相关产品推荐更多 >
万千商家帮你免费找货
0 人在求购买到急需产品
- 详细信息
- 文献和实验
- 技术资料
- 保存条件:
2-10℃
- 保质期:
长期
- 英文名:
Sinapine cyanide sulfonate (Sinapine thiocyanate)
- 库存:
525
- 供应商:
北京百奥莱博科技有限公司
- CAS号:
7431-77-8
特别声明:本产品及我公司所售其他产品均为科研类试剂产品,严禁用于药物、医疗及其他非科研用途。
北京百奥莱博公司供应包括北京芥子碱硫*酸盐对照品优惠促销在内的化学标准品,化学对照品,杂志对照品,HPLC标准品,UV标准品等高品质标准品、对照品
名称:北京芥子碱硫*酸盐对照品优惠促销
英文名:Sinapine cyanide sulfonate (Sinapine thiocyanate)
编号:BP1303
规格:20mg/支
品牌:百奥莱博
产地:国产|进口
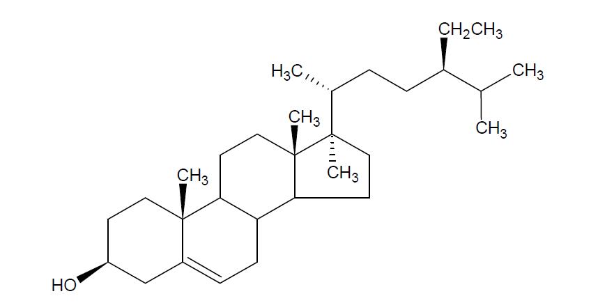
本品为芥子碱硫*酸盐化学对照品,供鉴别和含量测定用,含量以98.3%计,使用前不需干燥处理。
CAS号:7431-77-8
分子式:C16H24NO5·SCN
分子量:594.52
结构式:

包装:棕色安瓿瓶
装量:约20mg/支
储存条件:冷处(2-10℃)保存
注意事项:本品具有引湿性,建议打开包装一次性使用完毕。
欲咨询购买北京芥子碱硫*酸盐对照品优惠促销,请致电北京百奥莱博科技有限公司,为您提供最全面周到的产品服务,除此之外,我公司正在促销以下产品:
·盐*(代"酸")*哌噻吨
编号:BP0691
规格:100mg
·脱氧核糖核酸
编号:BP1857
英文名称:Deoxyribonucleic Acid
规格:10mg/瓶
本品为脱氧核糖核酸化学对照品,含量以脱氧核糖核酸计为75.2%,开封后一次用完。
CAS号:73049-39-5
包装:2ml棕色西林瓶
规格:10mg/瓶
储存条件:4℃保存
·格列美脲杂质Ⅱ
编号:BP0977
英文名称:Glimepiride Impurity Ⅱ [[4- [2-[3-ethyl-4-methyl-2-oxo-3-pyrroline-1-carboxamido]ethyl]phenyl]sulfonyl]methyl carbamate" title="Glimepiride Impurity Ⅱ [[4- [2-[3-ethyl-4-methyl-2-oxo-3-pyrroline-1-carboxamido]ethyl]phenyl]sulfonyl]methyl carbamate"
规格:30mg/支"
本品为脱氧核糖核酸化学对照品,含量以脱氧核糖核酸计为75.2%,开封后一次用完。
CAS号:73049-39-5
包装:2ml棕色西林瓶
规格:10mg/瓶
储存条件:4℃保存
·氧化苦参碱
编号:BP1074
英文名称:Oxymatrine
规格:20mg/支
本品为氧化苦参碱化学对照品,供鉴别和含量测定用,使用前不需干燥处理。以C15H24N2O2计,含量92.5%。
CAS号:16837-52-8
分子式:C15H24N2O2
分子量:264.36
结构式:

包装:棕色安瓿瓶
规格:约20mg/支
储存条件:冷处(2-10℃)保存
注意事项:本品具有引湿性,建议打开包装一次性使用完。
·β-谷甾醇
编号:BP1129
英文名称:β- Sitosterol
规格:约20mg/支
本品为β-谷甾醇化学对照品,供鉴别及含量测定用,含量以97.0%计,使用前不需干燥处理。
CAS号:83-46-5
分子式:C29H50O
分子量:414.7
结构式:

包装:棕色瓶
规格:约20毫克/支
储存条件:冷处(2~10℃)保存
北京芥子碱硫*酸盐对照品优惠促销关键词:芥子碱硫*酸盐,7431-77-8,Sinapine cyanide sulfonate (Sinapine thiocyanate)
为何选择百奥莱博公司的芥子碱硫*酸盐?
我公司是一家专业从事“产品研发生产、市场销*(代"售")、技术服务”为一体的高科技生物技术公司,公司生产的芥子碱硫*酸盐质量有保证,含量高,能够给实验带来准确的结果。同时能为用户更好的解决各种疑难问题。如有需要可联系我司销*(代"售")人员,我们将竭诚为您服务。
·恩曲他滨杂质V
编号:BP0940
英文名称:Emtricitabine Impurity V
规格:50mg/支
本品为恩曲他滨杂质V化学对照品,使用前不需干燥处理,供检查用。供HPLC法测定,按CHFNOS计,含量为100%。
CAS号:764659-79-2
分子式:CHFNOS182634
分子量:399.48
结构式:


