万千商家帮你免费找货
0 人在求购买到急需产品
- 详细信息
- 文献和实验
- 技术资料
- 库存:
238
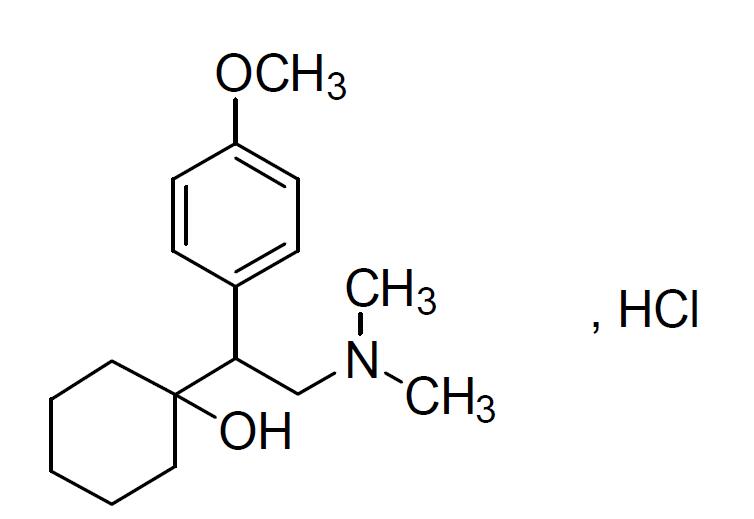
- 英文名:
(+)-trans-paroxetine
- 保质期:
长期
- 供应商:
北京百奥莱博科技有限公司
特别声明:本产品及我公司所售其他产品均为科研类试剂产品,严禁用于药物、医疗及其他非科研用途。
北京百奥莱博公司供应包括反式帕罗西汀标准品说明书在内的化学标准品,化学对照品,杂志对照品,HPLC标准品,UV标准品等高品质标准品、对照品
名称:反式帕罗西汀标准品说明书
品牌:百奥莱博
规格:50mg
英文名:(+)-trans-paroxetine
编号:BP0831
本品为反式帕罗西汀化学对照品,供HPLC法系统适用性试验用。
分子式:C19H20FNO3
分子量:329.37
包装及装量:棕色小瓶装,每支约50毫克。
储存条件:遮光,密封保存。
注意事项:使用前不需干燥处理。
我公司的反式帕罗西汀标准品说明书,性价比高,货期短,送货上门,欢迎您来电咨询购买,另外,我公司还生产供应销*(代"售")下列产品:
·赖*匹林
编号:BP0403
英文名称:Lysine Acetylsalicylate
规格:100mg/支
本品为赖*匹林化学对照品,使用前不需干燥处理。供UV法测定,按C15H22N2O6计,含量为99.9%。
分子式:C15H22N2O6
分子量:326.36
CAS号:62952-06-1
包装:安瓿装
装量:约100mg/支
储存条件:遮光,密封,-20℃保存
·盐*(代"酸")文拉法辛
编号:BP0413
英文名称:Venlafaxine Hydrochloride
规格:100mg
本品为盐*(代"酸")文拉法辛化学对照品,供HPLC法鉴别、溶出度检查和含量测定时,作对照用。含量以C17H27NO2 · HCl计,为99.9%。
分子式:C17H27NO2 · HCl
结构式:

分子量:313.87
CAS号:99300-78-4
包装:棕色西林瓶
规格:每支约100mg
储存条件:室温,密闭遮光保存
注意事项:本品使用前不需要
·二甲基甲酰胺
编号:BP1243
英文名称:Dimethyl fornamide
规格:0.5ml
本品为二甲基甲酰胺化学对照品,供气相内标用。
分子式:C3H7NO
分子量:73.1
包装及装量:安瓿瓶。
储存条件:干燥密闭保存。
注意事项:使用前无需处理。
反式帕罗西汀标准品说明书关键词:反式帕罗西汀,(+)-trans-paroxetine,BP0831
