万千商家帮你免费找货
0 人在求购买到急需产品
- 详细信息
- 文献和实验
- 技术资料
- 保存条件:
阴凉干燥
- 保质期:
长期
- 英文名:
(+)-trans-paroxetine
- 库存:
405
- 供应商:
北京百奥莱博科技有限公司
特别声明:本产品及我公司所售其他产品均为科研类试剂产品,严禁用于药物、医疗及其他非科研用途。
反式帕罗西汀对照品库存由专业试剂供应商北京百奥莱博提供,用于生化科学研究,本产品质量好,且极具价格优势,深为用户称道,了解更多反式帕罗西汀等标准品对照品产品请联系我司咨询订购。
名称:反式帕罗西汀对照品库存
编号:BP0831
英文名:(+)-trans-paroxetine
品牌:百奥莱博
产地:国产|进口
规格:50mg
本品为反式帕罗西汀化学对照品,供HPLC法系统适用性试验用。
分子式:C19H20FNO3
分子量:329.37
包装及装量:棕色小瓶装,每支约50毫克。
储存条件:遮光,密封保存。
注意事项:使用前不需干燥处理。
欲咨询购买反式帕罗西汀对照品库存,请致电北京百奥莱博科技有限公司,为您提供最全面周到的产品服务,除此之外,我公司正在促销以下产品:
·腺苷钴胺
编号:BP1807
英文名称:Cobamamide
规格:100mg/瓶
本品为腺苷钴胺化学对照品,含量为98.3%,供腺苷钴胺及其制剂含量测定和鉴别使用。
CAS号:13870-90-1
分子式:C72H100CoN18O17P
分子量:1579.6
包装及装量:棕色瓶,100mg/瓶
储存条件:避光,密封保存。
注意事项:使用前60℃减压干燥4小时。按照质量标准规定称量溶解使用,避光操作。
·乳酸依沙吖啶
编号:BP0231
英文名称:Ethacridine Lactate
规格:100mg
本品为乳酸依沙吖啶的化学对照品,供含量测定用。供HPLC法测定,按C15H15N3O·C3H6O3计,含量为94.3%。
分子式:C15H15N3O·C3H6O3·H2O
分子量:361.40
CAS号:6402-23-9
包装及装量:棕色西林瓶,约100mg/支。
储存条件:遮光,密闭保存。
·盐*(代"酸")贝凡洛尔
编号:BP0755
英文名称:Ethacridine Lactate
规格:100mg
本品为乳酸依沙吖啶的化学对照品,供含量测定用。供HPLC法测定,按C15H15N3O·C3H6O3计,含量为94.3%。
分子式:C15H15N3O·C3H6O3·H2O
分子量:361.40
CAS号:6402-23-9
包装及装量:棕色西林瓶,约100mg/支。
储存条件:遮光,密闭保存。
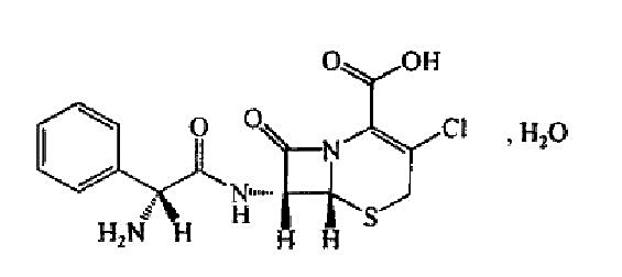
·头孢克洛δ-3异构体
编号:BP1645
英文名称:Delta-3-Cefaclor
规格:50mg
本品为头孢克洛δ-3异构体化学对照品,供头孢克洛品种系统适用性试验用。
使用方法:精密称取本品适量,按相关质量标准的规定,溶解并稀释至所需浓度的溶液,立即使用。
储存条件:置 5℃以下低温避光保存。开启安瓿后严密保持干燥,以防吸水。
注意事项:使用前不需干燥处理。
·阿德福韦酯杂质(阿德福韦)
编号:BP0966
英文名称:Adefovir Dipivoxil Impurity (Adefovir)
规格:50mg/支
本品为阿德福韦酯杂质化学对照品,供检查用,使用前不需干燥处理。供HPLC法检查,以C8H12N5O4P计,含量为100%。
CAS号:106941-25-7
分子式:C8H12N5O4P
分子量:273.19
规格:约50mg/支
储存条件:遮光,密闭,2~8℃保存
反式帕罗西汀对照品库存关键词:BP0831,(+)-trans-paroxetine,反式帕罗西汀
·来*米特杂质Ⅰ(4-三*甲基**(代"胺"))
编号:BP0848
英文名称:Leflunomide impurityⅠ[4-(trifluoromethyl)aniline]
规格:100mg/支
·聚桂醇
编号:BP2043
英文名称:Lauromacrogol
规格:200mg/支
本品为聚桂醇化学对照品,供聚桂醇品种红外鉴别和HPLC含量测定用,含量为97.5%,使用前不需干燥处理。
CAS号:9002-92-0
分子式:C12H25(OCH2CH2)nOH
包装:棕色安瓿
规格:约200mg/支
储存条件:遮光、常温保存。
注意事项:建议打开包装一次性使用完
·2-*酚
编号:BP1718
英文名称:2-Naphthol
