万千商家帮你免费找货
0 人在求购买到急需产品
- 详细信息
- 询价记录
- 文献和实验
- 技术资料
- 库存:
774
- 英文名:
Rutin(Rutoside)
- CAS号:
153-18-4
- 保质期:
长期
- 供应商:
北京百奥莱博科技有限公司
- 保存条件:
遮光,密封,10~30℃
特别声明:本产品及我公司所售其他产品均为科研类试剂产品,严禁用于药物、医疗及其他非科研用途。
北京百奥莱博公司供应包括北京现货芦丁标准品厂家在内的化学标准品,化学对照品,杂志对照品,HPLC标准品,UV标准品等高品质标准品、对照品
名称:北京现货芦丁标准品厂家
规格:100mg/支
品牌:百奥莱博
编号:BP0068
产地:国产|进口
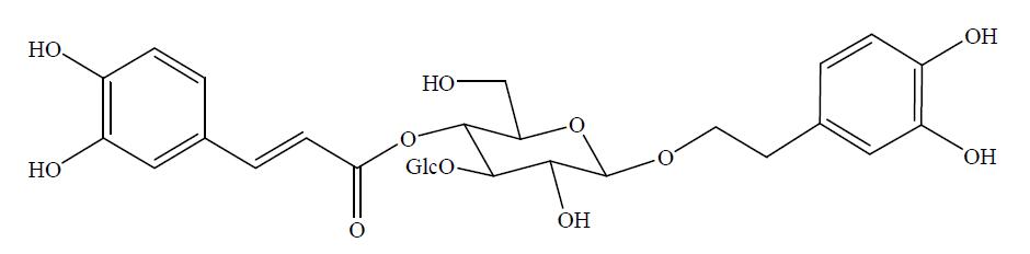
本品为芦丁Rutin(Rutoside)的化学对照品,供鉴别、含量测定用,使用前不需干燥处理。按C27H30O16计,供HPLC法测定,含量为91.9%;供UV法测定,含量为92.6%。
分子式:C27H30O16
结构式:

分子量:610.52
CAS号:153-18-4
包装:棕色安瓿
装量:约100毫克/支
储存条件:遮光,密封,10~30℃
北京现货芦丁标准品厂家极具性价比,此外,我公司正火爆促销以下产品:
·醋酸赖*酸
编号:BP1898
英文名称:Lysine Acetate
规格:220mg/瓶
本品为醋酸赖*酸化学对照品,供鉴别与含量测定,含量以C6H14N2O2·C2H4O2计为100.0%
CAS号:57282-49-2
分子式:C6H14N2O2·C2H4O2
分子量:206.24
包装:2ml棕色西林瓶
装量:220mg/瓶
储存条件:常温
·盐*(代"酸")左旋咪唑
编号:BP0134
英文名称:Levamisole Hydrochloride
规格:100mg
本品为盐*(代"酸")左旋咪唑的化学对照品,供含量测定用。供UV法测定,按C11H12N2S·HCl计,含量为99.9%。
分子式:C11H12N2S·HCl
分子量:240.76
CAS号:16595-80-5
包装及装量:棕色小瓶装,每支约100毫克
储存条件:遮光,密封保存。
注意事项:使用前不需干燥处理,溶液临用新制。
·二丁基羟基甲*
编号:BP2029
英文名称:Butylated Hydroxytoluene
规格:50mg/瓶
本品为二丁基羟基甲*化学对照品,供二丁基羟基甲*项下含量测定用。使用前不需干燥。本品以C15H24O计,含量为99.9%,使用前不需干燥处理。
CAS号:128-37-0
分子式:C15H24O
分子量:220.35
包装:棕色西林瓶
规格:约50毫克/支
储存条件:遮光,阴凉干燥处保存。
注意事项:建议打开包装一次性使用完。
·大车前苷
编号:BP1454
英文名称:Plantamajoside
规格:约20mg/支
本品为大车前苷化学对照品,供鉴别及含量测定用,含量以90.2%计,使用前不需干燥处理。
CAS号:104777-68-6
分子式:C29H36O16
分子量:640
结构式:

包装:棕色安瓿瓶
规格:约20毫克/支
储存条件:冷冻保存
注意事项:本品不稳定,且有引湿性,打开包装后一次使用完毕。
北京现货芦丁标准品厂家关键词:芦丁,Rutin(Rutoside),153-18-4
我公司在保证产品质量的同时,以价格优、到货快、服务周到,致力于芦丁的研发、销*(代"售")。售前、售中、售后免费技术指导,质量保证,可放心购买!
碳酸银 H acid monosodiu*(代"m") salt 534-16-7
直接胆红素(DBIL)检测试剂盒(钒酸比色法) 50T|100T
BTN130590 小鼠抗HPC4标签蛋白单抗 Anti HPC4-Tag Mouse Mab
BL0769 的盒子
磺胺甲基嘧啶 Alcohol Oxidase 127-79-7
Rakoff染色液 100ml|500ml
ARB12660 大鼠叠氮胸苷(AZT)含量检测 Rat azidothymidine,azt ELISA KIT
F030617 FITC标记兔抗狗IgG抗体 Rabbit Anti-Dog IgG*FITC
ARB12783 小鼠αL岩藻糖苷酶(AFU)elisa测定使用说明书 Mouse alpha-l-fucosidase,afu ELISA KIT
PY02-192 卵黄高盐琼脂基础 250克
ARB11055 人*丙*酸(LPA)血清中含量检测 Human l-phenylalanine,lpa ELISA KIT
BFD050 *乙醇胺A快速检测卡(最新产品)
Tris缓冲盐溶液(10×TBS,pH7.4) 500ml
E0301 抗凝绵羊血(无菌 pet瓶装) 100ml/200ml/500ml
北京现货芦丁标准品厂家关键词:芦丁,Rutin(Rutoside),153-18-4
芦丁由我公司长期专业供应,公司为广大顾客提供 芦丁产品说明,生产厂家,价格,规格,哪里买 。公司遵循高品质的产品,高质量的技术服务,合理的价格,是国内研发与生产,销*(代"售")合为一体的一家大型企业,我们承诺:以最少的经费,最高的效率,得到您最需要的实验结果,同时我们承诺,若有质量问题,无条件退换。
·非那雄胺
编号:BP0473
英文名称:Finasteride
规格:100mg
本品为非那雄胺化学对照品,供HPLC法含量测定用,使用前不需干燥处理,按C23H36N2O2计,含量为99.6%。
分子式:C23H36N2O2
分子量:372.55
CAS号:98319-26-7
包装及装量:棕色西林瓶装,每支约100毫克。
储存条件:遮光,密封保存。
注意事项:使用前不需干燥处理。
·格列美脲杂质1
编号:BP0599
英文名称:GlimePiride Impurity 1
规格:50mg
本品为格列美脲杂质Ⅰ化学对照品,供检查用。
分子式:C19H25N3O6S
分子量:423
包装及装量:棕色小瓶装,每支约50毫克。
储存条件:密封,在阴凉处保存。
注意事项:使用前不需干燥处理。
·三乙醇胺
编号:BP2028
英文名称:Trolamine
规格:1ml
本品为三乙醇胺化学对照品,供三乙醇胺品种有关物质检查用,使用前不需干燥处理,以C6H15NO3计,含量为96.7%。
CAS号:102-71-6
分子式:C6H15NO3
分子量:149.19
包装:棕色玻璃安瓿
规格:约1ml/瓶
储存条件:遮光、密封保存
·钆贝葡铵杂质(丙*(代"酮")酸*)
编号:BP0964
英文名称:Propanoic acid, 2-oxo-, sodiu*(代"m") salt (1:1)
规格:100mg/支
本品为钆贝葡铵杂质(丙*(代"酮")酸*)化学对照品,供检查用,使用前不需干燥处理,供HPLC法测定,按C3H3NaO3计,含量为100%。
CAS号:113-24-6
分子式:C3H3NaO3
分子量:110.04
结构式:

包装:棕色小瓶装
规格:每支约100毫克
储存条件:遮光,10~30℃密闭干燥处保存。
我公司是集科研和生产为一体的专业化生物工程公司。特别是ELISA研发,代测,技术服务这一产品已使百奥莱博成为中国知名公司。 公司产品涵盖ELISA研发、细胞培养,各种生化试剂、各种酶类、分子生物学试剂盒、芦丁、培养基等。我们进一步加强人才经营、产品经营,不断提升企业的核心竟争力,实现具有高科技产业体系、知识化创业团队的国际化的公司,服务于生命科学领域,迎接世界经济一体化所带来的机遇与挑战。
我公司正在火爆促销标准品对照品系列产品,欢迎您的垂询选购北京现货芦丁标准品厂家。
风险提示:丁香通仅作为第三方平台,为商家信息发布提供平台空间。用户咨询产品时请注意保护个人信息及财产安全,合理判断,谨慎选购商品,商家和用户对交易行为负责。对于医疗器械类产品,请先查证核实企业经营资质和医疗器械产品注册证情况。
- 作者
- 内容
- 询问日期
文献和实验就到 有些抗体有现货,有些抗体没有现货,需要订购。 米宝 只有等着了。。 bianbenjamin 中山金桥,北京的,他们的二抗也是jakson分装的,我个人觉得二抗没有那么关键。 米宝 今天做上了。。问公司要了点进口分装的。。明天看出不出结果了。。晕 米宝 出结果了!结果条带比较杂,但是p-akt还是比较清楚的!另外,出现诡异现象就是,无法解释!糖
前段时间,小编的朋友圈被「我们的 18 岁」刷了屏,大家争相回忆自己曾经的似水年华。原来十年前,已经是 2009,而不再是 1999 了。,但是实验室的一些老物件却勾起了小编对于过去回忆……试剂篇这是一瓶好早以前的硫酸锌,从这个国家标准来看,应该是 1978 年后生产的。还有北京朝阳区化工四厂出品的硫酸锰。北京化工四厂 1956 年建厂, 1964 年由市区迁入房山区,是一个有 60 多年的老厂。这瓶柠檬酸三钠从批号看是 1985 年产的,比小编大了能有 10 岁。不看不知道,原来实验室很早
清白蛋白第五组分,英文名称:BSAV,这个是生物技术级的产品,适用范围是最广的,有些厂家的BSAV脂肪酸和内毒素很低,可直接用于细胞培养,纯度高甚至可以用于任何相关实验。常用的有Roche公司的10735078001,Sigma公司的A7906,Amresco公司的0332。 作用:Elisa实验,WB实验,因BSA分子量为66KDa,纯度高的还可用作蛋白质marker。 3、 牛血清白蛋白(无必须脂肪酸),脂肪酸含量极低,脂肪酸含量≤
技术资料暂无技术资料 索取技术资料










