万千商家帮你免费找货
0 人在求购买到急需产品
- 详细信息
- 文献和实验
- 技术资料
- 保存条件:
冷藏
- 保质期:
长期
- 库存:
659
- 供应商:
北京百奥莱博科技有限公司
特别声明:本产品及我公司所售其他产品均为科研类试剂产品,严禁用于药物、医疗及其他非科研用途。
北京百奥莱博公司供应包括北京葡萄糖酸依诺沙星标准品现货价格在内的化学标准品,化学对照品,杂志对照品,HPLC标准品,UV标准品等高品质标准品、对照品
名称:北京葡萄糖酸依诺沙星标准品现货价格
规格:100mg
产地:国产|进口
品牌:百奥莱博
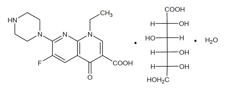
本品为葡萄糖酸依诺沙星化学对照品,供红外鉴别用,使用前不需干燥处理。
分子式:C15H17FN4O3·C6H12O7·H2O
分子量:534.50
结构式:

包装:白色安瓿
规格:约100毫克/支
储存条件:2-8℃保存
北京葡萄糖酸依诺沙星标准品现货价格极具性价比,此外,我公司正火爆促销以下产品:
·头孢孟多酯
编号:BP1676
英文名称:Cefamandole Nafate
规格:100mg
本品为头孢孟多酯化学对照品,供含量测定用,含量以头孢孟多C19H17N6NaO6S2计,使用前不需干燥处理。
CAS号:30034-03-8
分子式:C19H17N6NaO6S2
分子量:512.49
结构式:

包装:白色安瓿
规格:约100毫克/支
储存条件:2-8℃保存
·2’-去氧肌苷
编号:BP1907
英文名称:2’-deoxyinosine
规格:5mg/支
本品为2"-去氧肌苷化学对照品,供去羟肌苷有关物质检查使用。
CAS号:890-38-0
分子式:C10H12N4O4
分子量:252.23
包装:棕色安瓿
规格:约5mg/支
储存条件:-20℃
·广藿香酮
编号:BP1390
英文名称:Pogostone
规格:20mg
本品为广藿香酮化学对照品,供相关物质鉴别用。
分子式:C12H16O4
分子量:224.25
包装及装量:棕色瓶。
储存条件:干燥密闭冷处保存。
注意事项:使用前无需处理。
·盐*(代"酸")普罗帕酮
编号:BP0866
英文名称:Propafenone Hydrochloride
规格:100mg
本品为盐*(代"酸")普罗帕酮化学对照品,供UV法溶出度检查用,按C21H27NO3·HCl计,含量为99.9%。
CAS号:34183-22-7
分子式:C21H27NO3·HCl
分子量:377.91
包装及装量:棕色小瓶装,每支约100毫克。
储存条件:遮光,密封保存。
注意事项:使用前无需处理。
北京葡萄糖酸依诺沙星标准品现货价格关键词:百奥莱博,BP1717,葡萄糖酸依诺沙星
我公司以高效的产品质量,完善的销*(代"售")体系、快速、安全的产品渠道,优质的客户服务,以诚信的态度,真诚的对待客户、合作伙伴以及各位同仁,欢迎来电咨询葡萄糖酸依诺沙星!
·阿米卡星杂质A
编号:BP1691
英文名称:Amikacin Impurity A
规格:50mg
本品为阿米卡星杂质A化学对照品,供阿米卡星及硫*(代"酸")阿米卡星品种HPLC系统适用性用。
分子式:C22H43N5O13
分子量:585
结构式:

包装及装量:直口瓶;约50mg/支
储存条件:置4℃以下条件避光保存。
·氧化苦参碱
编号:BP1074
英文名称:Oxymatrine
规格:20mg/支
本品为氧化苦参碱化学对照品,供鉴别和含量测定用,使用前不需干燥处理。以C15H24N2O2计,含量92.5%。
CAS号:16837-52-8
分子式:C15H24N2O2
分子量:264.36
结构式:

包装:棕色安瓿瓶
规格:约20mg/支
储存条件:冷处(2-10℃)保存
注意事项:本品具有引湿性,建议打开包装一次性使用完。
·奥美拉唑*
编号:BP0750
英文名称:Omeprazole Magnesium
规格:100mg
本品对奥美拉唑*四水合物,供HPLC法测定, 按C34H36N6O6S2Mg计,含量为90.0%。
分子式:C34H36N6O6S2Mg·4H2O
分子量:785.16
包装及装量:棕色小瓶装,每支约100毫克。
储存条件:密封,遮光,在阴凉干燥处保存。
注意事项:使用前不需干燥处理。
北京葡萄糖酸依诺沙星标准品现货价格关键词:百奥莱博,BP1717,葡萄糖酸依诺沙星
我公司每月推出一类产品促销,您可对我公司网站时刻进行关注,在促销期间购买您所需产品葡萄糖酸依诺沙星,价格更优惠。所有产品质量保证,已经得到广大客户的认可,您可放心购买,且我司有专门的售后部门对客户进行全线跟踪。欢迎询价详谈!
ARB13696 兔吡*(代"啶")交联物(PY)Elisa方法检测 Rabbit pyridinium crosslink/pyrilinks,py ELISA KIT
145224-94-8 MES 2-(N-玛啡啉)乙磺酸
SJ0232 DMEM (高)
PY08-027 FRASER增菌液 10ml 10支/盒,用于李斯特氏菌的选择性分离培养
BL1050 孟加拉红培养基
ARB13436 鸡戊型肝炎(HEV)含量测试
ARB12637 大鼠雄激素(Androgen)免费代测 Rat androgen ELISA KIT
刃天青 Matrine 62758-13-8
ARB12344 大鼠补体蛋白3(C3)代做ELISA实验 Rat complement 3,c3 ELISA KIT
水杨酸*酯 5-HIAA 118-55-8
25322-68-3 聚乙二醇4000 PEG4000
顺乌头酸 L-(+)-Lyxose 585-84-2
ARB10387 人可溶性CD40配体(sCD40L)elisa检测说明书 Human soluble cluster of differentiation 40 ligand,scd40l ELISA KIT
PY08-082 胰蛋白胨大豆琼脂平板 9CM 10皿/盒,用于药品中需氧微生物总数测定
BTN120419 大肠杆菌DNA连接酶 E.coli DNA Ligase
79-06-1 丙*(代"烯")酰胺 Acrylamide
硫代甜菜碱8 BOC-D-Glutamic acid 15178-76-4
ARB13681 兔血管内皮细胞粘附分子1(VCAM-1/CD106)免费代测 Rabbit vascuolar cell adhesion molecule 1,vcam-1 ELISA KIT
ARB13670 兔主要组织相容性复合体I类(MHCI/RLAI)Elisa分析 Rabbit major Histocomp*(代"a")tibility complexi,mhci/rlai ELISA KIT
ARB11557 人流行性出血热IgG抗体(EHF IgG)elisa测定使用说明书 Human anti-epidemic hemorrhagic fever igG antibody,ehf igG ELISA KIT
我公司倾力为客户提供最优 、最全、最有效的葡萄糖酸依诺沙星等科研试剂产品,质量被全国各大院校科研机构认可。 同时,我们售前,售中,售后全程为您服务。欢迎来电咨询!
北京百莱博科技有限公司专业生产供应销*(代"售")生物试剂、化学试剂、抗原抗体、血清血浆、Elisa试剂盒,更多试剂产品需求,欢迎来电咨询选购北京葡萄糖酸依诺沙星标准品现货价格。
风险提示:丁香通仅作为第三方平台,为商家信息发布提供平台空间。用户咨询产品时请注意保护个人信息及财产安全,合理判断,谨慎选购商品,商家和用户对交易行为负责。对于医疗器械类产品,请先查证核实企业经营资质和医疗器械产品注册证情况。
文献和实验就到 有些抗体有现货,有些抗体没有现货,需要订购。 米宝 只有等着了。。 bianbenjamin 中山金桥,北京的,他们的二抗也是jakson分装的,我个人觉得二抗没有那么关键。 米宝 今天做上了。。问公司要了点进口分装的。。明天看出不出结果了。。晕 米宝 出结果了!结果条带比较杂,但是p-akt还是比较清楚的!另外,出现诡异现象就是,无法解释!糖
93311chen 本人在做荧光定量PCR是要用到NF-kB&β-actin标准品,请问哪里有卖!? jmfan Sigma公司应该有卖, 楼主可以直接上sigma公司网页,网址http://www.sigmaaldrich.com/Local/SA_Splash.html 或者和sigma公司中国分公司联系,网址 http://www.sigmaaldrich.com/Area
0.002% (w/w),或在1% BSA溶液中脂肪酸浓度 作用:可用于测定培养的组织细胞释放的游离脂肪酸浓度等。 4、 牛血清白蛋白(无蛋白酶),或者称为无Protease 牛血清白蛋白,或者称为Protease Free BSA,产品不含有DNAse酶、蛋白酶以及IgG,如Equitech bio公司货号为BAH67的BSA(我们公司长期有现货供应)和wako货号为:010-15131的牛血清蛋白。 作用
技术资料暂无技术资料 索取技术资料









