万千商家帮你免费找货
0 人在求购买到急需产品
- 详细信息
- 技术资料
- 库存:
333
- 英文名:
Ginsenoside Rb2
- CAS号:
11021-13-9
- 保质期:
长期
- 供应商:
北京百奥莱博科技有限公司
特别声明:本产品及我公司所售其他产品均为科研类试剂产品,严禁用于药物、医疗及其他非科研用途。
北京百奥莱博公司供应包括北京人参皂苷Rb2标准品品牌在内的化学标准品,化学对照品,杂志对照品,HPLC标准品,UV标准品等高品质标准品、对照品
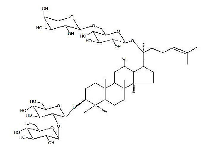
名称:北京人参皂苷Rb2标准品品牌
英文名:Ginsenoside Rb2
品牌:百奥莱博
编号:BP1314
产地:国产|进口
规格:约10mg/支
本品为人参皂苷Rb2化学对照品,供供鉴别或含量测定用,含量以93.8%计。
CAS号:11021-13-9
分子式:C53H90O22
分子量:1079.27
结构式:

包装及装量:棕色安瓿瓶,约20mg/支
储存条件:冷冻保存
注意事项:使用前无需干燥处理。本品有引湿性,打开包装后一次使用完毕。
欲了解更多北京人参皂苷Rb2标准品品牌的品牌、产地、价格及说明书等产品信息,请致电北京百奥莱博科技有限公司,我们将竭诚为您服务,另外,以下产品正在火爆促销:
·环丙沙星杂质A(*喹*(代"啉")酸)
编号:BP1692
英文名称:Ciprofloxacin Impurity A (Fluoroquinolonic Acid)
规格:50mg
本品为环丙沙星杂质A化学对照品,含量按环丙沙星杂质A(C13H9CIFNO3)计,供环丙沙星及各种成盐形式的环丙沙星品种有关物质测定用。
使用方法:精密称取本品适量,按相关质量标准的规定,溶解并稀释至所需浓度的溶液,立即使用。
储存条件:置5℃以下条件低温避光保存。启开安瓶后严密保持干燥以防吸水。
注意事项:使用前不需干燥处理。
·4′-*甲基-联*(代"*")-2-甲*(代"酸")甲酯(替米沙坦杂质)
编号:BP0884
英文名称:Telmisartan impurity
规格:50mg
本品为替米沙坦杂质(4"-*甲基-联*(代"*")-2-甲*(代"酸")甲酯)化学对照品,供HPLC法系统适用性试验用,使用前不需干燥处理。
CAS号:114772-38-2
分子式:C15H13BrO2
分子量:305.17
包装及装量:棕色西林瓶装,每支约50毫克。
储存条件:避光,密封保存。
注意事项:使用前不需干燥处理。
·环丙沙星杂质I
编号:BP1723
英文名称:Ciprofloxacin impurity I
规格:50mg/支
本品为环丙沙星杂质I化学对照品,供环丙沙星及盐*(代"酸")环丙沙星的系统适用性试验用。
分子式:C15H16ClN3O3
分子量:321.09
结构式:

包装及装量:安瓿,50mg/支
储存条件:置5℃以下条件低温避光保存。
·α-亚麻酸
编号:BP1252
英文名称:α-Linolenic acid
规格:0.2ml/支
本品为α-亚麻酸化学对照品,供含量测定用。本品需冷冻保存,含量以99.8%计,使用前不需干燥处理。
CAS号:463-40-1
分子式:C18H30O2
分子量:278.22
结构式:

包装:棕色安瓿瓶
规格:约0.2mL/支
储存条件:冷冻保存
注意事项:本品不稳定,打开包装后立即使用。
北京人参皂苷Rb2标准品品牌关键词:人参皂苷Rb2,11021-13-9,Ginsenoside Rb2
人参皂苷Rb2的不同等级:
除了优级纯、分析纯、化学纯、实验试剂外,目前市场上尚有:基准试剂(PT):专门作为基准物用,可直接配制标准溶液。光谱纯试剂(SP):表示光谱纯净。但由于有机物在光谱上显示不出,所以有时主成分达不到99.9%以上,使用时必须注意,特别是作基准物时,必须进行标定。纯度远高于优级纯的试剂叫做高纯试剂(≥ 99.99%)。
一般化学试剂的品级:一级试剂、二级试剂、三级试剂、四级试剂
国内标准名称:优级纯(保证试剂)、分析纯、化学纯 、实验试剂
国内标签颜色:绿色、红色、蓝色、中黄色
ARB11811 人睾酮(T)含量分析 Human testoterone,t ELISA KIT
硬组织线粒体分离试剂盒 50T
79-14-1 羟基乙酸 glycolic acid
萎锈灵 Glycylglycyl-L-isoleucine 5234-68-4
145224-94-8 MES 2-(N-吗*(代"啡")啉)乙磺酸
蔗糖溶血检测试剂盒(比色法) 50T
ARB13086 小鼠组胺(His)血清中含量检测 Mouse Histamine,His ELISA KIT
HC0048 5ml冻存管
PY04-001 革兰氏染液 10ml×4支 见使用说明书,用于细菌的革兰氏染色
BL1179 亲和层析柱1ml
BFD032 环丙沙星快速检测试剂盒
ARB12100 大鼠去甲肾上腺素(NE)含量检测 Rat noradrenaline ELISA KIT
二*胍 2-Deoxy-2,2-difluoro-D-erythro-pentafuranous-1-ulose-3,5-dibenzoate 102-06-7
金莲橙OOO指示剂 100ml
F040320 大鼠IgG抗原 Rats IgG
BL0888 兔抗鸡IgG免疫血清
北京人参皂苷Rb2标准品品牌关键词:人参皂苷Rb2,11021-13-9,Ginsenoside Rb2
我公司所售商品均为100%厂家供货,品质保证,价格优惠!
1.试剂包装:1g、5g、10g、25g、100g、500g等不同包装,欢迎来电咨询:人参皂苷Rb2,生化试剂
2.试剂纯度:97%-99%以上
3.库存均有现货。
4.产品订购以订货当日最新价格为准。
5.所有产品为确保质量,出库均复检。
·水杨酸乙二醇
编号:BP0661
规格:200mg/支
·盐*(代"酸")二甲弗林
编号:BP0530
英文名称:Dimefline Hydrochloride
规格:100mg
·匙羹藤皂苷C
编号:BP1355
英文名称:Sylvestroside C
规格:20mg
本品为匙羹藤皂苷C化学对照品,供比色法含量测定用,含量以95.7%计,使用前置五氧化二磷减压干燥器中干燥12小时以上。
分子式:C48H78O18
分子量:942
结构式:

包装及装量:棕色瓶,约20mg/支
储存条件:干燥密闭保存。
·艾拉莫德杂质M12
编号:BP0920
英文名称:Ailamode impurity M12
规格:30mg
本品为艾拉莫德杂质M12(3-乙酰胺基-7-甲磺酰胺基-6-*氧基-4H-1-*并吡喃-4-酮)化学对照品,供HPLC系统适用性试验用,使用前不需干燥处理。
分子式:C18H16N2O6S
分子量:388.39
包装及装量:棕色小瓶装,每支约30毫克。
储存条件:遮光、密封保存。
注意事项:使用前不需干燥处理。
·对羟基*乙酮
编号:BP1441
英文名称:4’-Hydroxyacetophenone
规格:20mg/支
本品为对羟基*乙酮化学对照品,供含量测定用,含量以99.9%计,使用前不需干燥处理。
CAS号:99-93-4
分子式:C8H8O2
分子量:136.05
结构式:

包装:棕色安瓿瓶。
装量:约20mg/支。
储存条件:冷处(2-10℃)保存。
·盐*(代"酸")*己新杂质C
编号:BP1010
英文名称:Bromhexine Hydrochloride Impurity C
规格:20毫克/支
本品为盐*(代"酸")*己新杂质C(N-甲基-N-环己基-2-*基*甲胺盐*(代"酸")盐)化学对照品,供HPLC法系统适用性试验用,使用前不需干燥处理。
分子式:C14H23ClN2
分子量:254.80
结构式:

包装:棕色西林瓶
规格:约20毫克/支
储存条件:遮光,密闭,10~30℃保存。
我公司是一家生物高新技术企业,主要从事免疫学、分子生物学和常规生化试剂的研发、销*(代"售")。致力于为广大高校、科研院所和企事业单位提供一流的科研试剂和完善的技术服务,满足生物化学、分子生物学 、人参皂苷Rb2、细胞生物学、免疫学ELISA试剂盒等生物科技实验需求。我们诚以100%的热情换您100%的满意!
北京百莱博科技有限公司是标准品对照品产品的专业生产供应销*(代"售")商,恭候您的咨询选购北京人参皂苷Rb2标准品品牌。
风险提示:丁香通仅作为第三方平台,为商家信息发布提供平台空间。用户咨询产品时请注意保护个人信息及财产安全,合理判断,谨慎选购商品,商家和用户对交易行为负责。对于医疗器械类产品,请先查证核实企业经营资质和医疗器械产品注册证情况。
技术资料暂无技术资料 索取技术资料