我公司依托国内外技术研发人才的优势,公司的销*(代"售")额保持高速增长,企业规模不断扩大,拥有专业的技术研发团队,长期致力于ELISA试剂盒、生物试剂(包括)的研发,为客户提供引物设计与合成、免疫组化、PCR定量服务等一系列实验代测服务。
·沙利度胺
编号:BP0391
英文名称:Thalidomide
规格:100mg/支
本品为沙利度胺化学对照品,供HPLC法测定,按C13H10N2O4计,含量为100.0%。
分子式:C13H10N2O4
分子量:258.23
CAS号:50-35-1
包装及装量:棕色小瓶装,每支约100毫克。
储存条件:遮光,密封保存。
注意事项:105℃干燥2小时后使用。
·5’-羟基吲哚乙酸
编号:BP1868
英文名称:5"-Hydroxyindole-3-acetic acid
规格:10mg/支
本品为5"-羟基吲哚乙酸化学对照品,供尿多酸肽鉴别与含量测定用。使用前不需干燥处理。
分子式:C10H9NO3
分子量:191.18
结构式:

包装:西林瓶
规格:每支约10mg
储存条件:密封4℃保存
·盐*(代"酸")布比卡因
编号:BP0756
英文名称:Bupivacaine Hydrochloride
规格:100mg
本品为盐*(代"酸")布比卡因一水合物,供HPLC法鉴别及含量测定时,作对照用。本品使用前不需要干燥,可直接使用。用于HPLC法时含量以C18H28N2O·HCl计为95.0%。
CAS号:14252-80-3
分子式:C18H28N2O·HCl·H2O
分子量:342.91
包装:棕色西林瓶
规格:每支约100mg
储存条件:室温,密闭遮光保存
·盐*(代"酸")多沙普仑
编号:BP0058
英文名称:Doxapram Hydrochloride
规格:50mg
本品为盐*(代"酸")布比卡因一水合物,供HPLC法鉴别及含量测定时,作对照用。本品使用前不需要干燥,可直接使用。用于HPLC法时含量以C18H28N2O·HCl计为95.0%。
CAS号:14252-80-3
分子式:C18H28N2O·HCl·H2O
分子量:342.91
包装:棕色西林瓶
规格:每支约100mg
储存条件:室温,密闭遮光保存
·荧光素*
编号:BP0395
英文名称:Fluorescein Sodium
规格:100mg
本品为荧光素*化学对照品,供HPLC测定,按C20H10Na2O5计,含量为88.4%。
分子式:C20H10Na2O5
分子量:376.28
CAS号:518-47-8
包装及装量:棕色小瓶装,每支约100毫克
储存条件:遮光,密封保存。
注意事项:本品具有引湿性,建议打开包装后一次使用. 使用前不需干燥处理。
反式帕罗西汀标准品说明书关键词:反式帕罗西汀,(+)-trans-paroxetine,BP0831
反式帕罗西汀如何储存?
