万千商家帮你免费找货
0 人在求购买到急需产品
- 详细信息
- 文献和实验
- 技术资料
- 库存:
691
- 英文名:
penicillinase
- 保质期:
长期
- 供应商:
北京百奥莱博科技有限公司
- 保存条件:
冷藏
特别声明:本产品及我公司所售其他产品均为科研类试剂产品,严禁用于药物、医疗及其他非科研用途。
北京青霉素酶(盒)对照品厂商由专业试剂供应商北京百奥莱博提供,用于科研目的生化试验项目,本产品质量好,且极具价格优势,深为用户称道,了解更多青霉素酶(盒)等标准品对照品产品请联*(代"系")我司咨询订购。
名称:北京青霉素酶(盒)对照品厂商
规格:2mL/支,10支/盒
产地:国产|进口
品牌:百奥莱博
英文名:penicillinase
编号:BP1619
想要了解更多关于北京青霉素酶(盒)对照品厂商的价格、品牌、厂家、说明书、促销信息,请和我们联*(代"系")。此外我公司还销*(代"售")下面的产品:
·花生酸甲酯
编号:BP2006
规格:50mg
本品为花生酸甲酯化学对照品,供大豆油、*化大豆油、橄榄油、山嵛酸甘油酯、*化蓖麻油等品种脂肪酸组成检查用。
CAS号:1120-28-1
分子式:C21H42O2
分子量:326.56
包装及装量:棕色西林瓶装,每支约50毫克
储存条件:遮光、密封,在阴凉处保存。
注意事项:使用前不需干燥处理。
·三甲沙*(代"林")
编号:BP2186
英文名称:Trioxsalen
规格:30mg/支
本品为三甲沙*(代"林")化学对照品,供HPLC法含量测定用,以C14H12O3计,含量为99.2%,使用前不需干燥处理。
CAS号:3902-71-4
分子式:C14H12O3
分子量:228.24
包装及装量:棕色西林瓶装,每支约30毫克。
储存条件:遮光
·他唑巴坦
编号:BP1659
英文名称:Tazobactam
规格:100mg
本品为他唑巴坦化学对照品,供高效液相含量测定用,含量以他唑巴坦(C10H12N4O5S)计。
使用方法:使用前不需要干燥处理。精密称取适量,按规定的方法,配制至所需浓度的对照品溶液,立即使用。
储存条件:置5℃以下条件低温避光保存。启开安瓿后严密保持干燥,以防吸水。
北京青霉素酶(盒)对照品厂商关键词:penicillinase,BP1619,盒,青霉素酶,青霉素酶(盒)
我公司严格遵守“质量优先、客户优先、技术优先、服务优先”“四项优先”原则;青霉素酶(盒)已被广泛应用于化学、化工、生命科学的基础研究和开发应用等诸多领域,并销往全国各地,公司客户遍布国内各大学、医院、研究所、卫生防疫、制药公司、生物公司等单位,得到广大客户的一致好评。我们的宗旨是“为客户提供最优质的产品和服务”。 百奥莱博以技术为核心并拥有完善的市场营销体系、现代化管理体系和专业化物流配送系统,最大程度满足国内外生命科研人员的产品需求。公司专门设立优质完善的客服中心及技术中心,第一时间为客户解决技术支持、产品跟踪以及售后等相关问题,旨在生命科学和医学科学研究领域创造具有国际竞争力的自主知识产权品牌产品。欢迎社会各界朋友前来洽谈业务,共创辉煌!