规格:50mg/支
本品为2-*酚化学对照品,供HPLC法含量测定用,以C10H8O计,含量为99.6%。使用前不需干燥处理。
CAS号:135-19-3
分子式:C10H8O
分子量:144.06
包装:棕色安瓿
规格:50mg/支
储存条件:2-8℃遮光保存。
·丁*东莨菪碱
编号:BP0104
英文名称:Scopolamine Butylbromide
规格:100mg
本品为丁*东莨菪碱的化学对照品,供HPLC法测定,按C21H30BrNO4计,含量为99.7%。
分子式:C21H30BrNO4
分子量:440.38
CAS号:149-64-4
包装及装量:棕色小瓶装,每支约100毫克。
储存条件:遮光,密封保存。
注意事项:105℃干燥3小时后使用(湿度50%以下条件称重)。
反式帕罗西汀对照品库存关键词:BP0831,(+)-trans-paroxetine,反式帕罗西汀
我公司拥有专业生化试剂实验和销*(代"售")经验,为专业的您提供专业的服务。种类丰富,*基酸类、酶类、维生素类、反式帕罗西汀、缓冲剂类、色素类、植物激素及核酸类、碳水化合物类、抗生素类均有销*(代"售")。品牌代理,质量保障,其产品涉及生命科学的所有领域,包括生化试剂,抗体,ELISA试剂盒等等。
·壬*醇醚
编号:BP0087
英文名称:Nonoxinol
规格:1ml/支
本品为壬*醇醚(Nonoxinol)的化学对照品,供HPLC鉴别和含量测定用,含量为99.3%。
分子式:C9H19C6H4(OCH2CH2)nOH,(n平均值为9)
结构式:

CAS号:26027-38-3
包装:棕色安瓿瓶
规格:约1ml/支
储存条件:遮光,密封保存
·头孢克洛
编号:BP1634
英文名称:Cefaclor
规格:100mg/支
本品为头孢克洛化学对照品,供HPLC法含量测定用,以C15H14ClN3O4S计,含量为94.4%,使用前不需干燥处理。
CAS号:70356-03-5
分子式:C15H14ClN3O4S·H2O
分子量:385.82
结构式:

包装:安瓿
规格:约100mg/支
储存条件:2-8℃保存
注意事项:本品建议打开包装一次性使用完毕。注意避光
·舒他西林
编号:BP1643
英文名称:Sultamicillin
规格:100mg
本品为舒他西林化学对照品,供含量测定用,含量以舒他西林C25H30N4O9S2计,使用前不需干燥处理。
CAS号:83105-70-8
分子式:C25H30N4O9S2·C7H8O3S
分子量:766.8
包装:白色安瓿
规格:约100毫克/支
储存条件:2-8℃保存
我公司倾力为客户提供最优 、最全、最有效的反式帕罗西汀等科研试剂产品,质量被全国各大院校科研机构认可。 同时,我们售前,售中,售后全程为您服务。欢迎来电咨询!
我公司始终坚持“创新,品质,服务,节约,敬业,感恩”的理念。吸收新创意,严把质量关口,全方位的服务跟踪,坚持做出高品质产品。本着“追求、员工、技术、精神、利益”的宗旨。现拥有一批精干的管理人员和一支高素质的专业技术队伍。我们以质量为生命、时间为信誉、价格为竞争力的经营信念,立足于国内外市场。目前已在全国各大院系,和研究单位均有销*(代"售"),也得到了客户的认可。百奥莱博生产的反式帕罗西汀等试剂进入飞速发展期,为了更好的服务客户,公司长期储备海量库存,以此助推中国科技的快速发展,更好的造福人类!
北京百莱博科技有限公司专业生产供应销*(代"售")生物试剂、化学试剂、抗原抗体、血清血浆、Elisa试剂盒,更多试剂产品需求,欢迎来电咨询选购反式帕罗西汀对照品库存。
风险提示:丁香通仅作为第三方平台,为商家信息发布提供平台空间。用户咨询产品时请注意保护个人信息及财产安全,合理判断,谨慎选购商品,商家和用户对交易行为负责。对于医疗器械类产品,请先查证核实企业经营资质和医疗器械产品注册证情况。
文献和实验一种合成挥发物的分发瓶,或者一个单独使用溶剂的阴性对照品。一些挥发物,包括鸡肉特有的挥发物(丁酸异丁酯、萘、十六烷和反式柠檬烯),实际上被吸引了蚊子比阴性对照诱捕器少。最后,一只关在小笼子里的鸡被吊在诱捕器旁边,这和鸡的挥发物一样,似乎能驱赶蚊子,因为与不靠近任何鸡或测试挥发物的诱捕器相比,收集的蚊子更少。作者认为鸡对蚊子来说可能不是有吸引力的宿主,因为一层羽毛可能很难穿过,另外一个缺点是鸡吃蚊子!无论是什么原因使人厌恶如此丰富的猎物,识别出击退猎物的线索。阿拉伯植物可以利用合成的排斥性挥发物来掩盖
技术资料暂无技术资料 索取技术资料










