相关产品推荐更多 >
万千商家帮你免费找货
0 人在求购买到急需产品
- 详细信息
- 技术资料
- 保存条件:
室温
- 保质期:
长期
- 英文名:
Sodium Taurocholate
- 库存:
755
- 供应商:
北京百奥莱博科技有限公司
- CAS号:
145-42-6
特别声明:本产品及我公司所售其他产品均为科研类试剂产品,严禁用于药物、医疗及其他非科研用途。
北京百奥莱博公司供应包括牛磺胆酸*对照品促销在内的化学标准品,化学对照品,杂志对照品,HPLC标准品,UV标准品等高品质标准品、对照品
名称:牛磺胆酸*对照品促销
产地:国产|进口
编号:BP1102
品牌:百奥莱博
规格:20mg
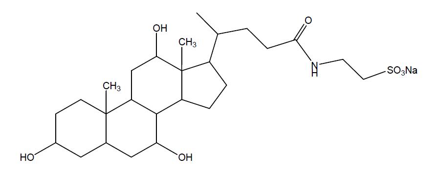
本品为牛磺胆酸*化学对照品,供鉴别或含量测定用,使用前不需干燥处理,含量以87.9%计。
CAS号:145-42-6
分子式:C26H44NNaO7S
分子量:537.68
结构式:

包装:棕色安瓿瓶
装量:约20mg/支
储存条件:常温干燥保存
注意事项:本品具引湿性,建议打开包装一次性使用完。
更多有关牛磺胆酸*对照品促销的价格及使用说明等,请联系我们的业务经理王欣女士咨询,我公司还销*(代"售")以下产品:
·茶*海明
编号:BP0094
英文名称:Dimenhydrinate
规格:100mg/支
本品为茶*海明的化学对照品,室温减压干燥24小时后使用,按C24H28ClN5O3计,供HPLC法测定,含量为99.7%;供UV法测定,含量为99.9%。
分子式:C24H28ClN5O3
结构式:

分子量:469.97
CAS号:523-87-5
包装:西林瓶装
装量:约100mg/支
储存条件:遮光,密闭,10~30℃保存
·雌二醇(E2)
编号:BP1976
英文名称:Dimenhydrinate
规格:3支/套,0.5ml/支
本品为雌二醇(E2)质控血清,供免疫测定用。
1、是以雌二醇纯品为原料加入至新鲜正常人混合血清制备而成。
2、本套质控血清为冻干品,3支/套,0.5ml/支。
3、使用时应用0.5ml去离子水将内容物完全溶解,充分混合后使用。
4、质控血清I理论值为150pg/ml;
质控血清Ⅱ理论值为400pg/ml;
质控血清Ⅲ理论值为1400pg/ml。
由于免疫分析体系不同,各公司测定结果存在一定差异,数据仅供参考。
5、本套质控血清长期保
·金胺O
编号:BP1349
英文名称:Auramine O
规格:约20mg/支
本品为金胺O化学对照品,供检查项对照用。
CAS号:2465-27-2
分子式:C17H21N3·HCl
分子量:303.83
结构式:

包装:棕色瓶
规格:约20mg/支
储存条件:阴凉处
牛磺胆酸*对照品促销关键词:145-42-6,Sodium Taurocholate,牛磺胆酸*
我公司所售商品均为100%厂家供货,品质保证,价格优惠!
1.试剂包装:1g、5g、10g、25g、100g、500g等不同包装,欢迎来电咨询:牛磺胆酸*,生化试剂
2.试剂纯度:97%-99%以上
3.库存均有现货。
4.产品订购以订货当日最新价格为准。
5.所有产品为确保质量,出库均复检。
7761-88-*(代"8") 硝酸*(代"银") Silvernitrate
BL0869 羊抗大鼠免疫血清 0.5ml
ARB10110 人ICE蛋白酶激活因子(IRAP)elisa测定使用说明书 Human ice protease-activating factor,irap ELISA KIT
CYB162042 羊抗BSA(抗血清) 0.5ml
ARB13820 豚鼠基质金属蛋白酶抑制因子1(TIMP-1)含量检测 Guinea pig tissue inhibitors of metalloproteinase 1,timp-1 ELISA KIT
BTN60601 DNA UV防护剂 DNA UV Erasol
SJ0820 *百里香酚蓝
ARB11983 大鼠FMS样酪*酸激酶3配体(Flt3L)含量测试 Rat fms-like tyrosine kinase 3 ligand,flt-3l ELISA KIT
BTN131207 小牛胸腺DNA溶液 Calf Thymus DNA Solution
50-70-4 D-山梨醇 D-Sorbitol
过氧化物酶(辣根) Sodium 1-propanesulfonate monohydrate 9003-99-0
BTN131223 Zenker固定液 Zenker Solution
ARB10939 人低密度脂蛋白(LDL)定量分析 Human low density lipoprotein,ldl ELISA KIT
ARB14140 大鼠泛素羧基端酯酶L1(UCHL1)elisa检测说明书
BTN3060 非冻型组织RNA保存液 RNALOCKER
ARB13820 豚鼠基质金属蛋白酶抑制因子1(TIMP-1)含量检测 Guinea pig tissue inhibitors of metalloproteinase 1,timp-1 ELISA KIT
PY02-201 放线菌肉汤培养基 250克
DN1201 细菌基因组DNA提取试剂盒(溶液型)
ARB12948 小鼠血栓素B2(TXB2)含量测试 Mouse thromboxane b2,txb2 ELISA KIT
ARB14119 大鼠*卫蛋白(cAlproteIn)酶标法分析
ARB12497 大鼠神经特异性烯醇化酶(NSE)Elisa方法检测 Rat neuron-specific enolase,nse ELISA KIT
BTN131057 钴柱介质 Co-Agarose Resin
牛磺胆酸*对照品促销关键词:145-42-6,Sodium Taurocholate,牛磺胆酸*
牛磺胆酸*等产品报价含税含运费,全程免费技术支持。我公司产品种类齐全,提供订制包装,免费快递送货上门,质量保证,欢迎来电购买!
4-甲基伞花基磷酸* Coomassie brilliant blue G250 22919-26-2
FMOC-D-丙*酸 Polymyxin B sulfate 79990-15-1
CYB161032 豚鼠IgG(冻干粉)
BTN130841 石蜡油,PCR级 Paraffin,PCR Grade
115-39-9 Bromphenol Blue *酚蓝
ARB11971 大鼠c-Jun*基末端激酶(JNK)elisa测定使用说明书 Rat c-jun n-terminal kinases,jnk ELISA KIT
133-32-4 Indole-3-butyricacid(IBA)吲哚-3-丁酸(水溶)
ARB11962 大鼠B因子(BF)血清中含量检测 Rat factor b,bf ELISA KIT
ARB11846 人凝血酶血栓调节蛋白复合物(T-TM)elisa测定使用说明书 Human thrombinthrombomodulin compound,t-tm ELISA KIT
BTN131158 荧光素488标记山羊抗兔IgG Goat Anti-Rabbit IgG ,IF488 Conjugate
ARB12772 小鼠P选择素(P-Selectin/CD62P)血清中含量检测 Mouse P-Selectin ELISA KIT
ARB11326 人胆碱磷酸甘油酯(PC/CPG)Elisa方法检测 Human choline phosphoglyceride,pc/cpg ELISA KIT
PY02-311 CVT琼脂 250克
干酪素 S-Carboxymethyl-L-Cysteine 9000-71-9
碘化铵 8-Azaguanine 12027-06-4
DN2501 微量/临床样品基因组DNA快速提取试剂盒
硫代氧化型辅酶Ⅰ Ethyl stearate 4090-29-3
BTN100406 溶菌酶干粉 Lysozyme Powder
SJ0858 胎牛血清(低内毒素无支原体)
酚红 BCP,Na 143-74-8
77-86-1 TRIS 三(羟甲基)*基甲*(代"烷")
F030510 FITC标记羊抗乙肝表面抗原抗体 Polyclonal Goat Anti-HBsAg*FITC
我公司先后与天津中医学院、北京军区总医院、复旦大学、北京大学、上海交通大学、华东师范大学、第二军医大学、南京大学、清华大学、复兴医院、南京工业大学、301医院、中科院上海分院等多家单位建立了良好的合作关系。本公司可为您提供高品质的牛磺胆酸*等科研试剂。 公司秉承“专注品质、信守承诺、积极沟通、创新服务”的企业文化积极参与生物领域的技术创新和技术服务,力求为我国科研事业更好的,更专业的服务!
北京百莱博科技有限公司是标准品对照品产品的专业生产供应销*(代"售")商,恭候您的咨询选购牛磺胆酸*对照品促销。
风险提示:丁香通仅作为第三方平台,为商家信息发布提供平台空间。用户咨询产品时请注意保护个人信息及财产安全,合理判断,谨慎选购商品,商家和用户对交易行为负责。对于医疗器械类产品,请先查证核实企业经营资质和医疗器械产品注册证情况。
技术资料暂无技术资料 索取技术资料










