万千商家帮你免费找货
0 人在求购买到急需产品
- 详细信息
- 文献和实验
- 技术资料
- 库存:
772
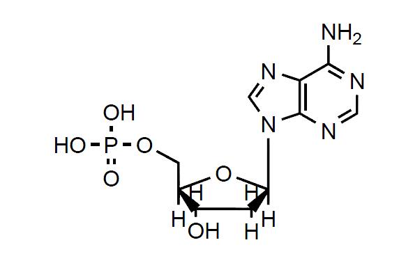
- 英文名:
Adenosine disodium diphosphate
- CAS号:
16178-48-6
- 保质期:
长期
- 供应商:
北京百奥莱博科技有限公司
- 保存条件:
-20℃
特别声明:本产品及我公司所售其他产品均为科研类试剂产品,严禁用于药物、医疗及其他非科研用途。
北京百奥莱博公司供应包括二磷酸腺苷二*标准品北京厂家现货在内的化学标准品,化学对照品,杂志对照品,HPLC标准品,UV标准品等高品质标准品、对照品
名称:二磷酸腺苷二*标准品北京厂家现货
产地:国产|进口
规格:20mg/瓶
品牌:百奥莱博
本品为二磷酸腺苷二*化学对照品,含量以C10H13N5Na2O10P2计为85.3%,供磷酸肌酸*杂质检查使用。
CAS号:16178-48-6
分子式:C10H13N5Na2O10P2
分子量:471.16
包装:棕色西林瓶
规格:约20mg/瓶
储存条件:-20℃,避光
二磷酸腺苷二*标准品北京厂家现货极具性价比,此外,我公司正火爆促销以下产品:
丙*酸*基转移酶(ALT)检测试剂盒(赖氏比色法) 100T
BL0925 RBITC标记羊抗大鼠IgG抗体
3,4-二羟基*甲*(代"酸") Trimethoprim lactate salt 99-50-3
E0602 脱纤维裂解大牛血(无菌) 100ml/500ml
PY08-053 Baird-Parker琼脂 9CM 10皿/盒,用于分离金黄色葡萄球菌
ARB11482 人胰淀素(Amylin)酶免分析 Human amylin ELISA KIT
L-邻**甘*酸 Baicalin 141315-50-6
二硫化钼 Amberlyst AB-8 1317-33-5
BL0265 Brain Heart Infusion 脑心浸液
Sorensen磷酸缓冲液(1×,pH6.2) 500ml
BTN80814 Bradford法蛋白定量试剂盒 Bradford Protein Assay Kit
ARB10810 人抗丝集蛋白抗体(AFA)检测服务 Human anti-filaggrin antibody,afa ELISA KIT
双链λ噬菌体DNA载体 100ug
ARB11987 大鼠L*丙*酸解*酶(PAL)elisa检测 Rat l-phenylalanine ammonla-lyase,pal ELISA KIT
TES缓冲液(1×,pH7.5) 500ml
二磷酸腺苷二*标准品北京厂家现货关键词:Adenosine disodiu*(代"m") diphosphate,16178-48-6,二磷酸腺苷二*
·十七碳酸甲酯
编号:BP1297
英文名称:Heptadecanoic acid methylester
规格:20mg
·琥珀酸舒马普坦
编号:BP0465
英文名称:Sumatriptan Succinate
规格:100mg
·右羟丙哌*(代"嗪")
编号:BP0724
英文名称:Dextrodropropizine
规格:约50毫克/支
本品为右羟丙哌*(代"嗪")化学对照品,使用前不需干燥处理。供HPLC法系统适用性用。
分子式:C13H20N2O2
分子量:236.32
结构式:

包装:西林瓶装
规格:约50毫克/支
储存条件:遮光,10~30℃密闭保存。
·脱氧核糖腺嘌呤核苷酸*(A)
编号:BP1852
英文名称: deoxyribose adenylic acid sodiu*(代"m")(dAMP-Na)
规格:20mg/瓶
本品为脱氧核糖腺嘌呤核苷酸*化学对照品,含量以脱氧核糖腺嘌呤核苷酸计为94.7%。供脱氧核苷酸鉴别及含量测定用。
分子式:C10H14N5O6P
分子量:331.22
结构式:

包装:棕色瓶
装量:约20mg/支
储存条件:-20℃低温保存
注意事项:使用前不需干燥。
·盐*(代"酸")纳洛酮杂质
编号:BP1960
英文名称:(-)-4,5α-epoxy-3,14-dihydroxymorphinan-6-one
规格:20mg
本品为盐*(代"酸")纳洛酮杂质化学对照品,供盐*(代"酸")纳洛酮有关物质检查时,作对照用。本品使用前不需干燥,可直接使用。含量以C16H17NO4计,为98.1%。
CAS号:33522-95-1
分子式:C16H17NO4
分子量:287.32
结构式:

包装及装量:棕色西林瓶,每支约20mg
储存条件:室温,密闭遮光保存
·灰毡毛忍冬皂苷乙
编号:BP1383
英文名称:Macranthoidin B
规格:20mg/支
本品为灰毡毛忍冬皂苷乙化学对照品,供含量测定用,含量以94.4%计,使用前不需干燥处理。
CAS号:136849-88-2
分子式:C65H106O32
分子量:1399.52
结构式:

