相关产品推荐更多 >
万千商家帮你免费找货
0 人在求购买到急需产品
- 详细信息
- 文献和实验
- 技术资料
- 库存:
964
- 英文名:
L-Pyroglutamic acid
- CAS号:
98-79-3
- 保质期:
长期
- 供应商:
北京百奥莱博科技有限公司
- 保存条件:
2-8℃
特别声明:本产品及我公司所售其他产品均为科研类试剂产品,严禁用于药物、医疗及其他非科研用途。
北京百奥莱博公司供应包括北京L-焦谷*酸标准品多少钱在内的化学标准品,化学对照品,杂志对照品,HPLC标准品,UV标准品等高品质标准品、对照品
名称:北京L-焦谷*酸标准品多少钱
英文名:L-Pyroglutamic acid
产地:国产|进口
规格:50mg/支
编号:BP1880
本品为L-焦谷*酸化学对照品,供谷*酰胺、甘*酰谷*酰胺、丙*酰谷*酰胺有关物质检查使用。
CAS号:98-79-3
分子式:C5H7NO3
分子量:129.11
包装:3ml棕色安瓿瓶
规格:50mg/瓶
储存条件:2-8℃保存
更多有关北京L-焦谷*酸标准品多少钱的价格及使用说明等,请联*(代"系")我们的业务经理王欣女士咨询,我公司还销*(代"售")以下产品:
C1201 小鼠血清(无菌过滤)
BL1383 SABC小鼠IgG-POD kit
K-卡拉胶 4-Hydroxycoumarin 11114-20-8
F050319 豚鼠IgG抗体 Guinea Pig IgG
BL0951 胶体金标记羊抗人IgA(u链特异)抗体
二抗稀释液(Western) Second antibody diluent(Western) 100ml
SDS-PAGE蛋白质中分子量 UDPase
梭菌蛋白酶 Spermine tetrahydrochloride 9028-00-6
ARB10880 人抗高尔基体抗体(AGAA)ELISA检测服务 Human anti-golgi appaRatus antibody,agaa ELISA KIT
ARB11083 人肾小球组织糖基化终末产物(GTE-AGE)elisa检测操作说明书 Human glomerular tissue extract-advanced glycosylation end products,gte-age ELISA KIT
脂质体2000 β-DPNH
PY02-235 T1N0肉汤 250克
北京L-焦谷*酸标准品多少钱关键词:L-Pyroglutamic acid,L-焦谷*酸,98-79-3
BTN100201 海量PCR片段纯化试剂盒 Mega PCR Clean-Up Kit
姬姆萨氏色素 Glutathione Sepharose 4B 51811-82-6
ZCBTH01 牛凝血酶 500ku
Pollak三色染色液 4×50ml|4×100ml
牛胆盐 β-Sitosterol
ARB10630 人血清素/血清胺(ST)elisa检测 Human serotonin,st ELISA KIT
脱氧核糖核酸(DNA)检测试剂盒(二**(代"胺")比色法) 100T
ZCBTH02 牛凝血酶 1000ku
ARB13080 小鼠孤腓肽(OFQ/N)Elisa方法检测 Mouse orphanin fq/nociceptin,ofq/n ELISA KIT
PY08-018 沙堡氏琼脂平板 9CM 10皿/盒,用于霉菌和酵母菌的培养
