相关产品推荐更多 >
万千商家帮你免费找货
0 人在求购买到急需产品
- 详细信息
- 文献和实验
- 技术资料
- 保存条件:
阴凉干燥
- 保质期:
长期
- 英文名:
Ginsenoside Rb2
- 库存:
761
- 供应商:
北京百奥莱博科技有限公司
- CAS号:
11021-13-9
特别声明:本产品及我公司所售其他产品均为科研类试剂产品,严禁用于药物、医疗及其他非科研用途。
北京百奥莱博公司供应包括北京现货人参皂苷Rb2标准品促销在内的化学标准品,化学对照品,杂志对照品,HPLC标准品,UV标准品等高品质标准品、对照品
名称:北京现货人参皂苷Rb2标准品促销
编号:BP1314
英文名:Ginsenoside Rb2
品牌:百奥莱博
产地:国产|进口
规格:约10mg/支
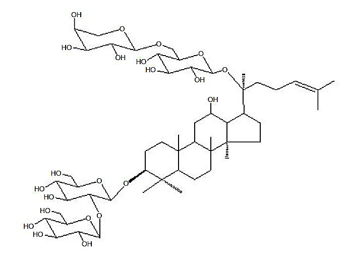
本品为人参皂苷Rb2化学对照品,供供鉴别或含量测定用,含量以93.8%计。
CAS号:11021-13-9
分子式:C53H90O22
分子量:1079.27
结构式:

包装及装量:棕色安瓿瓶,约20mg/支
储存条件:冷冻保存
注意事项:使用前无需干燥处理。本品有引湿性,打开包装后一次使用完毕。
想要了解更多关于北京现货人参皂苷Rb2标准品促销的价格、品牌、厂家、说明书、促销信息,请和我们联系。此外我公司还销*(代"售")下面的产品:
·托伐普坦
编号:BP0900
英文名称:Tolvaptan
规格:100mg/支
本品为托伐普坦化学对照品,按C26H25ClN2O3计,含量为100.0%。
CAS号:150683-30-0
分子式:C26H25ClN2O3
分子量:448.94
包装及装量:棕色小瓶装,每支约100毫克。
储存条件:遮光密封保存。
注意事项:105℃干燥3 小时后使用。
·α-细辛脑
编号:BP0236
英文名称:α-Asarone
规格:100mg/支
本品为α-细辛脑的化学对照品,供含量测定用,按C12H16O3计,含量为100.0%。
分子式:C12H16O3
分子量:208.25
CAS号:5273-86-9
包装及装量:棕色西林瓶装,每支约100毫克。
储存条件:遮光,密闭保存。
注意事项:使用前不需干燥处理。
·耐斯糖
编号:BP1437
英文名称:Nystose
规格:20mg/支
本品为耐斯糖化学对照品,供含量测定用,含量以92.2%计,使用前不需干燥处理。
CAS号:13133-07-8
分子式:C24H42O21
分子量:666.58
结构式:

包装:棕色安瓿
规格:约20mg/支
储存条件:冷处(2-10℃)保存
·麦芽酚
编号:BP2039
英文名称:Maltol
规格:200mg/瓶
本品为麦芽酚化学对照品,供麦芽酚品种红外鉴别和含量测定用对照品,使用前不需干燥处理,以C6H6O3计本品含量为99.6%。
CAS号:118-71-8
分子式:C6H6O3
分子量:126.11
包装:棕色安瓿
规格:约200毫克/支
储存条件:遮光、常温保存。
注意事项:建议打开包装一次性使用完。
北京现货人参皂苷Rb2标准品促销关键词:人参皂苷Rb2,Ginsenoside Rb2,11021-13-9
我公司严格遵守“质量优先、客户优先、技术优先、服务优先”“四项优先”原则;人参皂苷Rb2已被广泛应用于化学、化工、生命科学的基础研究和开发应用等诸多领域,并销往全国各地,公司客户遍布国内各大学、医院、研究所、卫生防疫、制药公司、生物公司等单位,得到广大客户的一致好评。我们的宗旨是“为客户提供最优质的产品和服务”。 百奥莱博以技术为核心并拥有完善的市场营销体系、现代化管理体系和专业化物流配送系统,最大程度满足国内外生命科研人员的产品需求。公司专门设立优质完善的客服中心及技术中心,第一时间为客户解决技术支持、产品跟踪以及售后等相关问题,旨在生命科学和医学科学研究领域创造具有国际竞争力的自主知识产权品牌产品。欢迎社会各界朋友前来洽谈业务,共创辉煌!