包装:棕色安瓿瓶
规格:约20mg/支
储存条件:冷冻(-20℃)保存
注意事项:本品具有引湿性,建议打开包装一次性使用完。
二磷酸腺苷二*标准品北京厂家现货关键词:Adenosine disodiu*(代"m") diphosphate,16178-48-6,二磷酸腺苷二*
我公司坚持“品质至上”, 通过与国际知名品牌的合作,选择高品质的产品,提供优质的客户服务。二磷酸腺苷二*现货供应,以保证产品质量和市场需求率为主要目标,争取能在科研生命道路上能够长久的服务于广大新老客户。
D-地衣酸 Phenosafranine 7562-61-0
ARB12824 小鼠干细胞因子/肥大细胞生长因子(SCF/MGF)酶联免疫定量检测 Mouse stem cell factor/mast cell growth factor,scf/mgf ELISA KIT
链脲佐菌素 CBZ-L-Tryptophan 18883-66-4
F030304 胶体金标记小鼠抗HIS抗体 Monoclonal Mouse Anti-His*GOLD
2650-17-1 Xylene Cyanol FF 二甲*青
阿魏酸乙酯 Ethyl carbamate 4046-02-0
B0801 兔血清(辐照灭菌)
非特异结合性封闭液 100ml
BL1128 ELISA包被液(1x)
BTN130695 m7G(5′)ppp(5′)A帽结构类似物 RNA Cap Structure Analogs
25322-68-3 PEG12000 聚乙二醇
5′-核苷酸酶 Spermine 9027-73-0
D-果糖-6-磷酸二* D-cellbiose 26177-86-6
二磷酸腺苷二*的不同等级:
除了优级纯、分析纯、化学纯、实验试剂外,目前市场上尚有:基准试剂(PT):专门作为基准物用,可直接配制标准溶液。光谱纯试剂(SP):表示光谱纯净。但由于有机物在光谱上显示不出,所以有时主成分达不到99.9%以上,使用时必须注意,特别是作基准物时,必须进行标定。纯度远高于优级纯的试剂叫做高纯试剂(≥ 99.99%)。
一般化学试剂的品级:一级试剂、二级试剂、三级试剂、四级试剂
国内标准名称:优级纯(保证试剂)、分析纯、化学纯 、实验试剂
国内标签颜色:绿色、红色、蓝色、中黄色
我公司主要从事免疫学、分子生物学和常规生化试剂的研发、销*(代"售")。并代理销*(代"售")R&D、Sigma、Amresco 、Gibco、Pharmacia、HyClone、GIBCO等多个国外知名品牌,致力于为广大高校、科研院所和企事业单位提供一流的科研试剂和完善的技术服务,满足生物化学、分子生物学 、细胞生物学、免疫学等生物科技实验需求。 公司主要产品:试剂盒:二磷酸腺苷二*、ELISA试剂盒、分子生物学试剂、细胞凋亡试剂盒。各种动物血清:NBQQ、HyClone、GIBCO胎牛血清。抗体:进口原装抗体、进口分装抗体、单克隆抗体、多克隆抗体、一抗、二抗。 我们立足于生命科学领域,全力打造高品质生物科技产品链和技术服务链,立志成为生命科学研究领域的问题解决专家。
我公司生产供应销*(代"售")的标准品对照品正全品类优惠促销,十分期待您的咨询选购二磷酸腺苷二*标准品北京厂家现货。
风险提示:丁香通仅作为第三方平台,为商家信息发布提供平台空间。用户咨询产品时请注意保护个人信息及财产安全,合理判断,谨慎选购商品,商家和用户对交易行为负责。对于医疗器械类产品,请先查证核实企业经营资质和医疗器械产品注册证情况。
文献和实验清白蛋白。 二、各等级BSA 说明 1、 等级最低的BSA,这个是普通意义上的BSA,只要主要成分是BSA的产品都可以成为牛血清白蛋白,所以他也涵盖了其他等级的BSA,所以客户要注意其纯度。 作用:一般是工业生产用。 2、 牛血清白蛋白第五组分,英文名称:BSAV,这个是生物技术级的产品,适用范围是最广的,有些厂家的BSAV脂肪酸和内毒素很低,可直接用于细胞培养,纯度高甚至可以用于任何相关实验。常用的有Roche公司的10735078001,Sigma公司
清白蛋白第五组分,英文名称:BSAV,这个是生物技术级的产品,适用范围是最广的,有些厂家的BSAV脂肪酸和内毒素很低,可直接用于细胞培养,纯度高甚至可以用于任何相关实验。常用的有Roche公司的10735078001,Sigma公司的A7906,Amresco公司的0332。 作用:Elisa实验,WB实验,因BSA分子量为66KDa,纯度高的还可用作蛋白质marker。 3、 牛血清白蛋白(无必须脂肪酸),脂肪酸含量极低,脂肪酸含量≤
100 % 2 、试剂标准化 (1)分级 ① WHO 国际标准品 ② WHO 国际参考品 ③国家标准品 按国际标准品复制的标准品,效力单位与①严格一致。 ④研究室或厂家标准品 暂时用于工作的标准品,自行效价,但有国际标准品后,必须标化。 ⑤免疫学质控标准品和参考
技术资料暂无技术资料 索取技术资料