ARB11895 人磷酸化核因子κB抑制蛋白α(pIKBα)代做ELISA实验 Human phospho-inhibitory subunit of nf-κbα,pikbα ELISA KIT
尿激酶 Sudan red 7B 9039-53-6
SJ0722 伊红染色液
FMOC-D-脯*酸 2-Amino-1-phenylethanol 101555-62-8
结晶紫饱和甲醇溶液 100ml
9,10-菲二酮 p-Toluenesulfonic acid sodiu*(代"m") 84-11-7
ARB10793 人抗风疹病毒IgG抗体(Anti-RV IgG)酶免分析 Human anti-rubella virus igG antibody,anti-rv igG ELISA KIT
1×Western湿转转膜液 Western Transfer Buffer1L(粉末)
ARB13847 猪巨噬细胞炎性蛋白1α(MIP-1α/CCL3)elisa检测 Porcine macrophage inflammatory protein 1α,mip-1α ELISA KIT
ARB10918 人抗磷壁酸抗体(TA)酶联免疫定量检测 Human anti-teichoic acid antibody,ta ELISA KIT
北京L-焦谷*酸标准品多少钱关键词:L-Pyroglutamic acid,L-焦谷*酸,98-79-3
L-焦谷*酸等级划分:
我国的试剂规格基本上按纯度(杂质含量的多少)划分,共有高纯、光谱纯、基准、分光纯、优级纯、分析和化学纯等7种。国家和主管部门颁布质量指标的主要优级纯、分级纯和化学纯3种。
(1)优级纯(GR),又称一级品或保证试剂,99.8%,这种试剂纯度最高,杂质含量最低,适合于重要精密的分析工作和科学研究工作,使用绿色瓶签。
(2)分析纯(AR),又称二级试剂,纯度很高,99.7%,略次于优级纯,适合于重要分析及一般研究工作,使用红色瓶签。
(3)化学纯(CP),又称三级试剂,≥ 99.5%,纯度与分析纯相差较大,适用于工矿、学校一般分析工作。使用蓝色(深蓝色)标签。
(4)实验试剂(LR),又称四级试剂。
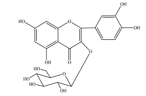
·异槲皮苷
编号:BP1378
英文名称:Isoquercitrin
规格:20mg
本品为异槲皮苷化学对照品,供薄层鉴别及含量测定用,含量以92.9%计。
CAS号:21637-25-2
分子式:C21H20O12
分子量:464.38
结构式:

包装及装量:棕色安瓿瓶,约20mg/支
储存条件:室温保存。
注意事项:使用前无需处理。
·二*尼柳
编号:BP0552
英文名称:Diflunisal
规格:100mg
本品为异槲皮苷化学对照品,供薄层鉴别及含量测定用,含量以92.9%计。
CAS号:21637-25-2
分子式:C21H20O12
分子量:464.38
结构式:

包装及装量:棕色安瓿瓶,约20mg/支
储存条件:室温保存。
注意事项:使用前无需处理。
·抗A,抗B血型定型试剂(单克隆抗体)
编号:BP2116
英文名称:Diflunisal
规格:1ml/支
本品为供抗A、抗B血型定型试剂(单克隆抗体)参考品,用于抗A、抗B血型定型试剂(单克隆抗体)批批检的质量控制。
组成和性状:抗A:蓝色疏松固体,抗B:黄色疏松固体。
使用方法:取灭菌无菌水1ml复溶后,加入1ml生理盐水混匀,按照标准程序操作使用。
储存条件:-20℃
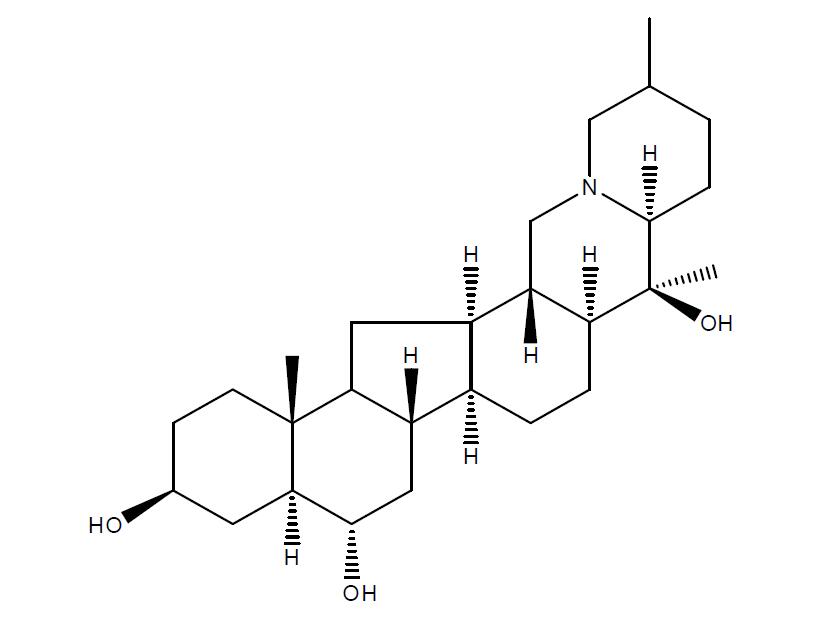