·山梨酸*
编号:BP0782
英文名称:Potassium Sorbate
规格:100mg
本品为山梨酸*化学对照品,使用前不需干燥处理。供HPLC法测定用,按C6H7KO2计,含量为99.7%。
CAS号:590-00-1
分子式:C6H7KO2
分子量:150.22
结构式:

包装:棕色安瓿瓶
规格:约100毫克/支
储存条件:遮光,10~30℃密封保存
注意事项:建议RH50%以下使用,打开一次使用完毕
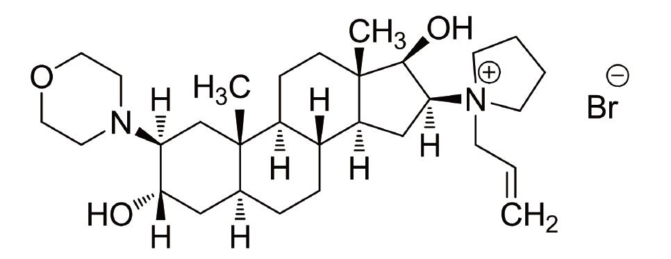
·罗库*铵杂质V
编号:BP0973
英文名称:Rocuronium Bromide Impurity V(1-[3α,17β-dihydroxy-2β-(morpholin-4-yl)-5α-androstan-16β-yl]-1-(prop-2-enyl)pyrrolidinium Bromide)
规格:约20毫克/支
本品为罗库*铵杂质V化学对照品,使用前不需干燥处理,供HPLC法系统适用性试验用。
CAS号:119302-86-2
分子式:C30H51BrN2O3
分子量:567.64
结构式:

包装:棕色西林瓶
规格:约20毫克/支
储存条件:遮光,2-8℃保存
·磺胺二甲嘧啶
编号:BP0322
英文名称:Sulfadimidine
规格:100mg
本品为磺胺二甲嘧啶化学对照品。供含量测定用。
分子式:C12H14N4O2S
分子量:278.33
CAS号:57-68-1
包装及装量:棕色小瓶装,每支约100毫克。
储存条件:遮光,密封保存
注意事项:使用前不需干燥处理。
·山嵛酸甘油酯
编号:BP2018
英文名称:Sulfadimidine
规格:500mg
本品为山嵛酸甘油酯化学对照品,供山嵛酸甘油酯品种薄层鉴别用。
包装及装量:棕色西林瓶装,每支约500毫克
储存条件:遮光,密封,于阴凉处保存。
注意事项:使用前不需干燥处理。
北京青霉素酶(盒)对照品厂商关键词:penicillinase,BP1619,盒,青霉素酶,青霉素酶(盒)
青霉素酶(盒)如何储存?
化学试剂的变质,大多数情况是因为受外界条件的影响,如空气中的氧气、二氧化碳、水蒸气、空气中的酸碱性物质以及环境 温度、光照等,都可使化学试剂发生氧化、还原、潮解、风化、析晶、稀释、锈蚀、分解、挥发、升华、聚合、发霉、变色以及燃爆等变化。经常检查储存中的化学 试剂的存放状况发现实际起过的储存期或变质应及时报告,并按规定妥善处理 ( 降级使用或报废) 和销帐。在正常储存条件下,一般化学试剂贮有不宜超过2年,基准试剂不超1年。为了避免环境和其他因素的干扰,所有化学试剂一经取出不得放回贮有容器: 属于必须回收的试剂或指定、退库、的试剂,必须另设专用容器回收或贮存,具有吸潮性或易氧化,易变质的化学试试剂必须密封保存,避免吸湿解,氧化或变质。 定期盘点,核对出现差错应及时检查原因,并报主管领导或部门处理。
PY02-013 营养肉汤(NB) 250克
DP326 深加工食品DNA提取试剂盒
肽聚糖 Dextran 27814-48-8
L-半胱*酸盐*(代"酸")盐一水物 1,5-Dihydroxynaphthalene 7048-04-6
ARB12055 大鼠干细胞因子/肥大细胞生长因子(SCF/MGF)含量分析 Rat stem cell factor/mast cell growth factor,scf/mgf ELISA KIT
无酶细胞消化液 100ml
BTN130577 小鼠抗GST标签单抗 Anti GST-Tag Mouse Mab
2-丙*(代"烯")酰*基-2-甲基-1-丙磺酸 BOC-D-Homophenylalanine 15214-89-8
