相关产品推荐更多 >
万千商家帮你免费找货
0 人在求购买到急需产品
- 详细信息
- 技术资料
- 保存条件:
室温
- 保质期:
长期
- 英文名:
Poly(lactide-co-glycolide)(8515)
- 库存:
600
- 供应商:
北京百奥莱博科技有限公司
- CAS号:
26780-50-7
特别声明:本产品及我公司所售其他产品均为科研类试剂产品,严禁用于药物、医疗及其他非科研用途。
百奥莱博公司致力于为全国科研单位提供药典标准品、对照品、标准溶液、标准样品、对照培养基、国家标准品等可靠标准物质,其中乙交酯丙交酯共聚物(8515)标准品厂商的品质过硬,在广大科研人员中有口皆碑!
名称:乙交酯丙交酯共聚物(8515)标准品厂商
产地:国产|进口
英文名:Poly(lactide-co-glycolide)(8515)
规格:200mg/瓶
编号:BP2099
品牌:百奥莱博
本品为乙交酯丙交酯共聚物(8515)化学对照品,仅供二部乙交酯丙交酯共聚物(8515)品种红外光吸收图谱鉴别用,使用前不需干燥处理。
CAS号:26780-50-7
分子式:H(C6H8O4)n(C4H4O4)mOH
包装:棕色西林瓶
规格:约200mg/瓶
储存条件:密封,冷冻保存,在开封前使产品接近室温以尽量减少由于水分冷凝引起的降解。
除乙交酯丙交酯共聚物(8515)标准品厂商外,我公司正在打折促销以下产品:
ARB11719 人痢疾内阿米巴抗原elisa检测说明书 Human entamoeba Histolytica antigen ELISA KIT
2×Long Taq PCR MasterMix 500μl|5×500μl
ARB10296 人天门冬*酸*基转移酶(AST)elisa测定使用说明书 Human aspartate aminotransferase,ast ELISA KIT
BTN130899 GAL指示剂培养基 GAL Indicator Medium
皂化液 100ml
ARB12247 大鼠血管性血友病因子/瑞斯托霉素辅因子(VWF)含量检测 Rat von willebrand factor,vwf ELISA KIT
疏水硅烷 Xylene blue
9032-75-1 Pectinase 果胶酶(40u/mg)
L-核糖 CTC 24259-59-4
PY08-028 一次性血液增菌培养基 10ml 10支/盒,用于从血液中分离病原菌
*芴酮 TPPTS 975-17-7
ARB12722 小鼠15脂加氧酶(15-LO/LOX)含量检测 Mouse 15-lipoxygenase,15-lo/lox ELISA KIT
维生素C检测试剂盒(铜氧化比色法) 50T
ARB10437 人甲状腺抗体(TAb)elisa测定使用说明书 Human thyroid antibody,tab ELISA KIT
ARB13081 小鼠降*素(CT)检测服务 Mouse calcitonin,ct ELISA KIT
9001-62-1 Lipase 脂肪酶
乙交酯丙交酯共聚物(8515)标准品厂商关键词:乙交酯丙交酯共聚物,8515,26780-50-7,乙交酯丙交酯共聚物(8515),Poly(lactide-co-glycolide)(8515)
·巴*芬
编号:BP0702
英文名称:Baclofen
规格:100mg
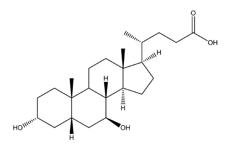
·熊去氧胆酸
编号:BP1052
英文名称:Ursodeoxycholic acid
规格:约20mg/支
本品为熊去氧胆酸化学对照品,供鉴别或含量测定用,含量99.4%。置五氧化二磷干燥器中减压干燥12小时后使用。
CAS号:128-13-2
分子式:C24H40O4
分子量:392.57
结构式:

包装:棕色安瓿
装量:约20mg/支
储存条件:冷处(2-10℃)保存
·邻*二甲*(代"酸")二乙酯
编号:BP2016
英文名称:Diethyl Phthalate
规格:1ml
本品为邻*二甲*(代"酸")二乙酯化学对照品,供邻*二甲*(代"酸")二乙酯品种薄层、红外光吸收图谱鉴别用。
CAS号:84-66-2
分子式:C12H14O4
分子量:222.24
包装:棕色安瓿
规格:约1ml/支
储存条件:遮光、常温保存。
·阿莫西林系统适用性对照品
编号:BP1725
英文名称:Amoxicillin for system suitability
规格:30mg
本品为阿莫西林系统适用性对照品,供HPLC系统适用性用,使用前不需干燥处理。
包装:安瓿
规格:约30毫克/支
储存条件:置2~8℃保存。
标准图谱:
1.阿莫西林含量测定用标准图谱:

色谱柱:COSMOSIL5C18-PAQ150×4.6mm,5μm(GLScience)
2.阿莫西林有关物质用标准图谱:
乙交酯丙交酯共聚物(8515)标准品厂商关键词:乙交酯丙交酯共聚物,8515,26780-50-7,乙交酯丙交酯共聚物(8515),Poly(lactide-co-glycolide)(8515)
我公司先后与天津中医学院、北京军区总医院、复旦大学、北京大学、上海交通大学、华东师范大学、第二军医大学、南京大学、清华大学、复兴医院、南京工业大学、301医院、中科院上海分院等多家单位建立了良好的合作关系。本公司可为您提供高品质的乙交酯丙交酯共聚物(8515)等科研试剂。 公司秉承“专注品质、信守承诺、积极沟通、创新服务”的企业文化积极参与生物领域的技术创新和技术服务,力求为我国科研事业更好的,更专业的服务!
·美他沙酮
编号:BP0904
英文名称:Metaxalone
规格:100mg
本品为美他沙酮化学对照品,供含量测定用,使用前不需干燥处理。按C12H15NO3计,供UV法测定,含量为100.0%;供HPLC法测定,含量为99.9%。
CAS号:23210-58-4
分子式:C12H15NO3
分子量:221.25
包装及装量:棕色西林瓶装,每支约100毫克。
储存条件:遮光,密封保存。
注意事项:使用前不需干燥处理。
·尿嘧啶
编号:BP0369
英文名称:Uracil
规格:100mg
本品为尿嘧啶化学对照品,供含量测定用。按C4H4N2O2计,供HPLC法测定,含量为99.6%。
分子式:C4H4N2O2
分子量:112.09
CAS号:66-22-8
包装及装量:棕色西林瓶装,每支约100毫克。
储存条件:遮光,密封保存。
注意事项:使用前不需干燥处理。
·羟*甲酯*(对羟基*甲*(代"酸")甲酯*)
编号:BP0553
英文名称:Sodium Methyl Parahydroxybenzoate
规格:500mg/支
本品为羟*甲酯*(对羟基*甲*(代"酸")甲酯*)化学对照品,使用前不需干燥处理,供HPLC法测定,按C8H7NaO3计,含量为98.0%。
CAS号:5026-62-0
分子式:C8H7NaO3
分子量:174.12
包装:棕色安瓿
规格:约500毫克/支
储存条件:遮光,在干燥处保存。
注意事项:本品有引湿性,建议打开包装后一次性使用完毕。
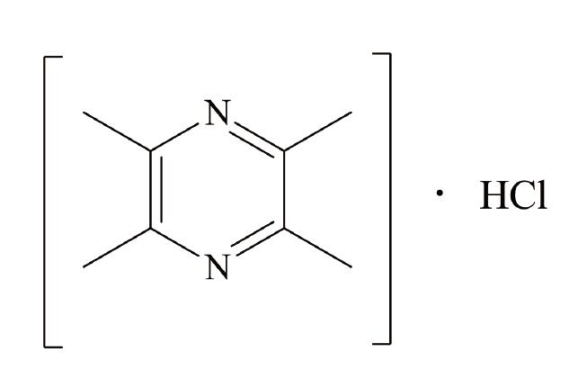
·盐*(代"酸")川芎嗪
编号:BP1104
英文名称:Ligustrazine hydrochloride
规格:30mg/支
本品为盐*(代"酸")川芎嗪化学对照品,供含量测定用,含量以83.4%计,使用前不需干燥处理。
分子式:C8H12N2·HCl
分子量:172.66
结构式:

包装:棕色安瓿瓶
规格:约30mg/支
储存条件:冷处(2-10℃)保存
注意事项:本品具有引湿性,建议打开包装一次性使用完。
我公司生产的乙交酯丙交酯共聚物(8515)纯度高价格低,质量有保证,客户更放心。我们为科研用户提供上千种生物试剂现货及sigma全线产品原装期货,货期短,价格低,质量好。用我们100%的真诚、热情换取您100%的信任与支持!
乙交酯丙交酯共聚物(8515)等产品报价含税含运费,全程免费技术支持。我公司产品种类齐全,提供订制包装,免费快递送货上门,质量保证,欢迎来电购买!
我公司正在打折促销标准品对照品全系列产品,恭候您的咨询选购乙交酯丙交酯共聚物(8515)标准品厂商。
风险提示:丁香通仅作为第三方平台,为商家信息发布提供平台空间。用户咨询产品时请注意保护个人信息及财产安全,合理判断,谨慎选购商品,商家和用户对交易行为负责。对于医疗器械类产品,请先查证核实企业经营资质和医疗器械产品注册证情况。
技术资料暂无技术资料 索取技术资料










