相关产品推荐更多 >
万千商家帮你免费找货
0 人在求购买到急需产品
- 详细信息
- 文献和实验
- 技术资料
- 保存条件:
阴凉干燥
- 保质期:
长期
- 英文名:
Tobramycin
- 库存:
752
- 供应商:
北京百奥莱博科技有限公司
- CAS号:
32986-56-4
特别声明:本产品及我公司所售其他产品均为科研类试剂产品,严禁用于药物、医疗及其他非科研用途。
北京百奥莱博公司供应包括妥布霉素标准品大量库存促销在内的化学标准品,化学对照品,杂志对照品,HPLC标准品,UV标准品等高品质标准品、对照品
名称:妥布霉素标准品大量库存促销
英文名:Tobramycin
品牌:百奥莱博
产地:国产|进口
编号:BP1566
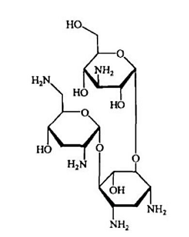
本品为妥布霉素标准品,供抗生素微生物效价测定用,使用前不需干燥处理。
CAS号:32986-56-4
分子式:C18H37N5O9
分子量:467.52
结构式:

包装:白色安瓿
规格:约100毫克/支
储存条件:2-8℃保存
想要了解更多关于妥布霉素标准品大量库存促销的价格、品牌、厂家、说明书、促销信息,请和我们联系。此外我公司还销*(代"售")下面的产品:
·胞磷胆碱*
编号:BP1823
英文名称:Citicoline Sodium
规格:50mg/瓶
本品为胞磷胆碱*化学对照品,供含量以C14H25N4NaO11P2计为100.0%,供胞磷胆碱*及其制剂的鉴别与含量测定使用。
CAS号:33818-15-4
分子式:C14H25N4NaO11P2
分子量:510.31
结构式:

包装:棕色西林瓶
装量:约50mg/瓶
储存条件:遮光,阴凉干燥处
注意事项:使用前100℃减压干燥5小时,
·异丙托*铵
编号:BP0400
英文名称:Ipratropium Bromide
规格:100mg
本品为胞磷胆碱*化学对照品,供含量以C14H25N4NaO11P2计为100.0%,供胞磷胆碱*及其制剂的鉴别与含量测定使用。
CAS号:33818-15-4
分子式:C14H25N4NaO11P2
分子量:510.31
结构式:

包装:棕色西林瓶
装量:约50mg/瓶
储存条件:遮光,阴凉干燥处
注意事项:使用前100℃减压干燥5小时,
·黄山药皂苷提取物
编号:BP1160
英文名称:Huangshanyao Saponins Extract
规格:200mg
本品为胞磷胆碱*化学对照品,供含量以C14H25N4NaO11P2计为100.0%,供胞磷胆碱*及其制剂的鉴别与含量测定使用。
CAS号:33818-15-4
分子式:C14H25N4NaO11P2
分子量:510.31
结构式:

包装:棕色西林瓶
装量:约50mg/瓶
储存条件:遮光,阴凉干燥处
注意事项:使用前100℃减压干燥5小时,
·*马西尼
编号:BP0560
英文名称:Flumazenil
规格:100mg
本品为*马西尼化学对照品,供HPLC法鉴别和HPLC法含量测定时,作对照用。本品使用前不需要干燥,可直接使用。含量以CHFNO计,为99.9%。
CAS号:78755-81-4
分子式:C15H14FN3O3
分子量:303.29
结构式:

包装:棕色西林瓶
规格:每支约100mg
储存条件:室温,密闭遮光保存。
·甲基多巴
编号:BP0155
英文名称:Methyldopa
规格:100mg
本品为甲基多巴倍半水合物(Methyldopa Sesquihydrate)的化学对照品,供UV法含量测定用,按C10H13NO4计,含量为100.0%。
分子式:C10H13NO4·3/2H2O
分子量:238.24
CAS号:41372-08-1
包装及装量:棕色小瓶装,每支约100毫克。
储存条件:遮光,密封保存。
注意事项:称量时相对湿度不得过 60%。125℃干燥4 小时后使用。
妥布霉素标准品大量库存促销关键词:Tobramycin,32986-56-4,妥布霉素
妥布霉素等产品报价含税含运费,全程免费技术支持。我公司产品种类齐全,提供订制包装,免费快递送货上门,质量保证,欢迎来电购买!
2650-17-1 Xylene Cyanol FF 二甲*青
504-17-6 2-Thiobarbituric acid 硫代巴比*(代"妥")酸
ARB12307 大鼠抗增殖细胞核抗原抗体(PCNA)含量检测 Rat prolifeRating cell nuclear antigen antibody,pcna ELISA KIT
9002-07-7 Trypsin 1:250 胰蛋白酶1:250
PY06-012 Rambach琼脂 1000ml,用于沙门氏菌及部分肠杆菌科细菌的快速分离与鉴别
BFD033 喹诺酮类(QNS)快速检测试剂盒
BTN131072 预稀释BSA蛋白标准品 Instant BSA Standard
001009 驴血清 100ml|500ml
F020107 兔抗沙丁胺醇抗体 Rabbit Anti-salbutamol
ARB12042 大鼠乙酰胆碱受体抗体(AChRAb)elisa检测操作说明书 Rat acetylcholine receptor antibody,achrab ELISA KIT
1320-06-5 Oil Red O 油红O
D0202 脱纤维山羊血(无菌 袋装)
妥布霉素标准品大量库存促销关键词:Tobramycin,32986-56-4,妥布霉素
为何选择百奥莱博公司的妥布霉素?
我公司是一家专业从事“产品研发生产、市场销*(代"售")、技术服务”为一体的高科技生物技术公司,公司生产的妥布霉素质量有保证,含量高,能够给实验带来准确的结果。同时能为用户更好的解决各种疑难问题。如有需要可联系我司销*(代"售")人员,我们将竭诚为您服务。
·盐*(代"酸")米多君
编号:BP0974
英文名称:Midodrine Hydrochloride
规格:100毫克/支
本品为盐*(代"酸")米多君化学对照品,供含量测定用。105℃干燥2小时后使用。供HPLC法测定,按C12H18N2O4·HCl计,含量为99.9%。
CAS号:3092-17-9
分子式:C12H18N2O4·HCl
分子量:290.74
包装:棕色西林瓶
规格:约100毫克/支
储存条件:遮光,密闭,10~30℃保存。
·枸橼酸他莫昔芬E-异构体
编号:BP0253
英文名称:Tamoxifen Citrate E-isomer
规格:30mg/支
本品为枸橼酸他莫昔芬E-异构体,供HPLC法检查用,使用前不需干燥处理,按C26H29NO·C6H8O7计,含量为95.2%。
分子式:C26H29NO·C6H8O7
分子量:563.65
包装及装量:棕色安瓿瓶装,每支约30mg。
储存条件:遮光,密封保存。
注意事项:使用前不需干燥处理,本品有引湿性。
·乌拉地尔
编号:BP0482
英文名称:Urapidil
规格:100mg/支
本品为乌拉地尔化学对照品,供含量测定用,使用前不需干燥处理,按C20H29N5O3计,含量为99.9%。
CAS号:34661-75-1
分子式:C20H29N5O3
分子量:387.48
结构式:

包装:棕色西林瓶装
规格:100毫克/支
储存条件:遮光,10~30℃密闭保存。
·琥珀酸
编号:BP1164
英文名称:Succinic acid
规格:20mg/支
本品为琥珀酸化学对照品,供薄层鉴别用。
CAS号:110-15-6
分子式:C4H6O4
分子量:118.09
结构式:

包装:棕色瓶
规格:约20mg/支
储存条件:冷处(2-10℃)保存
我公司主要从事免疫学、分子生物学和常规生化试剂的研发、销*(代"售")。并代理销*(代"售")R&D、Sigma、Amresco 、Gibco、Pharmacia、HyClone、GIBCO等多个国外知名品牌,致力于为广大高校、科研院所和企事业单位提供一流的科研试剂和完善的技术服务,满足生物化学、分子生物学 、细胞生物学、免疫学等生物科技实验需求。 公司主要产品:试剂盒:妥布霉素、ELISA试剂盒、分子生物学试剂、细胞凋亡试剂盒。各种动物血清:NBQQ、HyClone、GIBCO胎牛血清。抗体:进口原装抗体、进口分装抗体、单克隆抗体、多克隆抗体、一抗、二抗。 我们立足于生命科学领域,全力打造高品质生物科技产品链和技术服务链,立志成为生命科学研究领域的问题解决专家。
我公司生产供应销*(代"售")的标准品对照品正全品类优惠促销,十分期待您的咨询选购妥布霉素标准品大量库存促销。
风险提示:丁香通仅作为第三方平台,为商家信息发布提供平台空间。用户咨询产品时请注意保护个人信息及财产安全,合理判断,谨慎选购商品,商家和用户对交易行为负责。对于医疗器械类产品,请先查证核实企业经营资质和医疗器械产品注册证情况。
文献和实验我最近在网上看到有公司在ELISA试剂盒的促销,好划算啊 我想把这个好消息,好资源与大家分享 几年来,博士德的ELISA试剂盒以优良的品质、卓越的性价比和良好的售后服务受到广大科研工作者的青睐。更因其品种齐全、操作简单、检测时间短、所需样品少而成为细胞因子检测的经典产品。公司生产的近270多种 ELISA 试剂盒,涉及分子生物学、分子免疫学、细胞生物学等生命科学研究的各个领域。公司总部位于武汉,代理商经销商遍及全国各地,形成了覆盖全国的有效服务网络,训练有素的专业人员能为客户提供技术
辛、洋地黄毒甙、苯巴比妥、苯妥英钠、氨茶碱、卡巴咪嗪、乙琥胺、利多卡因、氨甲喋啶、扑痫酮、普鲁卡因酰胺、丁胺卡那霉素、庆大霉素及妥布霉素等十余种。本法的缺点是易受代谢物等的干扰。而荧光免疫法近年来发展很快,由于它的灵敏度高与稳定性好,正在引人注目。 (二) 方法选择的依据 1.方法的灵敏度必须与血药浓度的水平相适应。各种药物在血清中有效浓度是有差别的,可有几个数量级之差。血药浓度的高低可以从所用药物的剂量来判断,一般地说剂量大,血药浓度也高,当然还与药物的吸收多少,吸收快慢及表观分布
技术资料暂无技术资料 索取技术资料









