万千商家帮你免费找货
0 人在求购买到急需产品
- 详细信息
- 技术资料
- 保存条件:
冷藏
- 保质期:
长期
- 英文名:
Nadifloxacin
- 库存:
439
- 供应商:
北京百奥莱博科技有限公司
特别声明:本产品及我公司所售其他产品均为科研类试剂产品,严禁用于药物、医疗及其他非科研用途。
北京百奥莱博公司供应包括北京现货那*沙星对照品促销在内的化学标准品,化学对照品,杂志对照品,HPLC标准品,UV标准品等高品质标准品、对照品
名称:北京现货那*沙星对照品促销
英文名:Nadifloxacin
产地:国产|进口
品牌:百奥莱博
编号:BP1631
本品为那*沙星化学对照品,供高效液相含量测定用,含量以那*沙星(C19H21FN2O4)计。
使用方法:精密称取适量,按质量标准所规定的方法,配制至所需浓度的对照品溶液,立即使用。
储存条件:置 5℃以下条件低温避光保存。启开安瓿后严密保持干燥以防吸水。
注意事项:使用前不需干燥处理。
北京现货那*沙星对照品促销正在火爆热销,除此之外,为您推荐下别热销产品:
·米力农杂质Ⅰ
编号:BP0778
英文名称:Milrinone Impurity Ⅰ(1,6-Dihydro-2-methyl-6-oxo-(3,4′-bipyridine)-5-carboxamide)
规格:30mg/支
本品为米力农杂质Ⅰ化学对照品,使用前不需干燥处理。供HPLC法检查用,按C12H11N3O2计,含量为100%。
CAS号:80047-24-1
分子式:C12H11N3O2
分子量:229.23
包装:棕色西林瓶。
规格:约30毫克/支。
储存条件:遮光,10~30℃密闭保存。
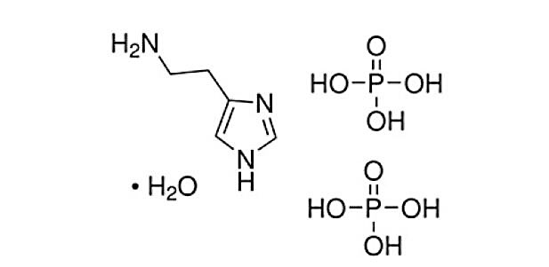
·磷酸组胺
编号:BP1930
英文名称:Histamine bisphosphate
规格:20mg
本品为磷酸组胺化学对照品,供降压物质检查用,本品为磷酸组织胺粉末。
CAS号:51-74-1
分子式:C5H9N3·2H3PO4·H2O
分子量:325.15
结构式:

包装及装量:安瓿瓶,约20mg/支
储存条件:避光冷藏。
使用方法:精密称取本品,将称取的毫克数乘以0.342(即换算出磷酸组胺中含有组胺的量),所得毫克数,每毫克加灭菌蒸馏
·大黄酸
编号:BP1054
英文名称:Rhein
规格:20mg/支
本品为大黄酸化学对照品,供鉴别或含量测定用,含量99.3%。置五氧化二磷干燥器中减压干燥12小时后使用。
CAS号:478-43-3
分子式:C15H8O6
分子量:284.21
结构式:

包装:棕色瓶。
规格:约20mg/支。
储存条件:冷处(2-10℃)保存。
北京现货那*沙星对照品促销关键词:那*沙星,BP1631,Nadifloxacin
那*沙星现货供应,凡在我公司购买该产品均可享受免费的技术咨询服务,年中降价>>低价格促销:elisa试剂盒,Amrecso原装试剂、抗体、等相关试剂,产品品种齐全,价格优惠。产品质量,服务质量均是一流,您尽可放心购买!
