相关产品推荐更多 >
万千商家帮你免费找货
0 人在求购买到急需产品
- 详细信息
- 文献和实验
- 技术资料
- 库存:
831
- 英文名:
Hederagenin
- 保质期:
长期
- 供应商:
北京百奥莱博科技有限公司
- 保存条件:
常温
特别声明:本产品及我公司所售其他产品均为科研类试剂产品,严禁用于药物、医疗及其他非科研用途。
北京百奥莱博公司供应包括常春藤皂苷元对照品特价优惠在内的化学标准品,化学对照品,杂志对照品,HPLC标准品,UV标准品等高品质标准品、对照品
名称:常春藤皂苷元对照品特价优惠
品牌:百奥莱博
英文名:Hederagenin
规格:20mg
编号:BP1325
本品为常春藤皂苷元化学对照品,供含量测定用,含量以98.3%计。
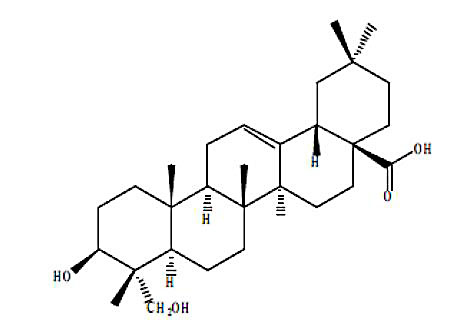
分子式:C30H48O4
分子量:472.7
结构式:

包装及装量:棕色瓿,每支约20毫克。
储存条件:常温保存。
注意事项:本品置五氧化二磷减压干燥12 小时后使用。
除常春藤皂苷元对照品特价优惠外,我公司正在打折促销以下产品:
F020229 羊抗鸡IgY IgG抗体 Goat Anti-Chicken IgY(IgG)
ARB12157 大鼠白介素1可溶性受体Ⅱ(IL-1sRⅡ)酶联免疫定量检测 Rat soluble interleukin-1 receptor Ⅱ,IL-1srⅡ ELISA KIT
BL0913 FITC标记人IgG抗体
血浆蛋白提取试剂盒(2D电泳用) 50T|100T
ARB13178 小鼠氧化型谷胱甘肽(GSSG)定量分析 Mouse oxidizided glutathione,gssg ELISA KIT
ARB11210 人细胞色素b561(cytb561)ELISA检测服务 Human lipocalin 2,lcn2 ELISA KIT
F030828 BIOTIN标记兔抗猫IgG抗体 Rabbit Anti-Cat IgG*BIOTIN
A3308-22 驴血清 100ml|500ml
F030640 FITC标记兔抗驴IgG抗体 Polyclonal Rabbit Anti-Donkey IgG*FITC
PY02-159 麦芽浸膏汤 250克
BL1102 40%丙*(代"烯")酰胺(19:1)
ARB12206 大鼠丝*酸/苏*酸蛋白*(代"磷")酸酶(STK)酶标法分析 reat serine/threonine protein kinase,stk ELISA KIT
ARB13293 小鼠糖化血红蛋白A1c elisa检测操作说明书 Mouse glycated hemoglobin a1c ELISA KIT
碘化丙啶PI染色液(RNA染色) 50ug/ml 10ml
SJ0231 DMEM (低)
ARB10595 人血小板衍化生长因子BB(PDGF-BB)代做ELISA实验 Human platelet-derived growth factor-bb,pdgf-bb ELISA KIT
全血丙*(代"酮")酸检测试剂盒(乳酸脱*酶比色法) 50T
BTN121205 CCK-8细胞增殖及毒性检测试剂盒 Cell Counting Kit-8
BTN120690 红霉素溶液 Erythromycin Solution
常春藤皂苷元对照品特价优惠关键词:Hederagenin,BP1325,常春藤皂苷元
BTN100502 高效E.coli感受态细胞制备试剂盒 High Efficiency E.coli Competent Cell Preparation Kit
ARB12273 大鼠红细胞生成素受体(EPOR)Elisa分析 Rat erythropoietin receptor,epor ELISA KIT
BTN51206 Taq DNA聚合酶 Taq DNA Polymerase
甲氧苄啶 Pectinase 738-70-5
ARB12068 大鼠巨噬细胞替代激活相关化学因子1(AmAC-1)含量测试 Rat alternative macrophage activation-associated cc chemokine 1,amac-1 ELISA KIT
ARB10757 人抑癌基因BeclIn1(BECN1)检测服务 Human beclin1,becn1ELISA KIT
100bp plus DNA ladder(100-5000bp) 100次
ARB10063 人B细胞活化因子(BAFF)elisa检测
改良Lowry法蛋白定量试剂盒 500T|1000T
ARB12133 大鼠甲状腺素(T4)elisa检测操作说明书 Rat thyroxine,t4 ELISA KIT
HC0075 吸头
PY02-177 *化*基础(无*化*) 100克
常春藤皂苷元对照品特价优惠关键词:Hederagenin,BP1325,常春藤皂苷元
我公司生化试剂产品种类丰富,涵盖溶剂、培养基、*基酸及其衍生物、组织学试剂、电泳试剂、核苷酸及其衍生物、糖类、纯化试剂、分子生物学用试剂、抗生素、生物缓冲试剂、染色剂、常春藤皂苷元等。我公司作为一家以客户为中心的生产厂家和全球分销商,生产经营品种齐全的高质量化学品,实验室耗品和器材。在百奥莱博,质量是我们第一关注的要点。欢迎咨询选购!
