相关产品推荐更多 >
万千商家帮你免费找货
0 人在求购买到急需产品
- 详细信息
- 文献和实验
- 技术资料
- 库存:
662
- 英文名:
Sylvestroside C
- 保质期:
长期
- 供应商:
北京百奥莱博科技有限公司
特别声明:本产品及我公司所售其他产品均为科研类试剂产品,严禁用于药物、医疗及其他非科研用途。
北京百奥莱博公司供应包括匙羹藤皂苷C对照品特价优惠在内的化学标准品,化学对照品,杂志对照品,HPLC标准品,UV标准品等高品质标准品、对照品
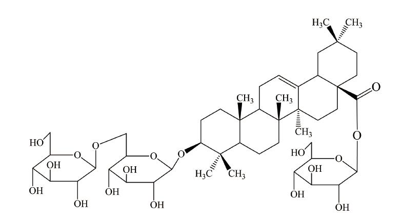
名称:匙羹藤皂苷C
规格:20mg
品牌:百奥莱博
产地:国产|进口
编号:BP1355
本品为匙羹藤皂苷C化学对照品,供比色法含量测定用,含量以95.7%计,使用前置五氧化二磷减压干燥器中干燥12小时以上。
分子式:C48H78O18
分子量:942
结构式:

包装及装量:棕色瓶,约20mg/支
储存条件:干燥密闭保存。
关键词:Sylvestroside C,匙羹藤皂苷C,BP1355
更多有关匙羹藤皂苷C对照品特价优惠的价格及使用说明等,请联*(代"系")我们的业务经理王欣女士咨询,我公司还销*(代"售")以下产品:
| 编号 | 名称 |
| BP1526 | 莫诺苷 |
| BP1864 | 门冬酰胺酶(欧文菌) |
| BP1570 | 乙酰螺旋霉素 |
| BP1196 | 生姜油 |
| BP1891 | N-乙酰-半胱*酰1-鲑降*素 |
| BP2070 | 二甲硅油 200 |
| BP1017 | 丹皮酚 |
| BP0213 | 盐*(代"酸")羟嗪 |
| BP1251 | 糠酸 |
| BP0698 | 吗替麦考酚酯杂质F(麦考酚酸) |
| BP0704 | 盐*(代"酸")戊乙奎醚 |
| BP0402 | 羟喜树碱 |
| BP0203 | 亚叶酸* |
| BP0994 | 碘帕醇杂质A |
| BP0005 | *丁酸氮*(代"芥") |
| BP1508 | 白术内酯II |
| BP0540 | 吡嘧司特* |
| BP0610 | *甲*(代"酸")利扎曲普坦 |
| BP1275 | 吉马酮(牻牛儿酮) |
| BP0759 | *甲酰化地*雷他定 |
| BP2064 | 三*蔗糖 |
| BP1430 | 格列风内酯 |
| BP1524 | 10-姜酚 |
| BP1697 | 对硝基*(代"*")甲醛 |
| BP0308 | 豆腐果苷 |
| BP1360 | 卫矛醇 |
| BP1102 | 牛磺胆酸* |
| BP0227 | 卡巴胂 |
| BP0729 | 马来酸桂哌齐特 |
| BP0793 | 磷酸奥司他韦 |
| BP1104 | 盐*(代"酸")川芎嗪 |
| BP0879 | 9-顺阿维A |
| BP0870 | 亚磷酸 |
| BP1162 | 羟基积雪草苷 |
| BP1256 | β-蜕皮甾酮 |
| BP1317 | 人参皂苷Rf |
| BP2185 | 糖精* |
| BP0218 | 金诺芬 |
| BP0065 | 左炔诺孕酮 |
| BP1852 | 脱氧核糖腺嘌呤核苷酸*(A) |
| BP1237 | 甘草苷 |
| BP1494 | 蒺藜呋甾皂苷B |
风险提示:丁香通仅作为第三方平台,为商家信息发布提供平台空间。用户咨询产品时请注意保护个人信息及财产安全,合理判断,谨慎选购商品,商家和用户对交易行为负责。对于医疗器械类产品,请先查证核实企业经营资质和医疗器械产品注册证情况。
文献和实验摘要:目的对野生和栽培竹节参中所含人参皂苷及其含量进行比较。方法参照人参的分析方法,以人参皂苷 Rg1、 Re为对照品,对野生和栽培竹节参进行 TLC鉴别比较,用发HPLC法进行定量分析。结果在选定的薄层条件下,对照品与供试品的薄层图谱清晰,分离度好,栽培和野生竹节参具有相同的斑点; 对照品在0.48~2.40 μg范围内具有良好的线性关系,回归方程为:Y= 336 182X-302 41, r=0.999 8。结论根据测定和比较的结果,栽培和野生竹节参所含人参皂苷类成分基本
提取物由本中心按拟议中的标准生产工艺制备。桔梗皂苷D对照品购于吉林农业大学药学院。乙腈为色谱级,水为重蒸水。 2 方法与结果 2.1 色谱条件色谱柱为Agilent Hypersil ODS柱(4.6 mm×250 mm,5 μm),流动相为乙腈∶0.5%乙酸=28∶72,柱温为25℃,流速1.0 ml/min。ELSD参数:雾化器温度36℃,漂移管温度75℃,载气压力25psi。理论塔板数按桔梗皂苷D峰计算应不低于3000,桔梗皂苷D的峰与其他峰能达到基线分离,且出峰时间适宜
出发点是什么?怎么说它至少也是一个半定量指标,总比纯粹的鉴别指标好吧? 4.“如含有苷类成分的新药,如采用水解后苷元的含量为含测指标则难以反映在贮存期问苷类成分水解成苷元的情况。”如果是以皂苷为指标成分,为了防止找储藏过程中皂苷水解的问题,应该怎么做?对于成品只做稳定性试验,能说明问题吗? 5.许多中药有效成分测定含量要用外标法测定,这有一个问题。许多有效成分很难有法定机构来源的对照品,买一些试剂公司的试剂可以吗?对方有本公司的报告
技术资料暂无技术资料 索取技术资料










