相关产品推荐更多 >
万千商家帮你免费找货
0 人在求购买到急需产品
- 详细信息
- 技术资料
- 库存:
272
- 英文名:
Dehydrodiisoeugenol
- CAS号:
2680-81-1
- 保质期:
长期
- 供应商:
北京百奥莱博科技有限公司
- 保存条件:
常温
特别声明:本产品及我公司所售其他产品均为科研类试剂产品,严禁用于药物、医疗及其他非科研用途。
百奥莱博公司致力于为全国科研单位提供药典标准品、对照品、标准溶液、标准样品、对照培养基、国家标准品等可靠标准物质,其中去*二异丁香酚对照品怎么卖的品质过硬,在广大科研人员中有口皆碑!
名称:去*二异丁香酚对照品怎么卖
英文名:Dehydrodiisoeugenol
产地:国产|进口
规格:20mg
本品为去*二异丁香酚化学对照品,供含量测定用,含量以99.2%计,使用前不需干燥处理。
CAS号:2680-81-1
分子式:C20H22O4
分子量:326.4
结构式:

包装及装量:棕色安瓿瓶,约20mg/支
储存条件:常温密封保存
注意事项:本品略有引湿性,打开包装后一次使用完毕。
欲咨询购买去*二异丁香酚对照品怎么卖,请致电北京百奥莱博科技有限公司,为您提供最全面周到的产品服务,除此之外,我公司正在促销以下产品:
·通关藤苷H
编号:BP1453
英文名称:Tenacissoside H
规格:20mg/支
本品为通关藤苷H化学对照品,供鉴别及含量测定用,含量以99.8%计。
分子式:C42H66O14
分子量:794.26
包装及装量:棕色安瓿瓶。
储存条件:室温保存。
注意事项:使用前无需处理。
·4-*基-5-*基甲酰基咪唑
编号:BP0494
英文名称:4-Amino-5-imidazolecarboxamide
规格:100mg/支
本品为4-*基-5-*基甲酰基咪唑对照品,供HPLC法系统适用性试验用,使用前不需干燥处理。
CAS号:360-97-4
分子式:C4H6N4O
分子量:126.12
包装及装量:棕色安瓿装,每支约100mg。
储存条件:遮光,密封,在冷处保存。
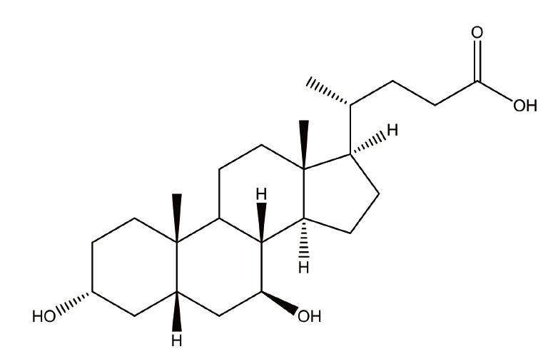
·熊去氧胆酸
编号:BP1052
英文名称:Ursodeoxycholic acid
规格:约20mg/支
本品为熊去氧胆酸化学对照品,供鉴别或含量测定用,含量99.4%。置五氧化二磷干燥器中减压干燥12小时后使用。
CAS号:128-13-2
分子式:C24H40O4
分子量:392.57
结构式:

包装:棕色安瓿
装量:约20mg/支
储存条件:冷处(2-10℃)保存
去*二异丁香酚对照品怎么卖关键词:Dehydrodiisoeugenol,去*二异丁香酚,2680-81-1
去*二异丁香酚由我公司长期专业供应,公司为广大顾客提供 去*二异丁香酚产品说明,生产厂家,价格,规格,哪里买 。公司遵循高品质的产品,高质量的技术服务,合理的价格,是国内研发与生产,销*(代"售")合为一体的一家大型企业,我们承诺:以最少的经费,最高的效率,得到您最需要的实验结果,同时我们承诺,若有质量问题,无条件退换。
·表木栓醇
编号:BP1274
英文名称:Epifriedelanol
规格:10mg
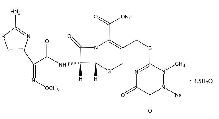
·头孢曲松
编号:BP1633
英文名称:Ceftriaxone
规格:200mg/支
本品为头孢曲松化学对照品,供高效液相法含量测定用,以头孢曲松(C18H16N8Na2O7S3)计,含量为83.9%,使用前不需要干燥处理。
CAS号:74578-69-1
分子式:C18H16N8Na2O7S3·3.5H2O
分子量:661.59
结构式:

包装:安瓿
规格:约200mg/支
储存条件:2-8℃保存
注意事项:本品建议打开
·鸭脚树叶碱
编号:BP1299
英文名称:Picrinine
规格:20mg
本品为鸭脚树叶碱化学对照品,供含量测定用,含量以98.8%计,置五氧化二磷减压干燥器中干燥12小时后使用。
分子式:C20H22N2O3
分子量:338.41
结构式:

包装:棕色瓶
规格:约20mg/支
储存条件:干燥密闭保存。
·丹参酮IIA磺酸*
编号:BP1235
英文名称:Sulfotanshinone Sodium
规格:20mg/支
本品为丹参酮IIA磺酸*化学对照品,供薄层鉴别用。
分子式:C19H17NaO6S
分子量:396
包装及装量:棕色瓶,每支约20毫克。
储存条件:常温密闭保存。
注意事项:使用前无需处理。
去*二异丁香酚对照品怎么卖关键词:Dehydrodiisoeugenol,去*二异丁香酚,2680-81-1
我公司是集科研和生产为一体的专业化生物工程公司。特别是ELISA研发,代测,技术服务这一产品已使百奥莱博成为中国知名公司。 公司产品涵盖ELISA研发、细胞培养,各种生化试剂、各种酶类、分子生物学试剂盒、去*二异丁香酚、培养基等。我们进一步加强人才经营、产品经营,不断提升企业的核心竟争力,实现具有高科技产业体系、知识化创业团队的国际化的公司,服务于生命科学领域,迎接世界经济一体化所带来的机遇与挑战。
J0303 兔抗猪IgG(H+L)抗血清 1ml/10ml
抗酸染色液(Kinyoun冷染法) 3×50ml|3×100ml
L-胱*酸 Indoxyl acetate 56-89-3
ARB13186 小鼠胰岛素样生长因子2(IGF-2)Elisa分析 Mouse insulin-like growth factor 2,igf-2 ELISA KIT
ARB14030 植物维生素A(VA)elisa测定使用说明书 Plant vitamin a,va ELISA KIT
PY04-081 甲氧苄*嘧啶乳酸液 0.5mg/支×10支 每支添加于100ml改良SKIRROW培养基基础中
聚乙*(代"烯")醇缩丁醛 Meglumine 63148-65-2
ARB11716 人集聚蛋白(AgrIn)elisa检测说明书 Human agrin ELISA KIT
总胆红素(TBIL)检测试剂盒(改良Jendrassik-Grof比色法) 50T
ARB10399 人可溶性转铁蛋白受体1(sTfR1)elisa测定使用说明书 Human soluble transferrin receptor1,stfr1 ELISA KIT
ARB13362 牛住肉孢子虫(SArcocystIs)检测服务
CYB164039 兔抗HRP-HRP(PAP)
ARB14080 犬前列腺素E2(PGE2)酶标法分析
ARB12060 大鼠叉头蛋白P3(FOXP3)定量分析 Rat forkhead box p3,foxp3 ELISA KIT
我公司倾力为客户提供最优 、最全、最有效的去*二异丁香酚等科研试剂产品,质量被全国各大院校科研机构认可。 同时,我们售前,售中,售后全程为您服务。欢迎来电咨询!
北京百莱博科技有限公司专业生产供应销*(代"售")生物试剂、化学试剂、抗原抗体、血清血浆、Elisa试剂盒,更多试剂产品需求,欢迎来电咨询选购去*二异丁香酚对照品怎么卖。
风险提示:丁香通仅作为第三方平台,为商家信息发布提供平台空间。用户咨询产品时请注意保护个人信息及财产安全,合理判断,谨慎选购商品,商家和用户对交易行为负责。对于医疗器械类产品,请先查证核实企业经营资质和医疗器械产品注册证情况。
技术资料暂无技术资料 索取技术资料