·贝母素甲
编号:BP1047
英文名称:Peimine
规格:约20mg/支
本品为贝母素甲化学对照品,供鉴别或含量测定用,使用前不需干燥处理。含量以96.2%计。
CAS号:23496-41-5
分子式:C27H43NO3
分子量:431.64
结构式:

包装:棕色安瓿瓶
装量:约20mg/支
储存条件:冷处(2-10℃)保存
本公司免费技术支持,由专业的技术人员和销*(代"售")人员为科研用户提供全面的技术支持和完善的售前、售中、售后服务。百奥莱博暑期大促,凡够买我司各种生物试剂、抗体、ELISA试剂盒、抗原、血清、血浆、L-焦谷*酸、脱纤维血、抗凝血、裂解血、分子生物学试剂、培养基等优质试剂,均可享受超低会员价,各种高品质科研试剂及各种规格包装均可定制,如有需要请联*(代"系")我们。
我公司始终坚持“创新,品质,服务,节约,敬业,感恩”的理念。吸收新创意,严把质量关口,全方位的服务跟踪,坚持做出高品质产品。本着“追求、员工、技术、精神、利益”的宗旨。现拥有一批精干的管理人员和一支高素质的专业技术队伍。我们以质量为生命、时间为信誉、价格为竞争力的经营信念,立足于国内外市场。目前已在全国各大院系,和研究单位均有销*(代"售"),也得到了客户的认可。百奥莱博生产的L-焦谷*酸等试剂进入飞速发展期,为了更好的服务客户,公司长期储备海量库存,以此助推中国科技的快速发展,更好的造福人类!
北京百莱博科技有限公司专业生产供应销*(代"售")生物试剂、化学试剂、抗原抗体、血清血浆、Elisa试剂盒,更多试剂产品需求,欢迎来电咨询选购北京L-焦谷*酸标准品多少钱。
风险提示:丁香通仅作为第三方平台,为商家信息发布提供平台空间。用户咨询产品时请注意保护个人信息及财产安全,合理判断,谨慎选购商品,商家和用户对交易行为负责。对于医疗器械类产品,请先查证核实企业经营资质和医疗器械产品注册证情况。
文献和实验作者:王旭, 何冰芳, 李霜, 韦萍, 欧阳平凯(南京工业大学制药与生命科学学院,江苏南京 210009) 常规Tris-甘氨酸-SDS-PAGE 电泳分析分辨大分子物质的相对分子质量范围在10~200 kDa , 对于相对分子质量小于10 kDa 的多肽分辨率低[1 ] 。Swank 等在含有SDS 的凝胶中加入8 mol·L-1的脲,但分离效果不甚理想, 且重现性较差。Lanzillo 等发
血中苯妥英钠和苯巴比妥钠药物, 为血中的药物定量监测提供参考。 1 材料与方法 1.1 仪 器 美国Beckman公司的5500型毛细管电泳仪, 配有紫外检测器(波长为200 nm), 486 微机及黄金软件; 石英毛细管空柱(河北永年光纤厂出品)为50 μm (ID), 长度分别为 67 、 47 和37 cm(有效分离长度分别为60、 40和30 cm)。 1.2 试 剂 苯妥英钠(PHT)、 苯巴比妥钠(PB)标准品为北京市神经外科研究所生化室提供。 十二
检测器,WDL-95色谱工作站),台式高速离心机( L-16G),超声清洗器(KQ-500B),1/10万电子天平,超临界co2萃取实验台(江苏大学江苏海安应有石油设备制造厂联合研制,萃取器容积1 L,200 mL规格)。 1.2 试剂及药品 甲醇(色谱纯),水(亚沸重蒸水),冰醋酸(分析纯),蒸馏水,丙酮,甲醇(分析纯),乙醇(分析纯)均购于上海化学试剂厂),微孔滤膜(0.45μm)。姜黄(购于毫州药材市场,经南京中医药大学药学院王永珍教授鉴定为姜科植物姜黄Curcuma
技术资料暂无技术资料 索取技术资料