(恩曲他滨系统适用性溶液色
·云南白药提取物
编号:BP1115
英文名称:Yunnanbaiyao Reference Extract
规格:10mg/支
本品为云南白药对照提取物,供相关物质鉴别用。
包装:棕色安瓿瓶
规格:约10mg/支
储存条件:常温避光保存
·盐*(代"酸")异丙嗪
编号:BP0332
英文名称:Promethazine Hydrochloride
规格:100mg/支
本品为盐*(代"酸")异丙嗪化学对照品,供含量测定用,105℃干燥2小时后使用。供HPLC法测定,按C17H20N2S·HCl计,含量为99.5%。
分子式:C17H20N2S·HCl
分子量:320.89
CAS号:58-33-3
包装:棕色西林瓶装
装量:每支约100毫克。
储存条件:遮光,密闭,10~30℃保存。
·维生素E
编号:BP0054
英文名称:RRR-Alpha-Tocopheryl Acetate
规格:200mg
本品为维生素E(VitaminE)的化学对照品。按C31H52O3计,供GC法测定,含量为98.6%;供HPLC法测定,含量为97.7%。
分子式:C31H52O3
分子量:472.75
CAS号:1406-18-4
包装及装量:充氮、熔封,每支约200毫克。
储存条件:密封,置阴凉处保存。
注意事项:使用前不需干燥处理。
北京芥子碱硫*酸盐对照品优惠促销关键词:芥子碱硫*酸盐,7431-77-8,Sinapine cyanide sulfonate (Sinapine thiocyanate)
我公司立足北京,辐射全国。随着产品战略的不断延伸,产品理念的不断完善,百奥莱博将逐步成长为一流的生化试剂供应商,并一如既往的为您提供优质的芥子碱硫*酸盐和完善的售后服务,与您一起携手整合各自的优势资源,竭尽全力支持您的事业,为中国生命科学的发展贡献一份力量。
DP322 口腔拭子基因组提取试剂盒
SJ0198 DEAE Sepharose Fast Flow 琼脂糖凝胶FF
ARB13323 山羊雌二醇(E2)检测服务
对硝基*(代"*")基-α-D-吡喃葡萄糖苷 EDTA-FeNa 3767-28-0
5625-37-6 PIPES 哌*(代"嗪")-1,4-二乙磺酸
BTN120409 BAL 31核酸酶 BAL 31 Nuclease
*化乙酰胆碱 L-Histidine methyl ester dihydrochloride 60-31-1
ARB12654 大鼠催乳素(PRL)elisa检测 Rat prolactin,prl ELISA KIT
ARB10023 人5脂加氧酶(5-LO/LOX)Elisa方法检测 Human 5-lipoxygenase,5-lo/lox ELISA KIT
BTN131120 盐*(代"酸")胍溶液 Guanidine?HCl Solution
F010109 小鼠抗盐*(代"酸")克伦特罗抗体 Monoclonal Mouse Anti-Clenbuterol
ARB12029 大鼠β位淀粉样前体蛋白裂解酶2(BACE2)含量检测 Rat beta-site app-cleaving enzyme 2,bace2 ELISA KIT
芥子碱硫*酸盐等产品报价含税含运费,全程免费技术支持。我公司产品种类齐全,提供订制包装,免费快递送货上门,质量保证,欢迎来电购买!
我公司正在打折促销标准品对照品全系列产品,恭候您的咨询选购北京芥子碱硫*酸盐对照品优惠促销。
风险提示:丁香通仅作为第三方平台,为商家信息发布提供平台空间。用户咨询产品时请注意保护个人信息及财产安全,合理判断,谨慎选购商品,商家和用户对交易行为负责。对于医疗器械类产品,请先查证核实企业经营资质和医疗器械产品注册证情况。
文献和实验至010-80485460或E-mail至 liuyu@genomics.cn。010-80485460或E-mail至liuyu@genomics.cn。培训费用:全程培训(讲座+实验): 3500元/人,学生为 2900元/人。 注:学生报到请带学生证培训费用包含会务费、资料费、餐费。培训期间公司协助安排住宿,费用自理。 三、相关促销政策 参加本届培训班的学员可以享受公司提供的常规技术服务八折优惠。优惠有效时间2013.10.17-2013.12.31 四、汇款信息 账号
北京天来生物医学科技有限公司 极限低价,全面促销!!! 价格一步到位, 何必再谈折扣! 无与伦比的低价, 绝不亚于同类产品的质量! 效果不理想,无条件退货! 一. DNA分子量标准每支(50次)---------仅售 58元!!! 二. PCR反应混合液(PCR MasterMix)----500ul 68元 三. 质粒小提每次1.58元 胶回收每次1.78元 四. 中范围蛋白质分子量标准(14.3-97.2KD)(50次)------每支78元 预染的宽范围蛋白
技术资料暂无技术资料 索取技术资料