BL1409 "Western blotting(小鼠IgG)
BTN120625 ATP溶液,100mM ATP Solution
ARB12301 大鼠抗单核细胞抗体(AMA)酶联免疫定量检测 Rat anti-monocyte antibody,ama ELISA KIT
ARB10070 人cAMP反应元件结合蛋白(CREB)血清中含量检测 Human cyclic amp response element binding protein,creb ELISA KIT
三碘季铵酚 Mucin 65-29-2
石蜡包埋组织切片总RNA提取试剂盒
BL0643 *基-琼脂糖凝胶CL-4B Phenyl -Sepharose CL-4B
BL0859 兔抗生物素纯化抗体
F020226 兔抗猫IgG抗体 Rabbit Anti-Cat IgG
Core苏木素染色液 100ml|500ml
ARB11410 人诱导型一氧化*(代"氮")合成酶(INOS)含量检测 Human inducible nitric oxide synthase,inos ELISA KIT
乙酸维生素E L-amino acid oxidase 58-95-7
泰乐霉素 Azure B 1405-54-5
北京现货那*沙星对照品促销关键词:那*沙星,BP1631,Nadifloxacin
那*沙星等级划分:
我国的试剂规格基本上按纯度(杂质含量的多少)划分,共有高纯、光谱纯、基准、分光纯、优级纯、分析和化学纯等7种。国家和主管部门颁布质量指标的主要优级纯、分级纯和化学纯3种。
(1)优级纯(GR),又称一级品或保证试剂,99.8%,这种试剂纯度最高,杂质含量最低,适合于重要精密的分析工作和科学研究工作,使用绿色瓶签。
(2)分析纯(AR),又称二级试剂,纯度很高,99.7%,略次于优级纯,适合于重要分析及一般研究工作,使用红色瓶签。
(3)化学纯(CP),又称三级试剂,≥ 99.5%,纯度与分析纯相差较大,适用于工矿、学校一般分析工作。使用蓝色(深蓝色)标签。
(4)实验试剂(LR),又称四级试剂。
ARB10957 人肝癌抗原(PHC)elisa检测操作说明书 Human primary hepatic carcinoma,phc ELISA KIT
F030709 BIOTIN标记羊抗乙肝e抗原抗体 Polyclonal Goat Anti-HBeAg*BIOTIN
乙酸*溶液(3mol/L,pH5.4,无菌) 500ml
6915-15-7 DL-Malic acid DL-苹果酸
色苷酸* BOC-ON 15826-37-6
BTN130659 三磷酸腺苷双磷酸酶 Apyrase
SB培养基(Super Broth) 500ml
1523-11-1 乙酸-2-奈脂 2-Naphth 2 acetate
ARB11525 人胶原酶Ⅱ(CollAgenAse Ⅱ)酶标法分析 Human collagenase type Ⅱ ELISA KIT
F030606 FITC标记山羊抗小鼠IgG2a抗体 Goat Anti-Mouse IgG2a*FITC
D-亮*酸 D-Lysine 328-38-1
PY02-032 月桂基硫*(代"酸")盐胰蛋白胨肉汤(LST) 250克
我公司是集科研和生产为一体的专业化生物工程公司。特别是ELISA研发,代测,技术服务这一产品已使百奥莱博成为中国知名公司。 公司产品涵盖ELISA研发、细胞培养,各种生化试剂、各种酶类、分子生物学试剂盒、那*沙星、培养基等。我们进一步加强人才经营、产品经营,不断提升企业的核心竟争力,实现具有高科技产业体系、知识化创业团队的国际化的公司,服务于生命科学领域,迎接世界经济一体化所带来的机遇与挑战。
我公司正在火爆促销标准品对照品系列产品,欢迎您的垂询选购北京现货那*沙星对照品促销。
风险提示:丁香通仅作为第三方平台,为商家信息发布提供平台空间。用户咨询产品时请注意保护个人信息及财产安全,合理判断,谨慎选购商品,商家和用户对交易行为负责。对于医疗器械类产品,请先查证核实企业经营资质和医疗器械产品注册证情况。
技术资料暂无技术资料 索取技术资料