PY02-086 品红亚硫*(代"酸")*琼脂 250克
ARB12710 大鼠磷脂酶C(PLC)Elisa定量检测 Ratphospholipase c,plc ELISA KIT
ARB10923 人花生四烯酸5脂加氧酶(ALOX-5)尿液中含量检测 Human arachidonate 5-lipoxygenase,alox-5 ELISA KIT
BTN131082 重组蛋白L Recombinant Protein L
HC0217 尼龙细胞塞网
ARB12516 大鼠热休克蛋白20(HSP-20)代做ELISA实验 Rat heat shock protein 20,hsp-20 ELISA KIT
BL0861 羊抗人IgG免疫血清
BL1160 酵母质粒提取试剂盒
ARB11656 人蛋白酶3抗体(PR3Ab)尿液中含量检测 Human proteinase 3 antibody,pr3ab ELISA KIT
焦磷酸* Pancreatin 7320-34-5
002012 枸橼酸纳抗凝兔血 100ml|500ml
6055-19-2 Cyclophosphamide monohydrate 环磷酰胺
ARB13596 兔子免疫球蛋白A(IgA)elisa测定使用说明书 Rabbit immunoglobulin a,IgA ELISA KIT
ARB12331 大鼠角化细胞内分泌因子(KAF)/双调蛋白(AR)elisa检测操作说明书 Rat keRatinocyte autocrine factor/amphiregulin,kaf/ar ELISA KIT
BTN130581 小鼠抗mCherry标签单抗 Anti mCherry-Tag Mouse Mab
PY01-098 琼脂糖 10克
HC0088 离心管(连盖圆底)
ARB13798 豚鼠免疫球蛋白G(IgG)酶免分析 Guinea pig immunoglobulin g,IgG ELISA KIT
北京现货人参皂苷Rb2标准品促销关键词:人参皂苷Rb2,Ginsenoside Rb2,11021-13-9
人参皂苷Rb2等级划分:
我国的试剂规格基本上按纯度(杂质含量的多少)划分,共有高纯、光谱纯、基准、分光纯、优级纯、分析和化学纯等7种。国家和主管部门颁布质量指标的主要优级纯、分级纯和化学纯3种。
(1)优级纯(GR),又称一级品或保证试剂,99.8%,这种试剂纯度最高,杂质含量最低,适合于重要精密的分析工作和科学研究工作,使用绿色瓶签。
(2)分析纯(AR),又称二级试剂,纯度很高,99.7%,略次于优级纯,适合于重要分析及一般研究工作,使用红色瓶签。
(3)化学纯(CP),又称三级试剂,≥ 99.5%,纯度与分析纯相差较大,适用于工矿、学校一般分析工作。使用蓝色(深蓝色)标签。
(4)实验试剂(LR),又称四级试剂。
9031-11-2 β-半乳糖苷酶 β-galactosidase
57-50-1 Sucrose 蔗糖
ARB12903 小鼠白介素13(IL-13)检测服务 Mouse interleukin 13,IL-13 ELISA KIT
ARB12780 小鼠α2纤溶酶抑制物(α2-PI)ELISA代测服务 Mouse α2-plasmin inhititor,α2-pi ELISA KIT
52-90-4 L-Cysteine L-半胱*酸
F030101 HRP标记小鼠抗乙肝核心抗原抗体 Monoclonal Mouse Anti-HBcAg*HRP
ARB12663 大鼠碱性成纤维生长因子(bFGF)elisa测定使用说明书 Rat basic fibroblast growth factor,bfgf ELISA KIT
BFD054 呋*(代"喃")它酮快速检测卡
ARB10078 人c-fos 含量检测 Human c-fos ELISA KIT
PY02-450 葡萄糖琼脂 250克
ARB10481 人白介素1β转换酶(ICE)含量测试 Human interleukin 1β converting enzyme,ice ELISA KIT
ARB10208 人β干扰素(IFN-β/IFNB)elisa检测说明书 Human interferon β,ifn-β/ifnb ELISA KIT
PY02-104 真菌培养基 250克
我公司主要从事免疫学、分子生物学和常规生化试剂的研发、销*(代"售")。并代理销*(代"售")R&D、Sigma、Amresco 、Gibco、Pharmacia、HyClone、GIBCO等多个国外知名品牌,致力于为广大高校、科研院所和企事业单位提供一流的科研试剂和完善的技术服务,满足生物化学、分子生物学 、细胞生物学、免疫学等生物科技实验需求。 公司主要产品:试剂盒:人参皂苷Rb2、ELISA试剂盒、分子生物学试剂、细胞凋亡试剂盒。各种动物血清:NBQQ、HyClone、GIBCO胎牛血清。抗体:进口原装抗体、进口分装抗体、单克隆抗体、多克隆抗体、一抗、二抗。 我们立足于生命科学领域,全力打造高品质生物科技产品链和技术服务链,立志成为生命科学研究领域的问题解决专家。
我公司生产供应销*(代"售")的标准品对照品正全品类优惠促销,十分期待您的咨询选购北京现货人参皂苷Rb2标准品促销。
风险提示:丁香通仅作为第三方平台,为商家信息发布提供平台空间。用户咨询产品时请注意保护个人信息及财产安全,合理判断,谨慎选购商品,商家和用户对交易行为负责。对于医疗器械类产品,请先查证核实企业经营资质和医疗器械产品注册证情况。
文献和实验。博士德部分现货ELISA产品超低价促销! 供应以上产品均为现货。特价产品如下: h.Activin A 1000元/96T h.MIP-1a 1500元/96T m.IL-4 1000元/96T h.BDNF 1000元/96Th.MIP-3a 1500元/96T m.IL-5 1000元/96T h.BMP-2 1500元/96Th.MCP-1 1000元/96T m.IL-6 1000元/96T h.CD54 1500元/96Th.MMP
技术资料暂无技术资料 索取技术资料









