔马林、生理盐水、CMC-Na溶液。 按其纯度可分为: 化学纯:一般化学实验用的,含少量杂质.纯度一般应在98%以上. 分析纯:做分析实验用的,含微量杂质,纯度一般应在99%以上.缩写: A.R 色谱纯:液相流动相的要求.据本人理解应是不出现杂峰.纯度可能在99.9%. 生化纯:好像在一些生化试剂里有这么写的.缩写:B.R 要注意的是,有些厂家有标明 优级纯(G
为1.5%合格。在这种情况下,就指标成分来说是合格的,但是降解后的产物算是杂质吗? 如果降解后的产物有一定的副作用,在新药申报时,国家对这个有没有一定的要求? 12.还有几个问题要请教: (1). 在申报复方中药时,在方法验证过程中,对药材是不是也要进行验证?药材的检测方法都是按照药典要求的。如果要验证,都要做哪些? (2).在耐用性检查时,流动相比例变化、检测波长、色谱柱厂家等,有没有硬性规定一定要变,最少变动几个因素
技术资料暂无技术资料 索取技术资料