76738-62-0 Paclobutrazol 多效唑
葡萄糖溶液(无菌) 10%|20%|30% 100ml
ARB12244 大鼠血管生成素1(ANG-1)elisa检测操作说明书 Rat angiopoietin 1,ang-1 ELISA KIT
ARB13104 小鼠骨形成蛋白(BMPs)Elisa定量检测 Mouse bone morphogenetic proteins,bmps ELISA KIT
BOC-L-谷*酰胺 Apocynin 13726-85-7
ARB13527 兔C-反应蛋白(CRP)酶标法分析 Rabbit c-reactive protein,crp ELISA KIT
棕榈酸 L-Ornithine L-aspartate salt 57-10-3
蛋黄卵磷脂 β-Propiolactone
生物化工学科起始于第二次世界大战时期,以抗生素的深层发酵和大规模生产技术的研究为标志。20世纪60年代末至80年代中期,转基因技术、生物催化与转比技术、动植物细胞培养技术、新型生物反应器和新型生物分离技术等开发和研究的成功,使本学科进入了新的发展时期,学科体系逐步完善。20世纪后期,随着以基因工程为代表的高新技术的迅速崛起,为本学科的进一步发展开辟了新领域,无数前人的工作和我公司的不懈奋斗。造就了高品质的青霉素酶(盒)。
我公司生产供应销*(代"售")的标准品对照品产品正全系列现货促销,满分期待您的垂询选购北京青霉素酶(盒)对照品厂商。
风险提示:丁香通仅作为第三方平台,为商家信息发布提供平台空间。用户咨询产品时请注意保护个人信息及财产安全,合理判断,谨慎选购商品,商家和用户对交易行为负责。对于医疗器械类产品,请先查证核实企业经营资质和医疗器械产品注册证情况。
文献和实验以下操作按照天根产品 DP433 血液总 RNA 提取试剂盒的说明书进行,所有反应现象仅适用于该产品及本文所标明的样本量。如使用其它操作流程或产品,样本量不同可能现象与本文有所差异。实验准备:1. 新鲜血液样品( 200 μl )2. 无水乙醇,β-巯基乙醇3. 一次性无菌注射器(DNase I配置),移液器及配套RNase-Free无菌枪头(200 μl ,1ml) 1.5 ml,2.0ml 离心管(RNase-free)4. 通风橱 涡旋振荡器 金属浴 台式低温离心机本文版权归天根生化科技
以下操作按照天根产品 DP432 植物总 RNA 提取试剂盒的说明书进行,所有反应现象仅适用于该产品及本文所标明的样本量。如使用其它操作流程或产品,样本量不同可能现象与本文有所差异。实验准备:1. 植物样品(10-20 mg),研钵,液氮2. 无水乙醇,β-巯基乙醇3. 一次性无菌注射器(DNase I配置),移液器及配套RNase-Free无菌枪头(200 μl ,1ml) 1.5 ml,2.0ml 离心管(RNase-free)4. 通风橱 涡旋振荡器 金属浴 台式低温离心机本文版权归天
RNAsimple 总 RNA 提取试剂盒操作指南(DP419) ——植物
以下操作按照天根产品 DP419 RNAsimple 总 RNA 提取试剂盒的说明书进行,所有反应现象仅适用于该产品及本文所标明的样本量。如使用其它操作流程或产品,样本量不同可能现象与本文有所差异。实验准备:1. 植物叶片 研钵 液氮2. 无水乙醇 氯仿3. 移液器及配套 RNase-free 无菌枪头(200 μl ,1ml),1.5 ml,2.0ml 离心管(RNase-free)4. 涡旋振荡器,台式低温离心机实验准备-试剂盒准备:第一次使用前应在去蛋白液 RD、漂洗液 RW 中
技术资料暂无技术资料 索取技术资料