对称二*基偶氮羰酰肼 HEEDTA 538-62-5
ARB10100 人E*粘着蛋白/上皮性*黏附蛋白(E-CAd)含量分析 Human e-cadherin,e-cad ELISA KIT
甲**(代"胺")蓝染色液(0.5%,硼*(代"酸")盐法) 100ml
*甲*(代"酚")绿* Maltose monohydrate 62625-32-5
BTN130433 磁珠动物DNAOUT MAG Animal DNAOUT
ARB10402 人可溶性肿瘤坏死因子相关凋亡诱导配体(sTRAIL)ELISA代测服务 Human soluble tumor necrosis factor-related apoptosis inducing ligand,strail ELISA KIT
ARB13890 猪地塞米松(Dex)elisa检测操作说明书 Porcine dexamethasone,dex ELISA KIT
F010115 小鼠抗黄曲霉毒素B1抗体 Monoclonal Mouse Anti-Aflatoxin
PY04-088 抗生素溶液 5ml/支 每支添加于95ml Bolton肉汤基础中,用于弯曲杆菌的选择性分离培养
脱氧核糖核酸(鱼精) Z-Ser-OH
ARB11168 人单纯疱疹病毒Ⅱ型抗体(HSVⅡ-Ab)Elisa分析 Human herpes simplexvirus Ⅱ antibody,hsvⅡ-ab ELISA KIT
103476-89-7 Leupeptin 亮抑酶肽(原装)
5-乙酰基-2-*吡*(代"啶") Ascorbyl palmitate 139042-59-4
Kovac试剂 100ml|500ml
花生四烯酸 Folin & Ciocalteu’s phenol reagent 506-32-1
ARB13726 兔热休克蛋白40(HSP-40)酶免分析 Rabbit heat shock protein 40,hsp-40 ELISA KIT
DNA Marker(300-5000bp) 100次
ARB11640 人淀粉样前体蛋白(βAPP)免费代测 Human β amyloid precursor protein,βapp ELISA KIT
ARB12667 大鼠碱性磷酸酶(ALP)酶联免疫定量检测 Rat alkaline phosphatase,alp ELISA KIT
F040306 小鼠IgG抗原 Mouse IgG
常春藤皂苷元的纯度及用途:纯度高质含量低,适用于研究和配制标准液; 纯度较高,杂质含量较低,适用于定性和定量分析 重量略低于二级试剂,用途近似二级试剂 化学试剂按纯度由低到高可分为工业纯、实验纯(LR)、化学纯(CP)、分析纯(AR)、优级纯(GR)和超纯等多种规格。
我公司所售商品均为100%厂家供货,品质保证,价格优惠!
1.试剂包装:1g、5g、10g、25g、100g、500g等不同包装,欢迎来电咨询:常春藤皂苷元,生化试剂
2.试剂纯度:97%-99%以上
3.库存均有现货。
4.产品订购以订货当日最新价格为准。
5.所有产品为确保质量,出库均复检。
我公司生产供应销*(代"售")的标准品对照品正全品类优惠促销,十分期待您的咨询选购常春藤皂苷元对照品特价优惠。
风险提示:丁香通仅作为第三方平台,为商家信息发布提供平台空间。用户咨询产品时请注意保护个人信息及财产安全,合理判断,谨慎选购商品,商家和用户对交易行为负责。对于医疗器械类产品,请先查证核实企业经营资质和医疗器械产品注册证情况。
文献和实验质分子量标准(19-119KD) (50次)--每支 280元 五. 秋季部分产品特价促销单 具体产品和价格如下: 一. DNA分子量标准产品: DNA分子量标准 规格 优惠价 DL2000 50次 58元 参照片断(bp):100 、250、500、750、1000、2000bp Marker1 50次 58元 参照片断(bp):100 、200、300、400、500、600bp Marker2 50次 58元 参照片断(bp):100 、300、500
1100 96孔可拆式酶标板(高吸附) 50元/块 AR1103 ELISA用ABC 140元/瓶(130μι) AR1104 Tetramethylbenzidine(TMB) 80元/瓶(10ml) AR1105 终止液(0.5M H2SO4) 30元/瓶(10ml) AR1106 样品稀释液 40元/瓶(30ml) AR1107 ELISA用生物素化抗体 380/瓶(130μι) 好消息!!! 在7月9日到9月10日期间进行暑假期间让利优惠活动,所有ELISA试剂盒7折上市促销
的方法多是用酚氯仿抽提溶液后乙醇沉淀,由于有些多糖沉淀属性和DNA相似时就容易共沉淀下来。鉴于竞争的日趋激烈,纯化试剂价格逐渐向下,连核酸纯化领域的顶级名牌Qiagen也开始大幅度的折扣优惠,所以,有条件还是选择试剂盒,比自己慢慢摸索要更能节约宝贵的青春。所以,这里准备将回收片断按照大小不同来分别介绍不同用途的产品: 常规片断级(DNA片段为100bp-10kb):主流方法是柱回收试剂盒 大片段级(DNA片段>7kb):可选方法是玻璃奶/纯化填料胶回收试剂盒,电洗脱
技术资料暂无技术资料 索取技术资料