化学试剂的变质,大多数情况是因为受外界条件的影响,如空气中的氧气、二氧化碳、水蒸气、空气中的酸碱性物质以及环境 温度、光照等,都可使化学试剂发生氧化、还原、潮解、风化、析晶、稀释、锈蚀、分解、挥发、升华、聚合、发霉、变色以及燃爆等变化。经常检查储存中的化学 试剂的存放状况发现实际起过的储存期或变质应及时报告,并按规定妥善处理 ( 降级使用或报废) 和销帐。在正常储存条件下,一般化学试剂贮有不宜超过2年,基准试剂不超1年。为了避免环境和其他因素的干扰,所有化学试剂一经取出不得放回贮有容器: 属于必须回收的试剂或指定、退库、的试剂,必须另设专用容器回收或贮存,具有吸潮性或易氧化,易变质的化学试试剂必须密封保存,避免吸湿解,氧化或变质。 定期盘点,核对出现差错应及时检查原因,并报主管领导或部门处理。
碳酸*洗液(10%) 500ml
56-86-0 L-Glutamic acid L-谷*酸
ARB12604 大鼠晚期糖基化终末产物(AGEs)Elisa定量检测 Rat advanced glycation end products,ages ELISA KIT
HAT培养基添加剂 HAT Media Supplement 50× 10ml|10×10ml
ARB10863 人抗载脂蛋白抗体A1(Apo A1)尿液中含量检测 Human anti-apolipoprotein a1 antibody,apo a1 ELISA KIT
GTBE电泳缓冲液(1×) 500ml
ARB11909 人癌胚铁蛋白(CEF)定量分析 Human carcinoembryonic ferritin,cef ELISA KIT
SJ0801 Inulin 菊糖
SJ0070 Banana powder 香蕉粉
D-色*酸 BOC-L-Alanine 153-94-6
ARB14239 大鼠I型胶原交联*基末端肽(NTx)Elisa方法检测
ARB11342 人亮*酰*基肽酶(LAP)elisa检测说明书 Human leucine aminopepridase,lap ELISA KIT
我公司为您您提供反式帕罗西汀相关的所有信息,如:第二名称、CAS号、规格、熔点、MSDS、用途、作用、毒性、价格等。规格包装,现货供应,极速发货,实验即可安排,试剂随叫随到,无需等待!
我公司生产供应销*(代"售")的标准品对照品产品正全系列现货促销,满分期待您的垂询选购反式帕罗西汀标准品说明书。
风险提示:丁香通仅作为第三方平台,为商家信息发布提供平台空间。用户咨询产品时请注意保护个人信息及财产安全,合理判断,谨慎选购商品,商家和用户对交易行为负责。对于医疗器械类产品,请先查证核实企业经营资质和医疗器械产品注册证情况。
文献和实验ELISA 实验失败可能由多种因素造成。在实验前阅读并充分了解产品说明书,可以一定程度上避免出现意想不到的结果。参考以下提示来避免实验出现问题。 1. 检查试剂盒的保质期,保证所有试剂按说明书上的建议正确保存; 2. 检查试剂溶液是否存在不稳定或降解迹象,如沉淀或变色等; 3. 底物溶液应为无色; 4. 试剂制备和保存时应使用干净的一次性塑料吸量管、枪头和容器。每次加液(样品、标准品及其他试剂)时,及时更换枪头,避免交叉污染; 5. 确保孵育时间和温度与规定的高度一致; 6. 盒中试剂不能
免疫检测法的精确性表现为单次实验孔间(批内)的重复性和多次实验之间(批间)的重复性。CV 值高则表明精确度低,通常由以下两个原因造成:移液技术和洗涤技术。 移液技术 移液时,枪头应对准孔中央,避免接触孔壁及底部。 移液后轻轻晃动混匀试剂。 如果您的样品具有黏性,请预先润洗枪头以消除表面张力的影响。吸液时等待片刻使体积平衡后再取出。 移液不充分或移液体积不均,说明移液器需要校正。必要时请检查移液器并重新校正。 加样时,不同的试剂标准品和样本间都要确保更换枪头,避免交叉污染。 确保使用合适
、稳定性等性能会优于科研试剂盒。 Q2:试剂盒能否分次使用?没有用完的试剂组分如何存放? A2:试剂盒可以分次使用。我们的酶标板条是可拆卸的,您可以根据实验需求,确定每次实验所需的酶标板条数量及各试剂组分含量。 溶解后的标准品,建议以最高浓度/母液,分装保存于 -20℃ 条件下,避免反复冻融,半个月内使用有效。 生物素化抗体工作液及 HRP 酶结合物工作液需现配现用。未用完的浓缩液及其他组分,需要按照说明书要求,分别及时地保存于 2~8℃/-20℃ 条件下,一般可存放 6 个月。 样本 Q1
技术资料暂无技术资料 索取技术资料










